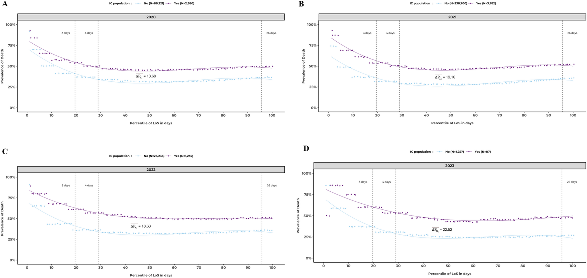
Fig. 2
From: Nationwide longitudinal analysis of COVID-19 hospitalisation burden in immunocompromised patients

Spline regression with the independent variable being the LoS and the dependent variable being the prevalence of death, for the year of 2020 (A), 2021 (B), 2022 (C) and 2023 (D). The two lines represent IC and non-IC individuals. The \(\:\overline{{\Delta\:}{\text{P}}_{{\text{x}}_{\text{i}}}}\) represents the mean distance between points of the spline regression. It is of notice that the regression slope stays flat after the fourth day of in-hospital stay for all of the years analysed. The \(\:\overline{{\Delta\:}{\text{P}}_{{\text{x}}_{\text{i}}}}\) increase along the years at the cost of reduction of mortality in non-IC individuals.