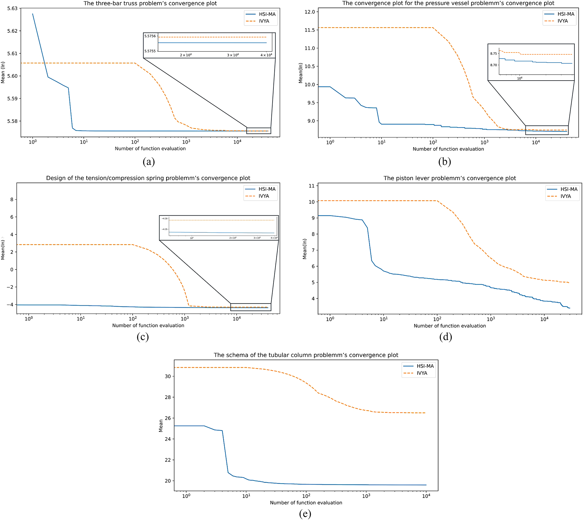
Fig. 11

Search efficiency of IVYA and HSI-MA for (a) Three-bar truss problem; (b) Pressure vessel optimization problem; (c) Tension/compression spring design; (d) Piston lever optimal design; (e) Tubular column design.

Search efficiency of IVYA and HSI-MA for (a) Three-bar truss problem; (b) Pressure vessel optimization problem; (c) Tension/compression spring design; (d) Piston lever optimal design; (e) Tubular column design.