Abstract
Wild birds are a near ubiquitous sight in gardens, offering pleasure to many people through supplementary feeding, song, or other interactions. However, they are also potential carriers of many bacteria, including Campylobacter spp., Salmonella spp., Enterococcus spp., and E. coli; some of these may be resistant to commonly used drugs. This study collected faecal samples from multiple species of UK passerine birds, isolating bacterial pathogens to assess carriage and drug resistances associated with those bacteria. 75% of birds were carrying at least one bacterial species which was multi drug resistant (MDR; resistant to three or more classes of antimicrobial), with 11.6% of birds carrying Salmonella spp., 18.9% carrying Campylobacter spp., 78% carrying Enterococcus spp., and all carrying E. coli strains. Many of these strains were shown to be MDR with 70%, 88%, 32% and 59% respectively. Intercontinental migration was shown to be a risk factor for carriage of many of the pathogens, as was an associated with human habitation. Age was also a risk factor with younger birds twice as likely to carry Campylobacter spp. than adults, and house sparrows (Passer domesticus) and blackbirds (Turdus merula) being particularly high-level carriers compared to other species. The high-level carriage and shedding of MDR E. coli and other zoonotic pathogens within the faecal samples of multiple species of passerine birds offers a timely reminder of the risks which these bacteria, and their drug resistance profiles may pose to human and animal health in the UK and worldwide. It also shows a level of high environmental contamination, which birds may continue to contribute towards, until our use of antimicrobials, and level of drug-resistant bacteria is decreased. Developing mechanisms for reducing levels of carriage of MDR bacteria in wild bird populations through, for example, increased hygiene around bird feeding practices, may be key in reducing environmental contamination.
Similar content being viewed by others
Introduction
Antimicrobial resistant (AMR) pathogens are of increasing concern worldwide within both the veterinary and human medical fields making them a One Health concern1. Often caused by our overuse and misuse of antimicrobials, AMR bacteria are found in almost every ecosystem investigated, from animals and humans through to soil and water (reviewed by Velazquez-Mesa et al.2). This in turn has an effect of increasing both morbidity and mortality in domesticated animals and humans, as well as increases in costs for treatments3. Among the most under-investigated systems for AMR carriage is wildlife.
Wildlife pose a major risk for carriage and transmission of AMR bacteria due to their indiscriminate defaecation, and potential to cover large distances, potentially shedding AMR bacteria across wide areas leading to environmental contamination4. As treatment of wildlife with any antimicrobial is uncommon, these species act as a good indicator of the levels of contamination of the environment with AMR, with wild animals and birds encountering AMR bacteria through food or water5. Worldwide, wild birds offer a large amount of pleasure to people, with as many as 75% of households encouraging them into their gardens with supplementary feeding stations6. It has been suggested that AMR in wild birds and other wildlife is associated with anthropogenic activities and environments5. However, wild birds are widely considered as potential disseminators of AMR bacteria, due to their tendency to migrate long distances, and to occupy a range of habitats known to be contaminated7. Passerine birds within the UK inhabit all available ecosystems, survive on different diets, and have different migration patterns, so they may have a high risk of introduction of novel pathogens into the UK, and subsequent widescale dissemination.
Escherichia coli is one of the most commonly tested bacterial species for AMR carriage, due to its simple and rapid isolation, as well as its prevalence as a major component of the gut microbiota in many animal species8. In addition, this bacterial species also has a high tendency to both acquire and lose antimicrobial resistance genes. Birds are well known carriers of several different pathogens, including Campylobacter spp. and Salmonella spp., both of which are major concern for both human and veterinary medicine, causing a range of symptoms from gastrointestinal disease to abortion depending on the specific bacterial species9,10. Enterococcus spp. is also a major issue within human medicine, being associated with urinary tract infections, septicaemia, and infected wounds, but is also commonly used as a probiotic11. Given the potential severity of these pathogens, the presence of AMR poses an increased risk to animal and human health. Indeed, bacterial pathogens of wild avian origin have been suggested to be the cause of outbreaks of disease in humans9,10. Many human Campylobacter spp., Salmonella spp., and Enterococcus isolates associated with disease also show some level of AMR. Therefore, studies on bacterial carriage, prevalence and antimicrobial susceptibility are important to inform optimal treatment regimes for human and animal diseases.
Many studies of AMR bacterial carriage in wild birds focus on waterfowl, as these are major risk factors for the transmission of avian influenza12. Previous studies have shown AMR E. coli in birds from many different countries, as well as the carriage of Salmonella spp., Campylobacter spp. and Enterococcus spp. However, despite their near ubiquitous presence, little is known about the bacterial pathogen carriage of songbirds (Passeriformes) within the UK, which is a major site for migration for many birds across the world13, bringing with it the potential risk of introduction of new or novel pathogens, and or AMR genes. In this study, we screen 259 faecal samples from 23 species of passerine birds to quantify the prevalence of four different bacterial pathogens and assess their susceptibility to a range of different antimicrobials from different classes which are used to treat both animal and human clinical cases. We then test for host and ecological associations with infection by each pathogen to elicit potential drivers or risk factors for infection.
Methods
Sites and sample collection
Faecal samples were collected from wild birds caught as part of standard bird ringing activities at three different sites. One site, near Braintree, Essex, UK (51°53′24.8″N, 0°33′18.3″E) was a residential garden of approximately 0.75 ha surrounded by arable farmland, where ten birdfeeders were provided to encourage birds into the garden. Feeders were kept full year-round, with provided food including sunflower hearts (Helianthus annuus), peanuts (Arachis hypogaea), a bird seed mix (dominated by wheat (Triticum aestivum), and nyjer seed (Guizotia abyssinica). The second site, near Potterhanworth, Lincolnshire, UK (53°11′02.5″N, 0°25′21.5″W) was a small woodland copse surrounded by arable farmland, with wheat provided year-round to feed gamebirds (mostly ring-necked pheasants (Phasianus colchicus)). The third site, near Glentham, Lincolnshire, UK (53°24′03.8″N, 0°29′37.5″W) consisted of three small lakes bordered by scrub (mostly hawthorn (Crataegus sp.) and blackthorn (Prunus spinosa) surrounded by arable farmland, where no supplementary food was provided.
At each site, birds were captured using mist nets on days that were dry and still. Birds were caught on 14 occasions per site between June–August 2022 and fitted with an individually numbered BTO metal ring before being aged and sexed where possible according to plumage characteristics14, measured (maximum wing chord measured using a slotted wing rule, ± 0.5 mm) and weighed using a digital balance (± 0.1 g). Faecal samples were collected following release of the bird, from the inside of the clean and disinfected cotton bird bag within which the bird was kept prior to processing, stored at ambient temperature in the field (up to 6 h) and then stored at 4 °C until processing. This study received ethical approval from the University of Lincoln Animal Ethics Committee, reference LEAS3818. The study is reported in accordance with ARRIVE guidelines where appropriate. All methods were performed in accordance with the relevant guidelines and regulations. No clinical signs of ill health were observed in any of the sampled birds.
Sample preparation in the laboratory
From each faecal sample, 0.1 g was resuspended in 900 µl of sterile physiological saline (Melford, UK) before being plated onto agar and incubated for 24 h at 37 °C.
Bacterial isolation for all samples
For each sample the isolation of E. coli, Salmonella spp., Enterococcus spp. and Campylobacter spp. was performed.
Firstly, E. coli was isolated using MacConkey agar (Oxoid, UK), and three suspected E. coli colonies were selected from each plate and resuspended in PBS before being subcultured onto Columbia agar plates (Oxoid, UK) and incubated for 24 h at 37 °C to obtain a monoculture. Bacterial strains were identified using Gram staining and PCR targeting the 16S rRNA gene to confirm that isolates were E. coli15. This allows for detection of all E. coli strains, and does not differentiate Shiga toxigenic E. coli (STEC) and other toxinogenic strains (Sabat et al. 2000). A selection of these were subjected for sequencing to confirm PCR specificity (data not shown). All strains were stored with nutrient broth (Oxoid, UK) and glycerol (Sigma Aldrich UK) at a ratio of 80:20 at − 80 °C until further analysis.
