Fig. 10

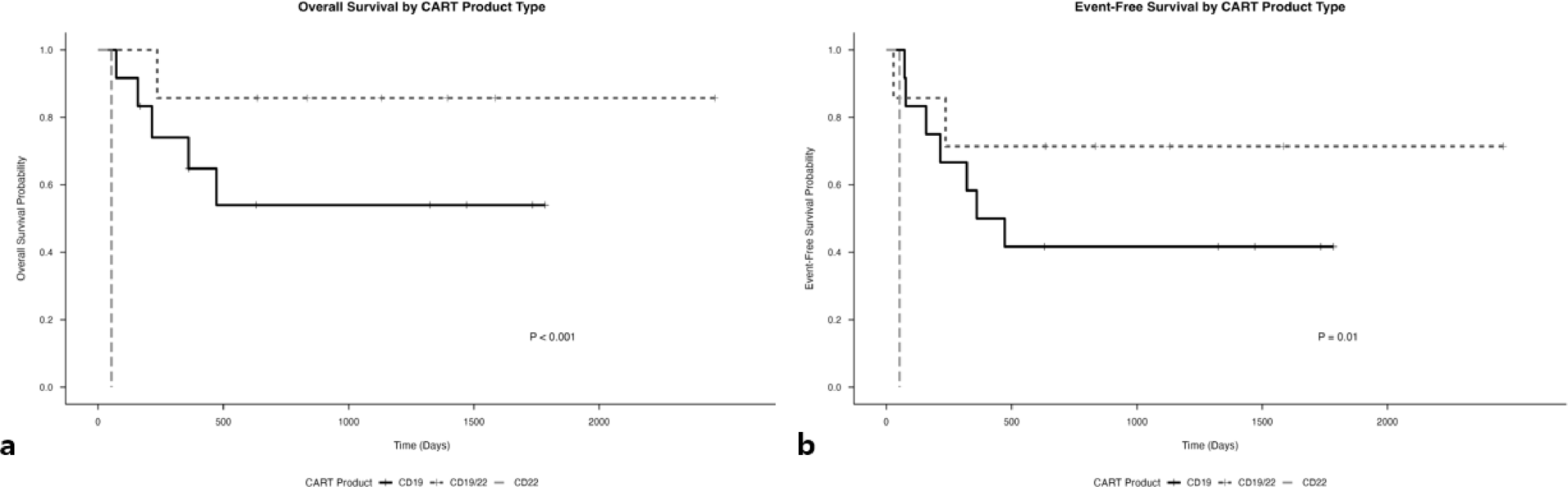
Kaplan–Meier survival curves stratified by CAR T-cell therapy type. Both overall survival and event-free survival differed significantly between therapy types (p < 0.01 and p = 0.01, respectively).

Kaplan–Meier survival curves stratified by CAR T-cell therapy type. Both overall survival and event-free survival differed significantly between therapy types (p < 0.01 and p = 0.01, respectively).