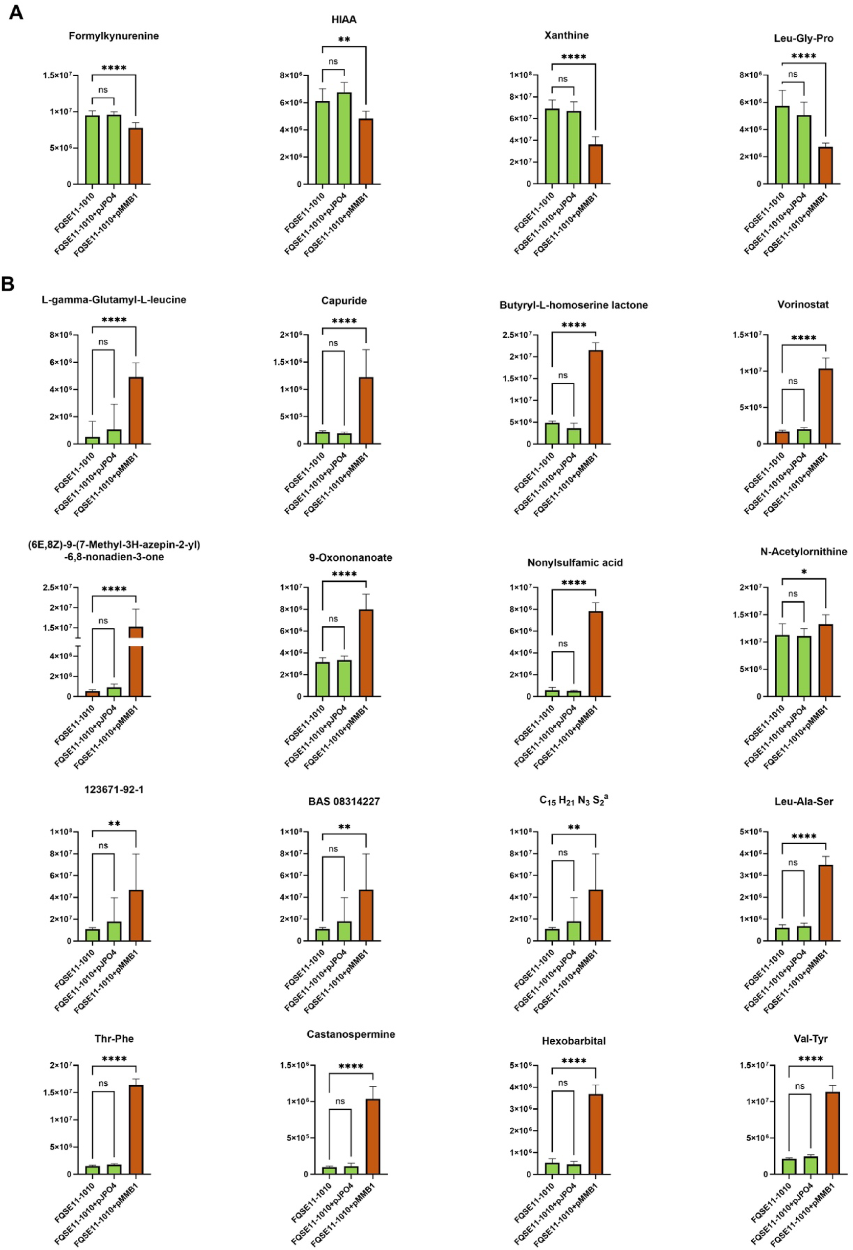
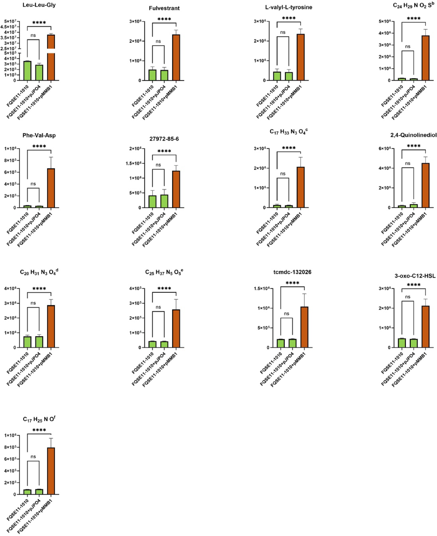
Fig. 6
From: Metabolomic profiling reveals unique markers for Pseudomonas aeruginosa LasR deficiency


Impact of lasRs gene complementation on the abundance of LasR-associated exometabolites in a LasR-deficient P. aeruginosa isolate. Box plots of identified metabolites exhibiting a Log2 fold change of ≥ 1.5 and a p-value < 0.05 compared to the control. Each box plot shows the metabolite levels for the LasR− strains FQSE11-1010 and FQSE11-1010 + pJPO4 and the LasR+ strain FQSE11-1010 + pMMB1, represented by peak areas in arbitrary units. (A) Identified metabolites with a higher expression when lasR gene is mutated. (B) Identified metabolites with a higher expression when lasR gene is functional. Differences are referred to the LasR− strain FQSE11-1010. An ANOVA followed by Tukey’s HSD post hoc test was used to determine statistical significance in metabolite levels. *p < 0.05; **p < 0.005; **** p < 0.0001. a4-butyl-3-(6-methyl-4,5,6,7-tetrahydro-1-benzothiophen-3-yl)-1 H-1,2,4-triazole-5, b2-[(6-Methyl-3,4-dihydrospiro[chromene-2,1’-cyclopentan]-4-yl)sulfanyl]-N-(2-phenylethyl)acetamide,c N-{[(2-Methyl-2-propanyl) oxy] carbonyl} isoleucylleucinamide, dN-[(5R,6R,9R)-5-methoxy-3,6,9-trimethyl-2-oxo-11-oxa-3,8-diazabicyclo[10.4.0]hexadeca-112,13,15-trien-14-yl]propenamide, e(8R,9R)-9-[[2,3-dihydro-1,4-benzodioxin-6-ylmethyl(methyl)amino]methyl]-6-[(2R)-1-hydroxypropan-2-yl]-8-methyl-10-oxa-1,6,14,15-tetrazabicyclo[10.3.0]pentadeca-12,14-dien-5-one, f N-(4-Butoxyphenyl)-6,8,10-triazaspiro[4.5]deca-6,9-diene-7,9-diamine.