The identification of Salmonella spp. was based on ISO 6579-1:2017. Firstly, 0.1g of each faecal sample was pre-enriched in 1:10 buffered peptone water (ThermoFisher Scientific, UK) before incubation at 37 °C for 18–20 h. From this pre-enrichment, 100µl were transferred onto semi solid modified Rappaport Vassiliadis (Difco, UK) before incubation for 48 h at 41.5 °C. Colonies suggestive of Salmonella spp. were further inoculated onto Xylose-Lysine Deoxycholate (ThermoFisher Scientific, UK) and chromogenic agar specific for detection of C8-esterase activity (ASAP, bioMerieux, Marcy l’Étoile, France) and incubated at 37 °C for 48 h. Isolates were confirmed to be Salmonella spp. by PCR targeting the invA gene16, and serotyped using the antigenic agglutination method with specific antisera according to the White-Kauffmann-Le Minor scheme (ISO 6579-1:2017).
For the identification of Enterococcus spp., the faecal dilutions prepared previously for E. coli isolations were inoculated onto Slanetz and Bartley agar (Oxoid, UK) and incubated at 37 °C for 48 h. A single isolate (red, maroon or pink coloured colony) was removed from the plate and subcultured in LB broth (Melford, UK) before incubation at 37 °C for 48 h. DNA from a small aliquot of this culture was extracted using a boil preparation17 and was confirmed to be Enterococcus spp. using PCR targeting the tuf gene18. Speciation was carried out using the methods described by Jackson et al.19.
Isolation of Campylobacter spp. was performed using the ISO 10272-1:2017 as described previously20. Briefly, modified charcoal cefoperazone deoxycholate (mCCDA) and Preston agar (Oxoid, UK) were both streaked with the diluted samples, and incubated in a microaerophilic environment at 41.5°C for 48 h. Colonies indicative of Campylobacter spp. were examined by PCR for genus, and species confirmation using various genes21.
All PCR primers used in the study can be found in supplementary Table S1.
Antimicrobial susceptibility testing for all isolates
Antimicrobial susceptibility for E. coli was performed using the Kirby-Bauer disk diffusion method according to the European Committee on Antimicrobial Susceptibility Testing (EUCAST) guidelines22. Isolates were recovered from the frozen stocks and spread onto Columbia Agar with 5% sheep blood (Scientific Laboratory Supplies, UK) before being suspended in 0.8% saline solution to obtain a turbidity of 0.5 McFarland units23. This inoculum was transferred onto Mueller- Hinton Agar (Oxoid, UK) and antimicrobial discs placed on the surface. In total, 22 antimicrobials from 11 different classes were tested based on previous studies24,25 to allow for comparison. Plates were incubated for 18–20 h at 36 °C before susceptibility or resistance was assessed through growth inhibition diameter according to EUCAST breakpoints based on 2024 guidelines (EUCAST). Exceptions to this were ceftiofur, enrofloxacin and tetracycline which were evaluated based on previous studies26,27. Multidrug resistance (MDR) was determined if an isolate was shown as fully resistant to at least one antimicrobial agent in three or more antimicrobial classes27,28. E. coli ATCC 11755 was used as a reference strain.
Antimicrobial resistance testing for Salmonella spp. was determined using ISO 20776-1:2006 using broth microdilution testing performed using Mueller Hinton Broth (Oxoid, UK) to allow for determination of the minimum inhibitory concentration (MIC). All antimicrobials were tested at concentrations detailed in Table 1, and results were interpreted using EUCAST breakpoints 202429,30. For this, 96 well plates (Sarstedt, UK) were inoculated, bacterial broth culture diluted to the correct optical density and antimicrobials serially diluted to the required concentrations before being incubated at 37 °C in a plastic bag with a paper towel moistened with sterile water. Each plate included a negative control (no bacteria) and a positive control row (no antimicrobial). Using these data, they were assigned a resistant, intermediate or susceptible phenotype. Isolates were tested against ten different antimicrobials from seven different classes (Table 1).
Further MIC analysis testing was undertaken for Enterococcus spp., using a similar methodology as that used for Salmonella spp., following the CLSI guidelines (antimicrobials are shown in Table 1) and were in line with previous studies31 to allow for comparisons. Using this data, they were assigned a resistant, intermediate or susceptible phenotype. For controls, the reference strains used were E. faecalis ATCC 29212 and Staphylococcus. aureus ATCC 29213. Analysis compared the breakpoints to those with the CLSI standards or the national antimicrobial resistance monitoring system.
Broth microdilution was also used for all Campylobacter isolates (Luber et al., 2003). Using sensitive Campylobacter EUCAMP2® plates (ThermoFisher Scientific, UK) according to manufacturers instructions, each isolate was tested against 10 different antimicrobials (Table 1) and assigned a resistant, intermediate or susceptible phenotype based on the epidemiological cut off values established by EUCAST 2024.
Statistical analyses
All statistical analyses were conducted in R version 4.3.1 “Beagle Scouts” for Mac32. Two binomial general linear models were constructed to test for associations between each of environmental variables and host ecological variables on the presence and MDR status of each bacterium (fourteen models in total; all birds were carrying E. coli so no models were constructed to test for associations with E. coli presence). For each model, the binomial response variable was the presence or absence of either the bacterium, or MDR. For the environmental model, fixed factors comprised Site (a 3-level factor), Species (a 16-level factor), Age (a two-level factor of juvenile (hatched during the calendar year of capture) or adult (hatched prior to this) and day (a continuous variable). For the ecological models, fixed factors comprised Migrant status (resident or long-distance migrant; species that may undertake short-distance migration were classified as resident for the purposes of this analysis), whether the species was associated with human habitation (a two-level factor of Yes or No), whether the species was granivorous (Yes or No) or insectivorous (Yes or No) and the number of food types used by the species (a continuous variable). Long-distance migrants were blackcap Sylvia atricapilla, chiffchaff Phylloscopus collybita, garden warbler Sylvia borin, lesser whitethroat Sylvia curruca, reed warbler Acrocephalus scirpaceus, sedge warbler Acrocephalus schoenobaenus, willow warbler Phylloscopus trochilus and whitethroat Sylvia communis. Host ecological data were extracted from33 at the species level. Models were simplified by removing the least significant term in turn (as determined by likelihood ratio tests) until either all remaining terms in the model were significant at p < 0.1, or only the null model remained. Terms were interpreted as being significantly associated with the response variable when p < 0.05.
Results
259 faecal samples from 23 bird species were screened for Salmonella spp., Campylobacter spp., Enterococcus spp. and E. coli, along with antimicrobial resistance profiles. Species sampled were Eurasian blackbird Turdus merula (n = 6), blackcap Sylvia atricapilla (n = 25), blue tit Cyanistes caeruleus (n = 29), bullfinch Pyrrhula pyrrhula (n = 3), chaffinch Fringilla coelebs (n = 30), chiffchaff Phylloscopus collybita (n = 3), dunnock Prunella modularis (n = 14), garden warbler Sylvia borin (n = 1), European goldfinch Carduelis carduelis (n = 4), great tit Parus major (n = 13), greenfinch Carduelis chloris (n = 4), house sparrow Passer domesticus (n = 40), lesser whitethroat Sylvia curruca (n = 1), long-tailed tit Aegithalos caudatus (n = 3), Common reed bunting Emberiza schoeniclus (n = 5), Eurasian reed warbler Acrocephalus scirpaceus (n = 10), European robin Erithacus rubecula (n = 24), sedge warbler Acrocephalus schoenobaenus (n = 3), song thrush Turdus philomelos (n = 1), common whitethroat Sylvia communis (n = 15), willow warbler Phylloscopus trochilus (n = 5), wren Troglodytes troglodytes (n = 16) and yellowhammer Emberiza citrinella (n = 4).
Salmonella
Salmonella spp. was identified from 30 (11.6%) of 259 faecal samples using PCR. Twelve serovars of Salmonella were isolated (Table 2), the most common of which, Salmonella enterica serovar Typhimurium, was isolated from eleven individuals from seven bird species (Table 2). MDR was identified in 21 (70%) of the 30 positive samples (Table 2). MDR was identified in the serovars Agona (100%, n = 2), Havana (100%, n = 1), Meleagridis (100%, n = 2), Muenchen (50%, n = 1), Muenster (100%, n = 2), Newport (50%, n = 2), Panama (50%, n = 2), Parathyphi B var. Java (33%, n = 3), Rissen (100%, n = 1) and Typhimurium (82%, n = 11; Table 2).
