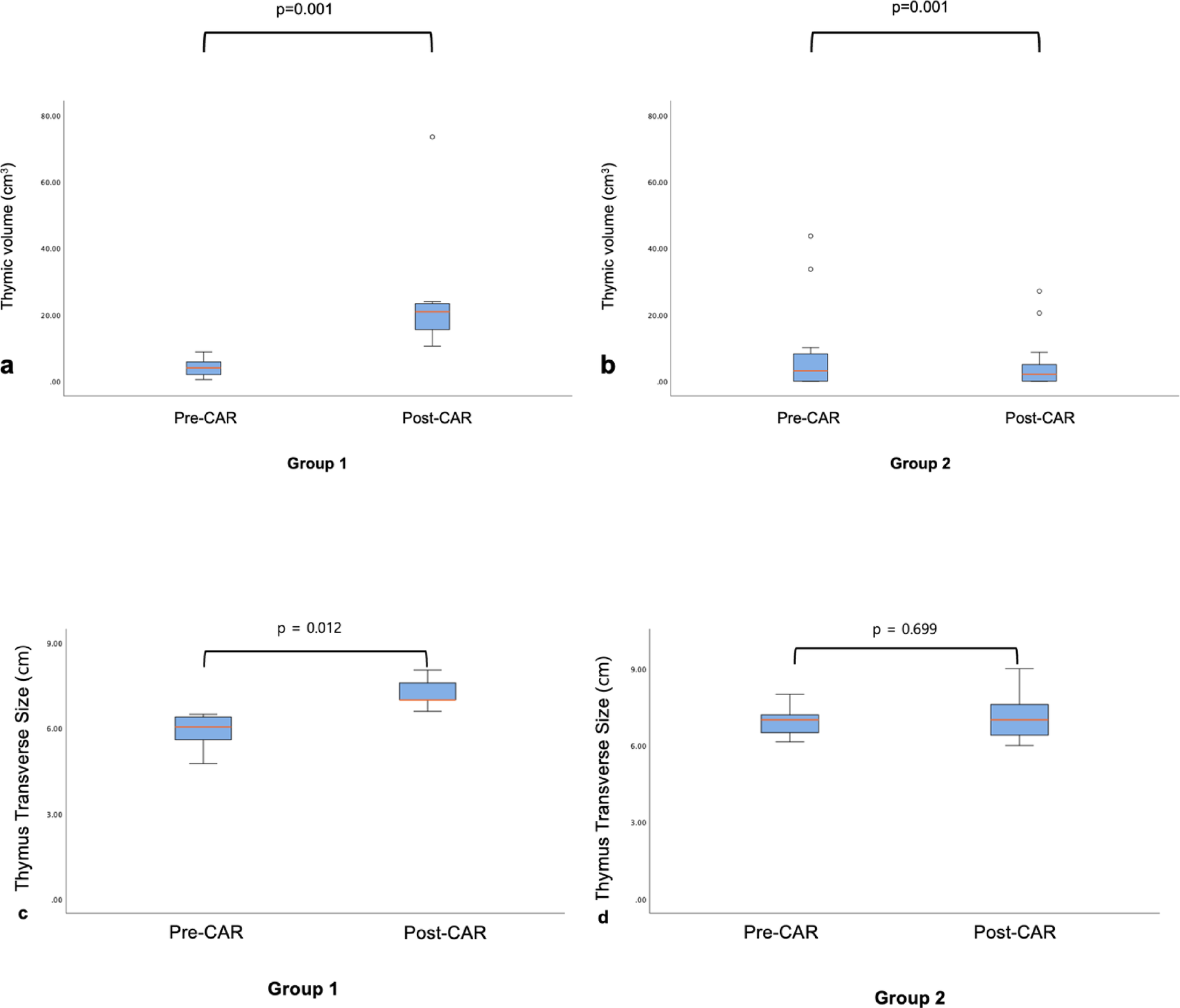
Fig. 6

Change in thymus size pre- and post- CAR T-cell therapy. a) In group 1, the thymus volume, as measured on chest CT, significantly increased following CAR T cell therapy, from a median of 5.01 cm³ [interquartile range, IQR: 2.64] pre-CAR T-cell therapy to a median of 20.87 cm³ [IQR: 7.83] post-CAR T-cell therapy (p=0.001). b) In group 2, the thymus volume decreased from a median of 3.1 cm³ [IQR: 8.2] pre-CAR T-cell therapy to a median of 2.9 cm³ [IQR: 5.01] post-CAR T-cell therapy (p=0.001). c) In group 1, the transverse thymic size, as measured on fluoroscopic chest images from interventional radiology procedures, increased significantly following CAR T-cell therapy, from a median of 6.96 cm [IQR: 0.75] to a median of 7.14 cm [IQR: 1.40] (p = 0.012). d) In contrast, group 2 showed no significant change in transverse thymic size on fluoroscopic chest images after CAR T-cell therapy (p = 0.699).