Fig. 14
From: The performance of Cu2MnSnS4 based solar cells with CZTS as hole transport nanolayer

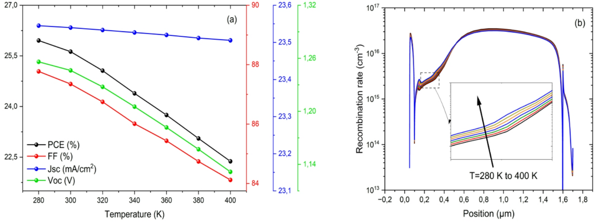
Effect of temperature on (a) photovoltaic parameters and (b) recombination rate.
From: The performance of Cu2MnSnS4 based solar cells with CZTS as hole transport nanolayer

Effect of temperature on (a) photovoltaic parameters and (b) recombination rate.