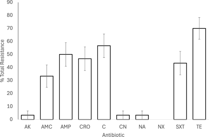
Resistance was highest to tetracycline (n = 21, 70%), chloramphenicol (n = 17, 57%) and ampicillin (n = 15, 50%), with 50% or more of samples showing complete resistance (Fig. 1; Table S2). Resistance was lowest to nalidixic acid, with no samples showing complete resistance and three samples (10%) showing intermediate levels of resistance, followed by amikacin, where one sample (3%) showed complete resistance and no samples showed intermediate resistance (Fig. 1; Table S2).
Percentage total antimicrobial resistance in isolated Salmonella samples (n = 30). Bars show mean ± 1 SE, full antimicrobial names can be found in Table 1. Full resistance data are provided in Supplementary Table S2. Key: AK: Amikacin, AMC: Amoxycillin-clavulanic acid, AMP: Ampicillin, CRO: Ceftriaxone, C: Chloramphenicol, CN: Gentamycin, NA: Nalidixic acid, NX: Norfloxacin, SXT: Trimethoprim-sulphamethoxazole, TE: Tetracycline.
Neither the presence of Salmonella, nor the presence of MDR Salmonella within positive samples, differed between sites, or between adult and juvenile birds, and did not vary with Julian day (Table 3). The presence of Salmonella did not differ between species (Table 3a; this analysis was not conducted for MDR Salmonella due to small sample sizes), and none of diet, migration strategy or breeding presence within human settlements influenced the presence of Salmonella (Table 4). However, all intercontinental migrants with Salmonella were carrying strains with MDR (Migrants: 100% MDR [n = 7], non-migrants: 59% MDR [n = 22]; Table 4), and birds carrying non-MDR Salmonella had higher diet diversity than those carrying MDR Salmonella (non-MDR Salmonella: 2.22 ± 0.15 food types; MDR Salmonella: 1.75 ± 0.10 food types; Table 4).
Campylobacter spp.
Campylobacter spp. were identified from 49 (18.9%) of 259 faecal samples using PCR (Table 5). Species-specific PCRs identified 3 C. coli infections (6.1%); 22 C. lari infections (44.9%) and 24 C. jejuni infections (49.0%); no birds were infected by multiple Campylobacter species. Antimicrobial resistance to at least three classes of antimicrobial was identified in 43 (88%) of the 49 positive samples (3 (100%), C. coli infections; 20 (91%), C. lari infections; 20 (83%) and C. jejuni infections; Table 5).
Resistance was highest to amoxicillin (n = 30, 61%), tetracycline (n = 29, 59%) and erythromycin (n = 29, 59%), with over 50% of samples showing full or partial resistance to all tested antimicrobials (Table S3). Resistance was lowest to trimethoprim-sulfamethoxazole, with 7 samples (14%) showing complete resistance, and a further eight samples (16%) showing intermediate resistance, and to enrofloxacin, where nine samples (18%) showed complete and 8 samples (16%) showed intermediate resistance (Fig. 2; Table S3).
Percentage total antimicrobial resistance in isolated Campylobacter samples (n = 49). Bars show mean ± 1 SE, full antimicrobial names can be found in Table 1. Full resistance data are provided in Supplementary Table S3. Key: AZM- Axithromycin, AMX: Amoxycillin, C: Chloramphenicol, CIP: Ciprofloxacin, CN: Gentamycin, ENR: Enrofloxacin, E: Erythromycin, NA: Nalidixic acid, SXT: Trimethoprim-sulphamethoxazole, TE: Tetracycline.
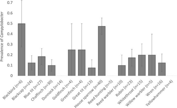
The prevalence of Campylobacter differed between species (Table 3a; Fig. 3), and juvenile birds were more than twice as likely to be infected as adults (juveniles: 21.5 ± 2.9% prevalence; 8.6 ± 4.8% prevalence). The presence of MDR Campylobacter spp. differed marginally between sites, with 100% (n = 9) of positive samples from the fed farmland site being resistant to at least three classes of antimicrobial (Table 3). The lowest prevalence of MDR was at the Essex garden site (78% of positive samples; n = 23), with 94% (n = 17) of positive samples at the unfed farmland site showing MDR.
Differences between species in Campylobacter prevalence. Bars show mean ± 1 SE.
The prevalence of Campylobacter was higher in birds associated with human habitation (Table 4; associated with human habitation: 69 ± 7% [n = 49]; not associated with human habitation: 44 ± 3% [n = 206]). The prevalence of MDR Campylobacter was not associated with any host ecological traits (Table 4).
Enterococcus spp.
Enterococcus spp. was identified from 203 (78%) of 259 faecal samples using PCR (Table 6). Species-specific PCRs identified 7 (3.4% of positives) E. casseliflavus infections, 10 (4.9%) E. durans infections, 86 (42.4%) E. faecalis infections, 88 (43.3%) E. faecium infections and 12 (5.9%) E. hirae infections. MDR was identified in 65 (32%) of positive infections. No MDR was found in E. casseliflavus, E. durans or E. hirae, but 44 (51.2%) of E. faecalis infections and 21 (23.9%) E. faecium infections showed MDR (Table 6).
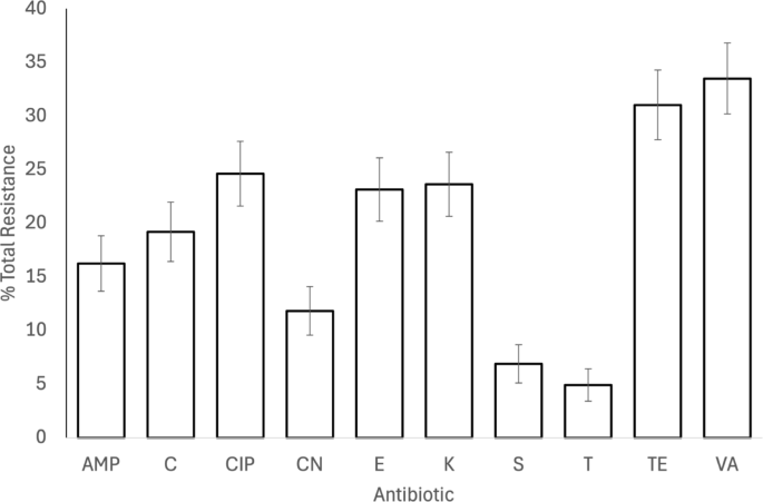
Resistance was highest to vancomycin (n = 68, 33%) and tetracycline (n = 63, 31%), and lowest to teicoplanin (n = 10, 5%) and streptomycin (n = 14, 7%) (Fig. 4; Table S4).
Percentage total antimicrobial resistance in isolated Enterococcus samples (n = 203). Bars show mean ± 1 SE, full antimicrobial names can be found in Table 1. Full resistance data are provided in Supplementary Table S4. Key: AMP: Ampicillin, C: Chloramphenicol CIP: Ciprofloxacin, CN: Gentamycin, E: Erythromycin, K: Kanamycin, S: Streptomycin, T: Teicoplanin, TE: Tetracycline, VA: Vancomycin.
None of Julian day, age, species or site were associated with the presence of Enterococcus (Table 3). However, the prevalence of MDR Enterococcus declined throughout the season (Table 3). None of diet diversity, migratory status, human habitation or granivorous status were associated with the prevalence of either Enterococcus or MDR Enterococcus in infected birds, but birds that ate invertebrates had a marginally higher prevalence of MDR Enterococcus than birds that did not eat invertebrates (invertebrates: 33.2 ± 3% [n = 190]; no invertebrates: 10.0 ± 10.0% [n = 10]; Table 4).
E. coli
All 259 avian faecal samples were positive for E. coli; 153 (59%) of these were resistant to at least three classes of antimicrobial (Fig. 5; Table S5). Resistance was highest to ampicillin (n = 114, 44%) and nalidixic acid (n = 106, 41%) and lowest to kanamycin (n = 5, 2%) and amikacin (n = 6, 2%; Fig. 5; Table S5). The presence of MDR E. coli did not differ between sites, species, or age classes of bird, or with Julian day (Table 3). Birds with MDR E. coli had a higher diet diversity that those without (with MDR E. coli: 1.98 ± 0.04 food types [n = 150]; without MDR E. coli: 1.81 ± 0.05 food types [n = 105]); no other host ecological traits were associated with infection by MDR E. coli (Table 4).
