Fig. 4
From: High prevalence of multi-drug-resistant bacteria in faecal samples from UK passerine birds

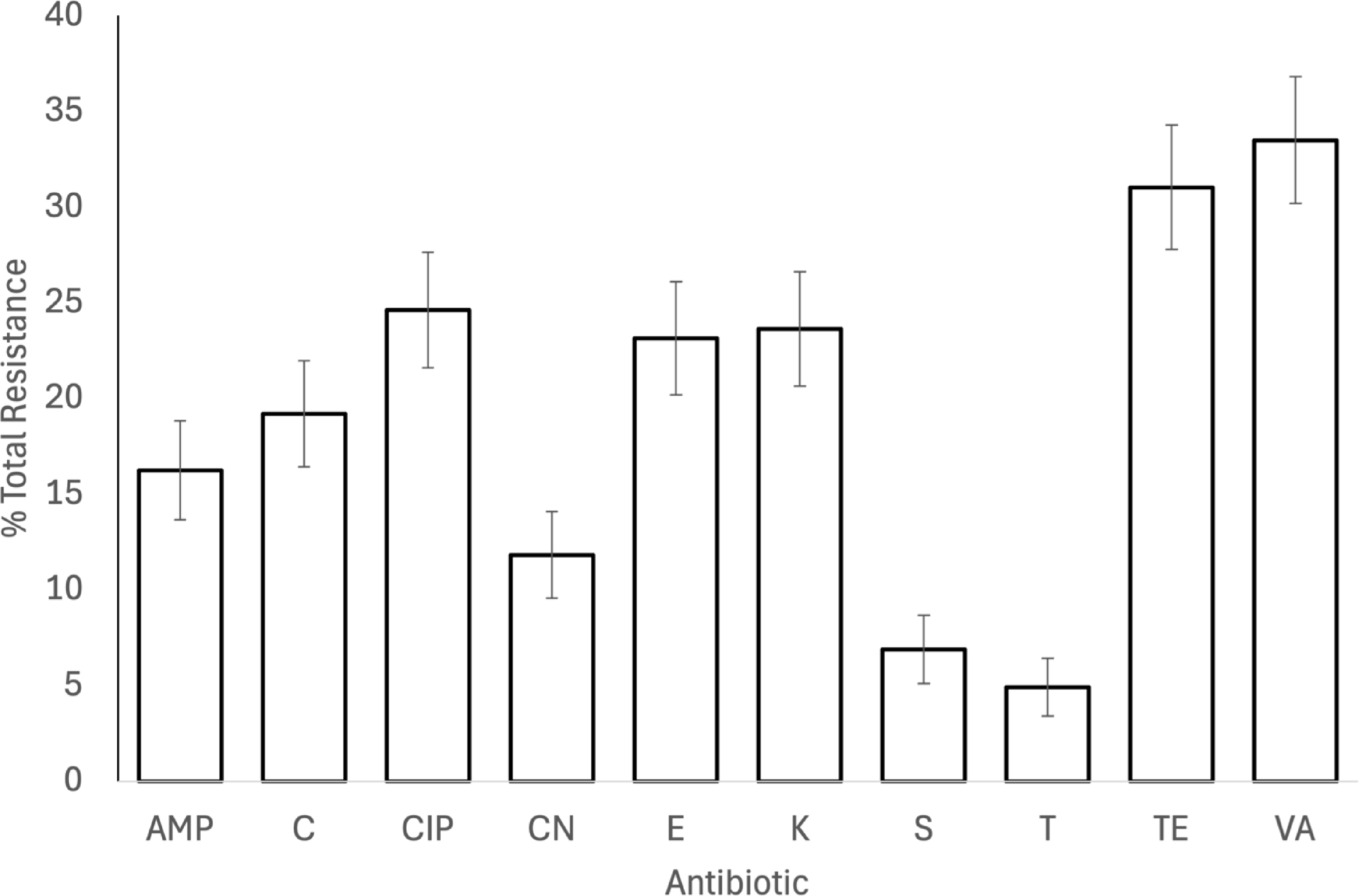
Percentage total antimicrobial resistance in isolated Enterococcus samples (n = 203). Bars show mean ± 1 SE, full antimicrobial names can be found in Table 1. Full resistance data are provided in Supplementary Table S4. Key: AMP: Ampicillin, C: Chloramphenicol CIP: Ciprofloxacin, CN: Gentamycin, E: Erythromycin, K: Kanamycin, S: Streptomycin, T: Teicoplanin, TE: Tetracycline, VA: Vancomycin.