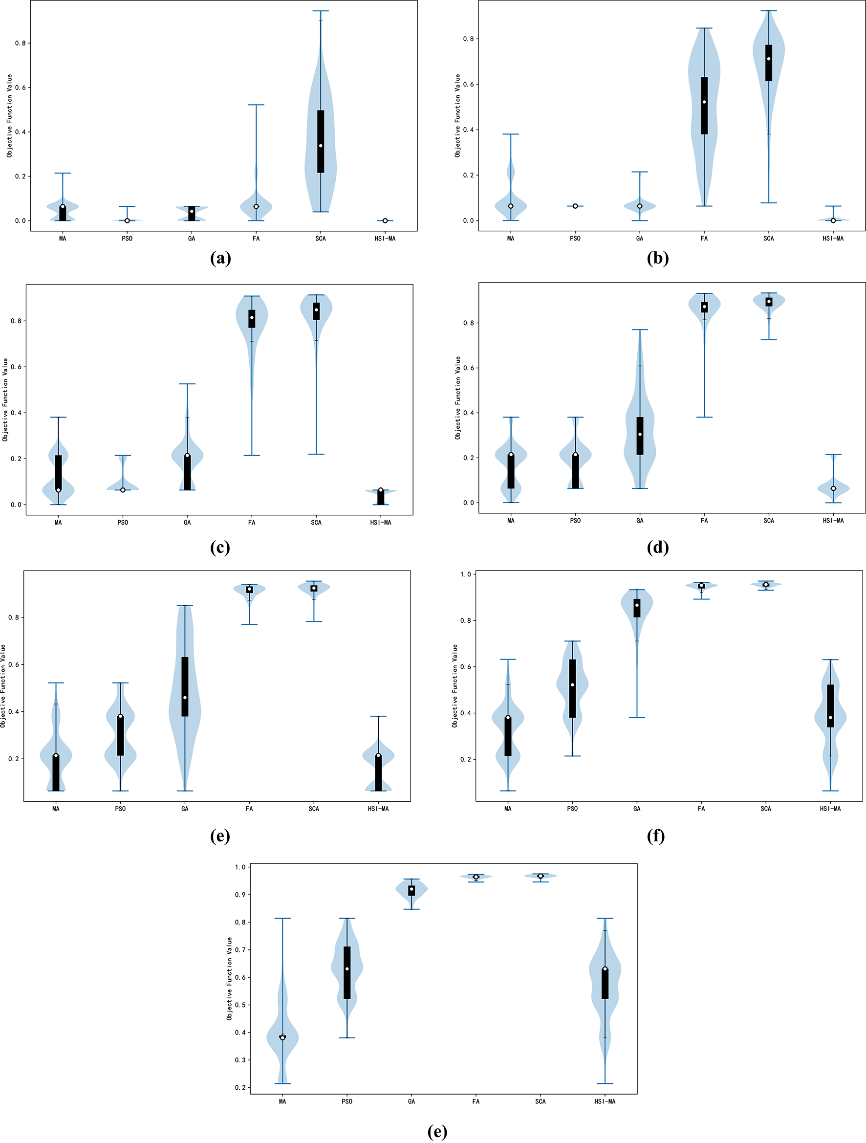
Fig. 5

Violin plot of Drop-wave function results with different dimensions: (a) D = 2; (b) D = 4; (c) D = 6; (d) D = 8; (e) D = 10; (f) D = 15; (g) D = 20.

Violin plot of Drop-wave function results with different dimensions: (a) D = 2; (b) D = 4; (c) D = 6; (d) D = 8; (e) D = 10; (f) D = 15; (g) D = 20.