Percentage total antimicrobial resistance in isolated E. coli samples (n = 259). Bars show mean ± 1 SE, full antimicrobial names can be found in Table 1. Full resistance data are provided in Supplementary Table S5. Key: AK: Amikacin, AMC: Amoxycillin-clavulanic acid, AMP: Ampicillin, AZ: Aztreonam, CTX: Cefotaxime, FOX: Cefoxitin, CAZ: Ceftazidime, CFT: Ceftiofur, CRO: Ceftriaxone, C: Chloramphenicol, CIP: Ciprofloxacin, ENR: Enrofloxacin, E: Erythromycin, CN: Gentamycin, IMP: imipenem, K: Kanamycin, M: Meropenem, NA: Nalidixic acid, S: Streptomycin, TE: Tetracycline, Ti: Ticarcillin, SXT: Trimethoprim-sulphamethoxazole.
Discussion
This study is one of very few that investigates multiple pathogens from within the same animal, with many other studies reporting results separately making comparisons difficult. The high levels of antimicrobial resistant bacteria for all species tested (Campylobacter, Salmonella, Enterococcus and E. coli) is of concern, but perhaps not a surprise given the huge rise in use of AMR seen globally in many different species. Although wildlife AMR is tested much less frequently than companion or livestock AMR, these animals—especially birds due to the long distances which they travel—can provide a good measure of environmental AMR contamination with both AMR bacteria, and resistance genes34. This study shows that many bacteria in wild passerine birds acquire resistance from an unknown source, possibly food, or water, and cannot be easily treated if they were to cause disease in birds or other animals such as livestock, companion animals or humans with the clinical breakpoint concentration of some of the tested antimicrobials.
Given that AMR is common in birds, it can act as a contaminant for the environment with indiscriminate defecation from birds35. Assessment of environmental contamination and AMR is difficult to quantify, largely due to different soil ecosystems showing different AMR carriage levels, with Osbiston et al.36 showing that land use (farming vs recreational for example) can alter the levels of AMR and the resistance profiles of the bacteria found. The impact which bird faecal matter has on this is unknown.
Salmonella
Comparison of our results with those of previous studies is complicated by the high diversity of bird species, and a large-scale comparison of each individual species would be beneficial to allow for a more meaningful comparison. Many previous studies are carried out in association with farms, potentially to quantify the risk of introduction of the focal pathogen; however, given the routinely high levels of AMR bacteria and Salmonella isolated from many farmed livestock species, the results from these previous studies may be highly skewed37. In addition, rather than the methods of sampling using mist nets as employed in this study, many focus on birds in rescue shelters, birds such as pigeons that have been culled, or specific focal species such as raptors or large animals such as storks; thus these studies often include only small numbers of passerine birds despite their tendency to be more numerous and widespread. Species with high Salmonella prevalence in this study included the Eurasian blackcap (Sylvia atricapilla), Eurasian blue tits (Cyanistes caeruleus) and house sparrows (Passer domesticus). Unfortunately, few previous studies target these species, with a few studies reporting Salmonella spp. in the Eurasian blackcap (prevalence of 1/838; two positives for Salmonella spp. but does not say how many blackcaps were tested specifically39), the Eurasian blue tit (one positive from six samples tested38; 3/14 positive samples40; 4 of 36 eggs41) and house sparrows (7/31 positives40; 7/11 carcasses42; 33/50 infected with Salmonella spp.43). Other studies have suggested that species such as house sparrows do not shed much Salmonella Typhimurium44.
This is particularly surprising given that studies report that wild bird salmonellosis can pose a risk to human and animal health, and given that a large number of UK homeowners provide supplementary food to garden birds6, this offers a simple yet successful method for introduction of Salmonella into the human environment and potentially for infection45,46. Indeed, previous studies have linked wild songbirds to Salmonella outbreaks in humans47.
That said, our findings (11.6% Salmonella spp. positivity) are in line with, or slightly higher than, other studies, including a reported 6.4% on average for carriage in wild birds in Poland48, but this varied dramatically between bird species, with the Eurasian siskin (Carduelis spinus) and the greenfinch (Carduelis chloris) being around 33% (based on 30 or more samples). In addition, a prevalence of 12.3% Salmonella spp. carriage has been reported from birds in Spain49. A similar prevalence (7.4%) was observed in a study in Croatia50 and lower prevalences were observed in South Korea (0.93%51) and on the Austria- Czech Republic border (2.2%52). However, higher prevalences have also been found: for example, in Texas, USA, 17% of wild birds were positive for Salmonella spp.53, as were 13.5% of birds tested in Bangladesh54.
The isolation of S. Typhimurium is relatively common among various bird species10,43,55,56, which concurs with our findings. Many of the other strains have also been isolated in previous studies37,40,57,58,59,60,61. Interestingly, some of these strains have been isolated from other animals including dogs62 and livestock63,64, suggesting that there may be transmission either from birds to these animals, or vice versa65,66. Multi-drug resistance has been reported commonly within Salmonella isolates, some of which were from wild birds. Multi drug resistance poses problems for treatment opportunities in infected animals and humans, and thus the clinical shedding of these bacteria is of high importance. Indeed, Salmonella spp. isolated from wild birds are commonly MDR, for example 86.7% of 15 isolates obtained by Martín-Maldonado et al.49.
High levels of tetracycline resistance have been reported previously67, with chloramphenicol and ampicillin resistance equally commonly seen in wild bird Salmonella isolates68,69. The lack of resistance to nalidixic acid seen within this study differs from others which report high levels of resistance49,67,70, although the reasons for this are unclear.
Risk factor analyses for the carriage of Salmonella spp. in wild birds are lacking, as most studies focus on specific populations, such as those admitted to rescue hospitals, or single species. Younger birds have been found as more likely to be positive for Salmonella than older birds in a range of species49, although we did not find any difference between ages in our study. However, we did find that all intercontinental migrants carrying Salmonella were carrying MDR Salmonella, which is particularly interesting as these species tend to be reliant on invertebrate food rather than food provided by householders. The review by Blazar, Allard, and Lienau71 suggested that a wide variety of different insects which could act as prey for passerine birds, such as lesser mealworm, Alphitobius diaperinus (Panzer) can carry several pathogens, including Salmonella spp. or E. coli and act as successful vectors, suggesting a potential transmission route. Similarly, dipteran flies, commonly eaten by a range of bird species including migrants, can also vector Salmonella spp.72.
Campylobacter
We found Campylobacter spp. presence to differ between species, and many studies have found similar results. However, many focus specifically on C. jejuni because this is the most common species to cause disease in humans73. Indeed, it has been reported that C. jejuni from wild birds are a consistent cause of human disease9. Mencía-Gutierrez et al.20 report a prevalence of Campylobacter spp. in 7.5% of raptors from Spain, with C. jejuni making up 88.5% of the isolates, and Waldenström et al.74 report a prevalence of 21.6% in Sweden, but this was highly variable across different species, and 24.8% prevalence was reported in Italy at a wildlife rescue centre with 94.23% of these being C. jejuni and the remained being C. coli75. Similar to the prevalence obtained here, 15.3% was reported in South Korea76 and ranged from 8.5% to 50% depending on the bird species in Antarctic and sub-Antarctic regions77. Many of these studies target different bird species, in different areas, and in some cases use different laboratory methodologies, and as such, the results are difficult to compare.
The specific Campylobacter species which we isolated are very much in line with other studies, although the most common species seems to be variable. Similar to our study, C. jejuni was most common in wild birds associated with a Danish livestock farm78, in an Italian rescue shelter75, in the mid-Atlantic region of the USA79,80, in Northern Poland81 and from wild birds of prey in Spain20. By contrast, C. lari was most commonly found in Sweden74, and in the Antarctic peninsula77, although we found only a slightly lower prevalence of C. lari compared to C. jejuni.
Drug resistance levels appear to vary widely across studies, dependent upon area and bird species tested. Variation among the laboratory protocols used also makes direct comparisons difficult. Resistance to tetracycline is common in many studies, and has been reported previously75,82, but tetracycline and amoxicillin resistance was lower83,84. Erythromycin resistance is variable, with low levels reported by Casalino et al.75 and Du et al.82 whereas Casalino et al.75 also reported high levels of resistance to trimethoprim-sulfamethoxazole. By contrast, no drug resistance was found to erythromycin and low resistance was found to amoxicillin by Waldenström et al.74 and Kürekci et al.85 found no resistance to erythromycin or tetracycline.
