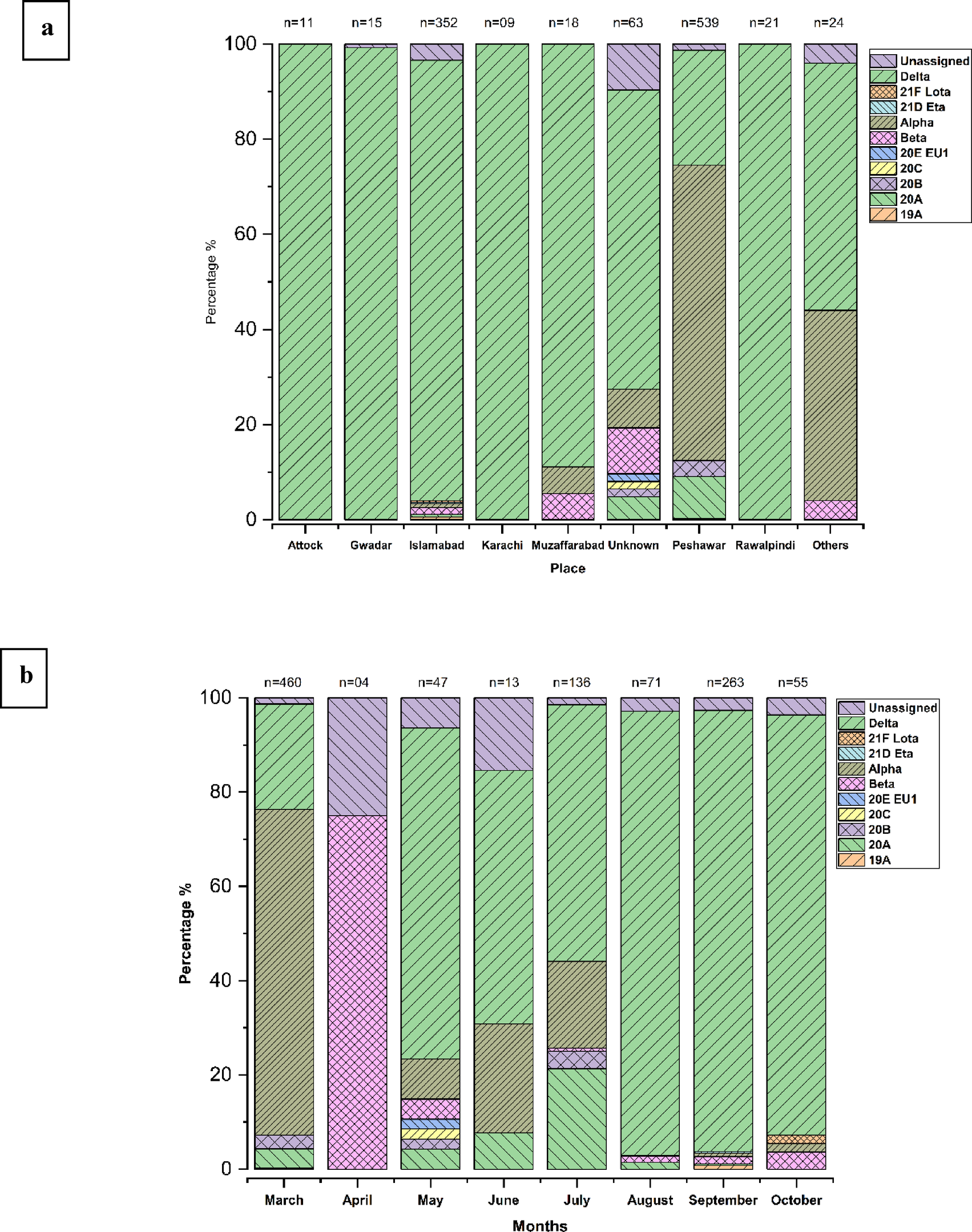
Fig. 3

Spatiotemporal genomic diversity of SARS-CoV-2 during 2021 in Pakistan. (a) represents the percentage distribution of major SARS-CoV-2 variants including VOCs in different regions of Pakistan. (b) the temporal percentage prevalence of SARS-CoV-2 variants across different regions in Pakistan. Variants are denoted with distinctive colors as represented in plots. Unassigned are the sequences with low quality which resulted as “Unassigned” from Artic-Nextclade work-flow.