Fig. 7
From: The performance of Cu2MnSnS4 based solar cells with CZTS as hole transport nanolayer

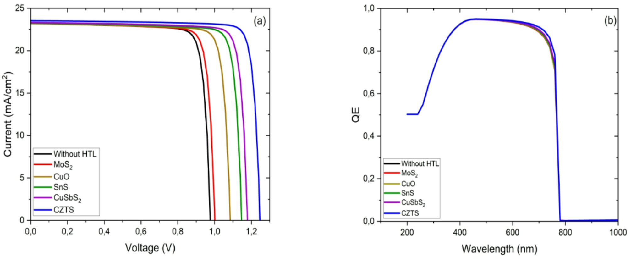
(a) J-V characteristics variation with different HTLs, (b) QE variation with various HTLs.
From: The performance of Cu2MnSnS4 based solar cells with CZTS as hole transport nanolayer

(a) J-V characteristics variation with different HTLs, (b) QE variation with various HTLs.