We found juvenile birds to be more than twice as likely to be infected by Campylobacter spp. than adults, in agreement with Taff et al.86, although other studies find no association20,87. With regards to risk factors from the environment, farmland and animals have been shown to be risk factors for an increased level of Campylobacter spp. carriage in wild birds78 and it has been suggested that wild birds may play a role in infection of livestock with Campylobacter spp.88 although other studies suggest that the converse is true89.
Bird species associated with human habitation had a higher prevalence of Campylobacter spp. than those not associated with human habituation, which poses many potential questions, including whether the pathogen comes from human food, or possibly from contact with bird feeders. It also increases the potential risk of transmission from bird to human (or vice versa); indeed, previous epidemics have been linked to wild bird contact90. The risk factors for carriage of Campylobacter spp., and the risks which they pose to human health, require further research.
Enterococcus
Previous studies suggest that the prevalence of Enterococcus varies dramatically depending on the bird species tested, geographical area, and the laboratory methodologies used91. However, isolates of Enterococcus found in wild birds can cause infections in humans92.
The prevalence of Enterococcus obtained in this study is similar, if slightly higher than that reported in other studies, including 63.3% reported in the Azores archipelago93, 65.8% in Tunisia94, 66.7% in Poland95 and 74% in Slovakia96. The species isolated in this study are similar to those isolated in other studies, with E. faecium being most common in many studies93,94,95,97,98,99. The other species were isolated in lower numbers in various studies which is also in line with our findings93,94,95,97,99.
Drug resistance is commonly seen in Enterococcus spp., with nearly every isolate obtained by Cagnoli et al.100 being described as MDR, and this bacterium has become a common indicator of environmental contamination with faecal matter due to its ability to rapidly uptake antimicrobial resistance genes101. Resistance to vancomycin is common, especially within E. faecium and E. faecalis isolates102. Tetracycline resistance was also common in Enterococcus isolates in this study, and this is also commonly seen in farm animal isolated Enterococcus103 which may offer a potential transmission route for the bacteria, although the direction is unknown. In addition, other studies have reported high levels of resistance of Enterococcus to tetracycline93,95,98,104. Surprisingly in this study, resistance to teicoplanin and streptomycin were low, which is in contrast to the results reported by Dec et al.104, although other studies support the low resistance finding to these antimicrobials93,95,98. Previous studies have suggested that the level of antimicrobial resistance genes is not consistent across the year, with crows shown to carry lower levels of antimicrobial resistance in the summer compared to ducks and gulls, and the authors attribute this to seasonal variation in food resources due to winter foraging in waste disposal areas and highly populated areas compared to summer where seeds and grain make up more of the diets105,106. This concurs with our findings of a decline in the prevalence of MDR Enterococcus through the season: it is likely that temperature, humidity and density of animals will have an impact on the carriage and transmission of antimicrobial resistance genes107.
Birds with a wider dietary range may tend to carry more pathogens98,108, which concurs with our finding of a tendency for insectivorous birds to carry a higher prevalence of Enterococcus than other birds. Insects have been shown to be a common carrier of Enterococcus spp. as well as other bacteria, and this may allow for a route of transmission to birds109. In addition, Enterococcus and other antimicrobial resistant bacteria have been isolated from caterpillars, which act as one of the major food sources for many insectivorous birds and may allow for a transmission route110.
Whilst the prevalence of Enterococcus spp. within birds in this study is high, this does not mean that all of these isolates maybe pathogenic, as Enterococcus spp. is a widely used probiotic for benefits of digestion111. Whilst all Enterococcus spp. carrying AMR genes can lead to horizontal gene transfer to other bacterial species112, to further understand the pathogenic nature of the isolates would involve some analysis of virulence genes113, and other phenotypic differences such as ability to withstand the low pH of the GI tract114.
E. coli
E. coli is very commonly isolated from the faecal samples of many animals and is often used to assess antimicrobial resistance. Consequently, many studies have been carried out in birds, but results depend on the geographic areas and the bird species tested. This is epitomised by the study by Stedt et al.115 who reported a variation in E. coli resistance in gulls in Europe varying from 61.2% in Spain to 8.3% in Denmark. In the Azores archipelago, AMR within E. coli isolates was shown to be 24.3%93, but increases to values of 63% in Turkey116. Resistance levels vary, although similarly to our study, resistance to ampicillin tends to be common24,25,93,117,118, although other studies such as that conducted in Poland119 report a lower prevalence at 28.1%, and 16.7%120. Total resistance to ampicillin has also been reported121. In addition, nalidixic acid resistance also seems common in wild birds in various parts of the world24,118,122. However, the resistance to amikacin seems variable with some studies reporting a low level of resistance to this antimicrobial93,120, or in some cases, no resistance at all24,117,123 whereas Prandi et al.124 report amikacin resistance of 17.9%. Kanamycin resistance again varies among wild bird E. coli isolates, with 18.7% resistance reported by Nowaczek et al.119 but much higher resistance of 38% observed in birds in Turkey90.
Levels of MDR also tend to vary, with 39.6% of E. coli isolates being resistant to three or more antimicrobials in Italy124, 31.2% MDR observed in Poland119, 38% in Brazil125, 33.5% in Lithuania117 and 38.6% in Poland118. Similar to this study, Yuan et al.120 found 61.9% of 118 isolates which were classed as MDR. Total MDR (i.e. 100% of isolated bacteria) was observed in some villages in Malaysia, but the levels varied by area126. Interestingly, our findings suggested a higher diet diversity in individuals carrying MDR E. coli compared to those carrying non-MDR E. coli, suggesting that exposure to E. coli in multiple food types may increase the likelihood of MDR98.
Conclusion
The high level of pathogen carriage observed within this study from birds within the UK acts as a timely reminder of the risks which bird contact and bird faecal matter may pose, and the impacts that land management can have on wildlife. Although contact with wild birds is generally limited, risks may be posed from bird feeders, or through indiscriminate defecation in urban or suburban areas leading to environmental contamination. This in turn may lead to infections of other animals such as companion animals or livestock and could potentially enter the food chain leading to zoonotic risks. Although not tested in this study, the presence of antimicrobial resistance genes is also likely to pose potential risks to humans and animals. It is crucial that further research tests potential mechanisms of reducing levels of MDR bacteria in wildlife, potentially through increased hygiene of supplementary food resources.
Data availability
Data are available through FigShare at the following DOIs. Analysis code is available at https://doi.org/10.6084/m9.figshare.26160301, with the full dataset available at https://doi.org/10.6084/m9.figshare.26160361, the full dataset excluding species with n < 4 available at https://doi.org/10.6084/m9.figshare.26160343, all Campylobacter positive samples available at https://doi.org/10.6084/m9.figshare.26160334, Campylobacter positive samples excluding host species with n < 4 available at https://doi.org/10.6084/m9.figshare.26160349, all Salmonella positive samples available at https://doi.org/10.6084/m9.figshare.26160352, and all Enterococcus positive samples available at https://doi.org/10.6084/m9.figshare.26160358.
References
Robinson, T. et al. Antibiotic resistance is the quintessential One Health issue. Trans. R. Soc. Trop. Med. Hyg. 110, 377–380 (2016).
Velazquez-Meza, M., Galarde-López, M., Carrillo-Quiróz, B. & Alpuche-Aranda, C. Antimicrobial resistance: One Health approach. Vet. World 15, 743–749 (2022).
Edwards, M., Hamilton, R., Oliver, N., Fitzgibbon, S. & Samarasekera, R. Antibiotic Resistance: Modeling the Impact on Mortality and Morbidity (Institute and Faculty of Actuaries, 2019).
Arnold, K., Williams, N. & Bennett, M. ‘Disperse abroad in the land’: The role of wildlife in the dissemination of antimicrobial resistance. Biol. Lett. 12, 20160137 (2016).
Swift, B. M. C. et al. Anthropogenic environmental drivers of antimicrobial resistance in wildlife. Sci. Total Environ. 649, 12–20 (2019).
Robb, G., Mcdonald, R., Chamberlain, D. & Bearhop, S. Food for thought: Supplementary feeding as a driver of ecological change in avian populations. Front. Ecol. Environ. 6, 476–484 (2008).
Elsohaby, I. et al. Migratory wild birds as a potential disseminator of antimicrobial-resistant bacteria around Al-Asfar Lake, Eastern Saudi Arabia. Antibiotics 10, 260 (2021).
