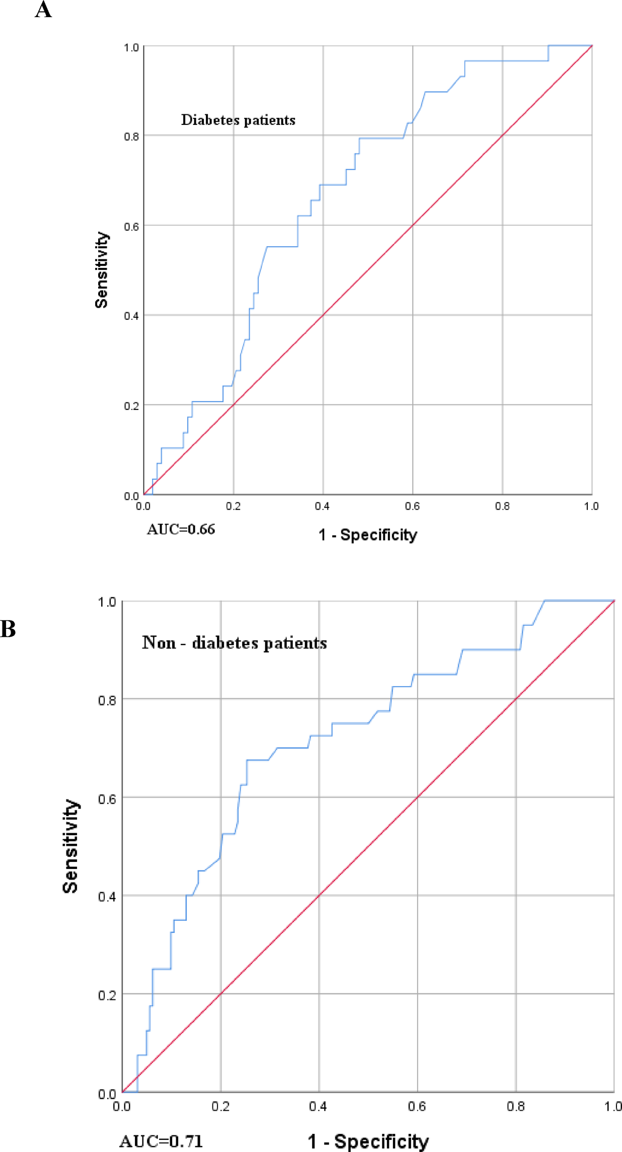
Fig. 1

ROC curve of Glucose level at admission predicting hospital mortality of patients with AMI. (A) The ROC curve of Glucose level at admission to predict hospital mortality for patients with AMI with diabetes. (B) The ROC curve of Glucose level at admission to predict hospital mortality for patients with AMI without diabetes. AMI, acute myocardial infarction; AUC, area under curve; ROC, receiver operating characteristic.