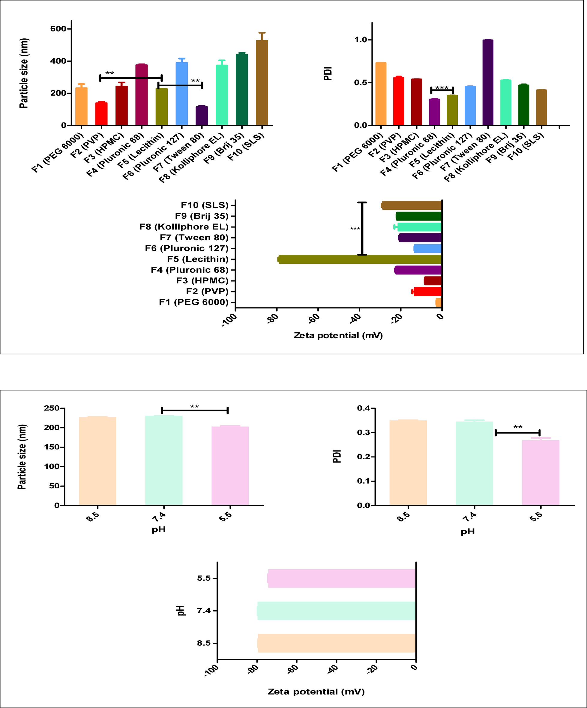
Fig. 1


a Effect of different stabilizer types on particle size, PDI and zeta potential, one way ANOVA was used for statistical analysis; *** (P < 0.001), **(P < 0.01). b Effect of pH of the medium for NCs formulation on particle size, PDI and zeta potential, one way ANOVA was used for statistical analysis; ** (P < 0.01). c Effect of different concentrations of lecithin on particle size, PDI and zeta potential, one way ANOVA was used for statistical analysis; *** (P < 0.001), ** (P < 0.01), *(P < 0.05).