Anjum, M. F. et al. The potential of using E. coli as an indicator for the surveillance of antimicrobial resistance (AMR) in the environment. Curr. Opin. Microbiol. 64, 152–158 (2021).
Cody, A. et al. Wild bird-associated Campylobacter jejuni isolates are a consistent source of human disease, in Oxfordshire, United Kingdom. Environ. Microbiol. Rep. 7, 782–788 (2015).
Alley, M. et al. An epidemic of salmonellosis caused by Salmonella Typhimurium DT160 in wild birds and humans in New Zealand. N. Z. Vet. J. 50, 170–176 (2002).
Vu, J. & Carvalho, J. Enterococcus: Review of its physiology, pathogenesis, diseases and the challenges it poses for clinical microbiology. Front. Biol. 6, 357–366 (2011).
McDuie, F. et al. Pathways for avian influenza virus spread: GPS reveals wild waterfowl in commercial livestock facilities and connectivity with the natural wetland landscape. Transbound. Emerging. Dis. 69, 2898–2912 (2022).
Sparks, T. et al. How consistent are trends in arrival (and departure) dates of migrant birds in the UK?. J. Ornithol. 148, 503–511 (2007).
Svensson, L. Identification Guide to European Passerines (British Trust for Ornithology, 1992).
Sabat, G., Rose, P., Hickey, W. & Harkin, J. Selective and sensitive method for PCR amplification of Escherichia coli 16S rRNA genes in soil. Appl. Environ. Microbiol. 66, 844–849 (2000).
DePaola, A. et al. Bacterial and viral pathogens in live oysters: 2007 United States market survey. Appl. Environ. Microbiol. 76, 2754–2768 (2010).
Peng, X. et al. Comparison of direct boiling method with commercial kits for extracting fecal microbiome DNA by Illumina sequencing of 16S rRNA tags. J. Microbiol. Methods 95, 455–462 (2013).
Ke, D. et al. Development of a PCR assay for rapid detection of enterococci. J. Clin. Microbiol. 37, 3497–3503 (1999).
Jackson, C., Fedorka-Cray, P. & Barrett, J. Use of a genus- and species-specific multiplex PCR for identification of enterococci. J. Clin. Microbiol. 42, 3558–3565 (2004).
Mencía-Gutiérrez, A. et al. Prevalence and antimicrobial resistance of Campylobacter from wild birds of prey in Spain. Comp. Immunol. Microbiol. Infect. Dis. 79, 101712 (2021).
Wang, G. et al. Colony multiplex PCR assay for identification and differentiation of Campylobacter jejuni, C. coli, C. lari, C. upsaliensis, and C. fetus subsp. fetus. J. Clin. Microbiol. 40, 4744–4747 (2002).
Matuschek, E., Brown, D. F. J. & Kahlmeter, G. Development of the EUCAST disk diffusion antimicrobial susceptibility testing method and its implementation in routine microbiology laboratories. Clin. Microbiol. Infect. 20, O255–O266 (2014).
The European Committee on Antimicrobial Susceptibility Testing—EUCAST 2025. EUCAST: MIC determination. https://www.eucast.org/ast_of_bacteria/mic_determination (2025).
Ong, K. et al. Occurrence and antimicrobial resistance traits of Escherichia coli from wild birds and rodents in Singapore. Int. J. Environ. Res. Public Health 17, 5606 (2020).
Guenther, S. et al. Antimicrobial resistance profiles of Escherichia coli from common European wild bird species. Vet. Microbiol. 144, 219–225 (2010).
Markey, B., Leonard, F., Archambault, M., Cullinane, A. & Maguire, D. Clinical Veterinary Microbiology E-Book: Clinical Veterinary Microbiology E-Book (Elsevier Health Sciences, 2013).
Magiorakos, A. et al. Multidrug-resistant, extensively drug-resistant and pandrug-resistant bacteria: an international expert proposal for interim standard definitions for acquired resistance. Clin. Microbiol. Infect. 18, 268–281 (2012).
Schwarz, S. et al. Editorial: Assessing the antimicrobial susceptibility of bacteria obtained from animals. J. Antimicrob. Chemother. 65, 601–604 (2010).
Grimont, P. & Weill, F. Antigenic formulae of the Salmonella serovars. WHO Collaborating Centre for Reference and Research on Salmonella, 1–166 (2007).
Leclercq, R. et al. EUCAST expert rules in antimicrobial susceptibility testing. Clin. Microbiol. Infect. 19, 141–160 (2013).
Santos, K. K. A. et al. Enhancement of the antifungal activity of antimicrobial drugs by Eugenia uniflora L. J. Med. Food 16, 669–671 (2013).
R Core Team. R: A language and environment for statistical computing. R Foundation for Statistical Computing, Vienna, Austria. http://www.R-project.org/ (2024).
Storchová, L. & Hořák, D. Life-history characteristics of European birds. Glob. Ecol. Biogeogr. 27, 400–406 (2018).
Esposito, E. et al. Wild birds as potential bioindicators of environmental antimicrobial resistance: A preliminary investigation. Res. Vet. Sci. 180, 105424 (2024).
Łopucki, R. et al. Interspecies transmission of antimicrobial-resistant bacteria between wild birds and mammals in urban environment. Vet. Microbiol. 294, 110130 (2024).
Osbiston, K., Oxbrough, A. & Fernández-Martínez, L. T. Antibiotic resistance levels in soils from urban and rural land uses in Great Britain. Access Microbiol. 3, 000181 (2021).
De Lucia, A. et al. Role of wild birds and environmental contamination in the epidemiology of Salmonella infection in an outdoor pig farm. Vet. Microbiol. 227, 148–154 (2018).
Mancini, L. et al. A Case study on wild birds: A human enteric pathogens transmission. J. Environ. Sci. Public Health 4, 267–281 (2020).
Foti, M. et al. Salmonella bongori 48: z35:–in Migratory Birds, Italy. Emerg. Infect. Dis. 15, 502 (2009).
Refsum, T., Handeland, K., Baggesen, D., Holstad, G. & Kapperud, G. Salmonellae in avian wildlife in Norway from 1969 to 2000. Appl. Environ. Microbiol. 68, 5595–5599 (2002).
Boonyarittichaikij, R. et al. Salmonella Typhimurium DT193 and DT99 are present in great and blue tits in Flanders, Belgium. PLoS ONE 12, e0187640 (2017).
Pasquali, F., De Cesare, A., Braggio, S. & Manfreda, G. Salmonella detection and aerobic colony count in deep-frozen carcasses of house sparrow (Passer domesticus) and starling (Sturnus vulgaris) intended for human consumption. Ital. J. Food Saf. 3, 1668 (2014).
Pennycott, T., Park, A. & Mather, H. Isolation of different serovars of Salmonella enterica from wild birds in Great Britain between 1995 and 2003. Vet. Rec. 158, 817–820 (2006).
Rouffaer, L. O. et al. House sparrows do not constitute a significant Salmonella typhimurium reservoir across urban gradients in Flanders, Belgium. PLoS ONE 11, e0155366 (2016).
Davies, Z. et al. A national scale inventory of resource provision for biodiversity within domestic gardens. Biol. Conserv. 142, 761–771 (2009).
Lawson, B. et al. Epidemiological evidence that garden birds are a source of human salmonellosis in England and Wales. PLoS ONE 9, e88968 (2014).
Patel, K. et al. Human salmonellosis outbreak linked to Salmonella Typhimurium epidemic in wild songbirds, United States, 2020–2021. Emerg. Infect. Dis. 29, 2298–2306 (2023).
Krawiec, M., Kuczkowski, M., Kruszewicz, A. & Wieliczko, A. Prevalence and genetic characteristics of Salmonella in free-living birds in Poland. BMC Vet. Res. 11, 15 (2015).
Martín-Maldonado, B. et al. Urban birds: An important source of antimicrobial resistant Salmonella strains in Central Spain. Comp. Immunol. Microbiol. Infect. Dis. 72, 101519 (2020).
Vlahović, K. et al. Campylobacter, Salmonella and Chlamydia in free-living birds of Croatia. Eur. J. Wildl. Res. 50, 127–132 (2004).
Wei, B. et al. Prevalence and potential risk of Salmonella enterica in migratory birds from South Korea. Vet. Microbiol. 249, 108829 (2020).
Konicek, C. et al. Detection of zoonotic pathogens in wild birds in the cross-border region Austria-Czech Republic. J. Wildl. Dis. 52, 850–861 (2016).
Brobey, B., Kucknoor, A. & Armacost, J. Prevalence of Trichomonas, Salmonella, and Listeria in wild birds from Southeast Texas. Avian Dis. 61, 347–352 (2017).
Card, R. M. et al. Multidrug-resistant non-typhoidal Salmonella of public health significance recovered from migratory birds in Bangladesh. Front. Microbiol. 14, 1162657 (2023).
Hughes, L. et al. Characterisation of Salmonella enterica serotype Typhimurium isolates from wild birds in northern England from 2005–2006. BMC Vet. Res. 4, 4–4 (2008).
Mather, A. et al. Genomic analysis of Salmonella enterica Serovar typhimurium from wild passerines in England and Wales. Appl. Environ. Microbiol. 82, 6728–6735 (2016).
Antilles, N. et al. Audouin’s gull, a potential vehicle of an extended spectrum β-lactamase producing Salmonella Agona. FEMS Microbiol. Lett. 362, 1–4 (2015).
Reche, M. et al. Comparison of phenotypic and genotypic markers for characterization of an outbreak of Salmonella serotype Havana in captive raptors. J. Appl. Microbiol. 94, 65–72 (2003).
Kirk, J., Holmberg, C. & Jeffrey, J. Prevalence of Salmonella spp in selected birds captured on California dairies. J. Am. Vet. Med. Assoc. 220, 359–362 (2002).
Tizard, I. Salmonellosis in wild birds. In Seminars in Avian and Exotic Pet Medicine Vol. 13 50–66 (WB Saunders, 2004).
Smith, J. et al. Prevalence and molecular characterization of Salmonella isolated from wild birds in fresh produce environments. Front. Microbiol. 14, 1272916 (2023).
Morgan, G. et al. Isolation of Salmonella species of public health concern from commonly fed dried meat dog treats. Vet. Rec. 192, e2642 (2023).
Davies, R. et al. National survey for Salmonella in pigs, cattle and sheep at slaughter in Great Britain (1999–2000). J. Appl. Microbiol. 96, 750–760 (2004).
Snow, L. et al. Survey of the prevalence of Salmonella species on commercial laying farms in the United Kingdom. Vet. Rec. 161, 471–476 (2007).
Horton, R. et al. Wild birds carry similar Salmonella enterica serovar Typhimurium strains to those found in domestic animals and livestock. Res. Vet. Sci. 95, 45–48 (2013).
Pao, S. et al. Prevalence and molecular analyses of Campylobacter jejuni and Salmonella spp. in co-grazing small ruminants and wild-living birds. Livestock Sci. 160, 163–171 (2014).
Kandir, H. & Öztürk, D. Antimicrobial resistance of E. coli and Salmonella isolated from wild birds in a Rehabilitation Center in Turkey. Arch. Razi Inst. 77, 257 (2022).
Molina-Lopez, R. et al. Wild raptors as carriers of antimicrobial-resistant Salmonella and Campylobacter strains. Vet. Rec. 168, 565 (2011).
Janecko, N. et al. Prevalence, characterization and antibiotic resistance of Salmonella isolates in large corvid species of Europe and North America between 2010 and 2013. Zoonoses Public Health 62, 292–300 (2015).
Troxler, S. et al. Microdilution testing reveals considerable and diverse antimicrobial resistance of Escherichia coli, thermophilic Campylobacter spp. and Salmonella spp. isolated from wild birds present in urban areas. Eur. J. Wildl. Res. 63, 68 (2017).
Blazar, J., Allard, M. & Lienau, E. K. Insects as vectors of foodborne pathogenic bacteria. Terr. Arthropod Rev. 4, 5–16 (2011).
Wales, A. D. et al. Review of the carriage of zoonotic bacteria by arthropods, with special reference to salmonella in mites, flies and litter beetles. Zoonoses Public Health 57, 299–314 (2010).
Rodrigues, L. et al. The study of infectious intestinal disease in England: Risk factors for cases of infectious intestinal disease with Campylobacter jejuni infection. Epidemiol. Infect. 127, 185–193 (2001).
Waldenström, J. et al. Prevalence of Campylobacter jejuni, Campylobacter lari, and Campylobacter coli in different ecological guilds and taxa of migrating birds. Appl. Environ. Microbiol. 68, 5911–5917 (2002).
Casalino, G. et al. Prevalence and antimicrobial resistance of Campylobacter jejuni and Campylobacter coli in wild birds from a wildlife rescue centre. Animals 12, 2889 (2022).
Kwon, Y. et al. Prevalence of Campylobacter species in wild birds of South Korea. Avian Pathol. 46, 474–480 (2017).
Johansson, H. et al. Characterization of Campylobacter spp. isolated from wild birds in the Antarctic and Sub-Antarctic. PLoS ONE 13, e0206502 (2018).
Hald, B. et al. Campylobacter jejuni and Campylobacter coli in wild birds on Danish livestock farms. Acta Vet. Scand. 58, 11 (2015).
Keller, J., Shriver, W., Waldenström, J., Griekspoor, P. & Olsen, B. Prevalence of Campylobacter in wild birds of the mid-Atlantic region, USA. J. Wildl. Dis. 47, 750–754 (2011).
Keller, J. & Shriver, W. Prevalence of three campylobacter species, C. jejuni, C. coli, and C. lari, using multilocus sequence typing in wild birds of the Mid-Atlantic region, USA. J. Wildl. Dis. 50, 31–41 (2014).
Andrzejewska, M. et al. Genetic relatedness, virulence, and drug susceptibility of Campylobacter isolated from water and wild birds. Front. Cell. Infect. Microbiol. 12, 1005085 (2022).
Du, J. et al. Emergence of genetic diversity and multi-drug resistant Campylobacter jejuni from wild birds in Beijing, China. Front. Microbiol. 10, 2433 (2019).
Dudzic, A. et al. Isolation, identification and antibiotic resistance of Campylobacter strains isolated from domestic and free-living pigeons. Br. Poult. Sci. 57, 172–178 (2016).
Marotta, F. et al. Antimicrobial resistance genotypes and phenotypes of Campylobacter jejuni isolated in Italy from humans, birds from wild and urban habitats, and poultry. PLoS ONE 14, e0223804 (2019).
Kürekci, C. et al. Characterization of Campylobacter spp. strains isolated from wild birds in Turkey. Front. Microbiol. 12, 712106 (2021).
Taff, C. et al. Influence of host ecology and behavior on Campylobacter jejuni prevalence and environmental contamination risk in a synanthropic wild bird species. Appl. Environ. Microbiol. 82, 4811–4820 (2016).
Jurado-Tarifa, E. et al. Genetic diversity and antimicrobial resistance of Campylobacter and Salmonella strains isolated from decoys and raptors. Comp. Immunol. Microbiol. Infect. Dis. 48, 14–21 (2016).
Sippy, R. et al. Occurrence and molecular analysis of Campylobacter in wildlife on livestock farms. Vet. Microbiol. 157, 369–375 (2012).
Hughes, L. et al. Molecular epidemiology and characterization of Campylobacter spp. isolated from wild bird populations in Northern England. Appl. Environ. Microbiol. 75, 3007–3015 (2009).
Ahmed, N. A. & Gulhan, T. Campylobacter in wild birds: Is it an animal and public health concern?. Front. Microbiol. 12, 812591 (2022).
Kuntz, R., Hartel, P., Rodgers, K. & Segars, W. Presence of Enterococcus faecalis in broiler litter and wild bird feces for bacterial source tracking. Water Res. 38, 3551–3557 (2004).
Stępień-Pyśniak, D., Hauschild, T., Nowaczek, A., Marek, A. & Dec, A. Wild birds as a potential source of known and novel multilocus sequence types of antibiotic-resistant Enterococcus faecalis. J. Wildl. Dis. 54, 219–228 (2018).
Santos, T. et al. Dissemination of antibiotic resistant Enterococcus spp. and Escherichia coli from wild birds of Azores Archipelago. Anaerobe 24, 25–31 (2013).
Klibi, N. et al. Diversity of species and antibiotic resistance among fecal enterococci from wild birds in Tunisia. Detection of vanA-containing Enterococcus faecium isolates. Eur. J. Wildl. Res. 61, 319–323 (2015).
Kwit, R. et al. Prevalence of Enterococcus spp. and the whole-genome characteristics of Enterococcus faecium and Enterococcus faecalis strains isolated from free-living birds in Poland. Pathogens 12, 836 (2023).
Splichalova, P. et al. Prevalence, diversity and characterization of enterococci from three coraciiform birds. Antonie Van Leeuwenhoek 107, 1281–1289 (2015).
Yahia, H. et al. Antimicrobial resistance and genetic lineages of faecal enterococci of wild birds: Emergence of vanA and vanB2 harbouring Enterococcus faecalis. Int. J. Antimicrob. Agents 52, 936–941 (2018).
Radhouani, H. et al. Wild birds as biological indicators of environmental pollution: Antimicrobial resistance patterns of Escherichia coli and enterococci isolated from common buzzards (Buteo buteo). J. Med. Microbiol. 61, 837–843 (2012).
Dolka, B., Czopowicz, M., Chrobak-Chmiel, D., Ledwoń, A. & Szeleszczuk, P. Prevalence, antibiotic susceptibility and virulence factors of Enterococcus species in racing pigeons (Columba livia f. domestica). BMC Vet. Res. 16, 7 (2020).
Cagnoli, G. et al. Antimicrobial-resistant Enterococcus spp. in wild avifauna from central Italy. Antibiotics 11, 852 (2022).
Suzuki, Y., Kanda, N. & Furukawa, T. Abundance of Enterococcus species, Enterococcus faecalis and Enterococcus faecium, essential indicators of fecal pollution, in river water. J. Environ. Sci. Health Part A 47, 1500–1505 (2012).
Wada, Y. et al. Status of vancomycin-resistant Enterococcus in species of wild birds: A systematic review and meta-analysis. J. Infect. Public Health 17, 1023–1036 (2024).
Gouliouris, T. et al. Genomic surveillance of Enterococcus faecium reveals limited sharing of strains and resistance genes between livestock and humans in the United Kingdom. MBio 9, e01780 (2018).
Dec, M. et al. Antibiotic susceptibility and virulence genes in enterococcus isolates from wild mammals living in Tuscany, Italy. Microb. Drug Resist. 26, 505–519 (2020).
Dolejska, M. & Literak, I. Wildlife is overlooked in the epidemiology of medically important antibiotic-resistant bacteria. Antimicrob. Agents Chemother. 63, e01167-e1219 (2019).
Zhao, H., Sun, R., Yu, P. & Alvarez, P. High levels of antibiotic resistance genes and opportunistic pathogenic bacteria indicators in urban wild bird feces. Environ. Pollut. 266, 115200 (2020).
Bharathi, R. A., Rajan, J. J. S., Chitra, V., Muralidhar, M. & Alavandi, S. V. Viability of white spot syndrome virus (WSSV) in shrimp pond sediments with reference to physicochemical properties. Aquacult. Int. 27, 1369–1382 (2019).
Oravcova, V. et al. American crows as carriers of vancomycin-resistant enterococci with vanA gene. Environ. Microbiol. 16, 939–949 (2014).
Rawat, N. et al. Understanding the role of insects in the acquisition and transmission of antibiotic resistance. Sci. Total Environ. 858, 159805 (2023).
Huff, R. et al. Antimicrobial resistance and genetic relationships of enterococci from siblings and non-siblings Heliconius erato phyllis caterpillars. PeerJ 8, e8647 (2020).
Hanchi, H., Mottawea, W., Sebei, K. & Hammami, R. The genus Enterococcus: Between probiotic potential and safety concerns—an update. Front. Microbiol. 9, 1791 (2018).
Palmer, K. L., Kos, V. N. & Gilmore, M. S. Horizontal gene transfer and the genomics of enterococcal antibiotic resistance. Curr. Opin. Microbiol. 13, 632–639 (2010).
Diarra, M. S. et al. Distribution of antimicrobial resistance and virulence genes in Enterococcus spp. and characterization of isolates from broiler chickens. Appl. Environ. Microbiol. 76, 8033–8043 (2010).
Christoffersen, T. E. et al. In vitro comparison of commensal, probiotic and pathogenic strains of Enterococcus faecalis. Br. J. Nutr. 108, 2043–2053 (2012).
Stedt, J. et al. Antibiotic resistance patterns in Escherichia coli from gulls in nine European countries. Infect. Ecol. Epidemiol. 4, 21565 (2014).
Ahmed, N. A. & Gulhan, T. Determination of antibiotic resistance patterns and genotypes of Escherichia coli isolated from wild birds. Microbiome 12, 8 (2024).
Merkeviciene, L. et al. Prevalence and molecular characteristics of multi-resistant Escherichia coli in wild birds. Acta Vet. Brno 87, 9–17 (2018).
Skarżyńska, M. et al. Antimicrobial resistance glides in the sky—free-living birds as a reservoir of resistant Escherichia coli with zoonotic potential. Front. Microbiol. 12, 656223 (2021).
Nowaczek, A. et al. Antibiotic resistance and virulence profiles of Escherichia coli strains isolated from wild birds in Poland. Pathogens 10, 1059 (2021).
Yuan, Y. et al. Migratory wild birds carrying multidrug-resistant Escherichia coli as potential transmitters of antimicrobial resistance in China. PLoS ONE 16, e0261444 (2021).
Rybak, B. et al. Antibiotic resistance, virulence, and phylogenetic analysis of Escherichia coli strains isolated from free-living birds in human habitats. PLoS ONE 17, e0262236 (2022).
Ramey, A. M. et al. Antibiotic-resistant Escherichia coli in migratory birds inhabiting remote Alaska. EcoHealth 15, 72–81 (2018).
Smith, H., Clarke, R., Larkins, J., Bean, D. & Greenhill, A. Wild Australian birds and drug-resistant bacteria: Characterisation of antibiotic-resistant Escherichia coli and Enterococcus spp. Emu Austral Ornithol. 119, 384–390 (2019).
Prandi, I. et al. Antibiotic resistant Escherichia coli in wild birds hospitalised in a wildlife rescue centre. Comp. Immunol. Microbiol. Infect. Dis. 93, 101945 (2023).
Batalha De Jesus, A. et al. High-level multidrug-resistant Escherichia coli isolates from wild birds in a large urban environment. Microb. Drug Resist. 25, 167–172 (2019).
Mohamed, M. et al. Multi-drug resistant pathogenic Escherichia coli isolated from wild birds, chicken, and the environment in Malaysia. Antibiotics 11, 1275 (2022).
Acknowledgements
Thanks to two anonymous reviewers whose comments improved an earlier version of the manuscript.
Author information
Authors and Affiliations
Contributions
J.C.D. and S.R.C. conceived the study. J.C.D. collected the samples, S.R.C. conducted laboratory analysis. J.C.D. conducted statistical analysis, and S.R.C. and J.C.D. wrote the original draft and reviewed and edited the manuscript.
Corresponding author
Ethics declarations
Competing interests
The authors declare no competing interests.
Ethical approval
All birds from which samples were collected were caught as part of standard bird ringing activities under a British Trust for Ornithology ringing licence to JCD. This study received ethical approval from the University of Lincoln Animal Ethics Committee, reference LEAS3818.
Additional information
Publisher’s note
Springer Nature remains neutral with regard to jurisdictional claims in published maps and institutional affiliations.
Electronic supplementary material
Below is the link to the electronic supplementary material.
Rights and permissions
Open Access This article is licensed under a Creative Commons Attribution 4.0 International License, which permits use, sharing, adaptation, distribution and reproduction in any medium or format, as long as you give appropriate credit to the original author(s) and the source, provide a link to the Creative Commons licence, and indicate if changes were made. The images or other third party material in this article are included in the article’s Creative Commons licence, unless indicated otherwise in a credit line to the material. If material is not included in the article’s Creative Commons licence and your intended use is not permitted by statutory regulation or exceeds the permitted use, you will need to obtain permission directly from the copyright holder. To view a copy of this licence, visit http://creativecommons.org/licenses/by/4.0/.
About this article
Cite this article
Dunn, J.C., Clegg, S.R. High prevalence of multi-drug-resistant bacteria in faecal samples from UK passerine birds. Sci Rep 15, 28130 (2025). https://doi.org/10.1038/s41598-025-13012-4
Received:
Accepted:
Published:
Version of record:
DOI: https://doi.org/10.1038/s41598-025-13012-4







