Abstract
Pseudomonas aeruginosa is a primary driver of morbidity and mortality in cystic fibrosis (CF) patients. Throughout the course of infection, P. aeruginosa undergoes significant evolution and adaptation to the dynamic environment of the CF respiratory tract, leading to the emergence of diverse phenotypes. Among the variants that arise during this process are mutations in the regulatory gene lasR. While clinical significance of LasR deficiency is well recognized, current evidence does not fully elucidate the metabolic changes associated with the absence of this master regulator. To address this, we conducted untargeted metabolic profiling of cell supernatants (exometabolomes) to compare twenty-four P. aeruginosa strains, collected over 3–8 years from ten CF patients classified either as LasR functional (LasR+) or LasR non-functional (LasR−). We found a highly significant relationship between the LasR phenotype and the global exometabolic profile of the clinical strains. Furthermore, our analysis identified several metabolites whose production appears to be linked to LasR expression. These findings were validated using a loss of function/gain of function approach. This connection between lasR genetic expression, the chronic adaptation of P.aeruginosa to the CF lung environment and the generation of traceable metabolic markers highlights a potential avenue for diagnosing and monitoring respiratory infections caused by this pathogen.
Similar content being viewed by others
Introduction
Pseudomonas aeruginosa stands as the leading cause of morbidity and mortality in patients with cystic fibrosis (CF). After years of intermittent colonization, P. aeruginosa usually evolves into a chronic respiratory infection that is nearly impossible to eradicate1,2,3. A noteworthy characteristic of chronic respiratory infections caused by P. aeruginosa is the emergence of numerous phenotypes, resulting from the microorganism’s adaptation to the constantly shifting and heterogeneous conditions within the damaged lung tissue of CF patients4,5. As a result, P. aeruginosa strains isolated from chronic lung infections encompass a range of clonally related variants. These variants may display traits such as mucoid or dwarf forms, nonmotility, absence of flagella, lipopolysaccharide deficiency, protease deficiency, hypermutability, auxotrophy, or resistance to antibiotics4,5.
Many of these variants emerge due to mutations in key global regulatory genes such as lasR6,7. This gene encodes a master regulator responsible for governing the microorganism’s pathogenesis in response to signals from bacterial quorum-sensing. Clinical evidence has shown the emergence of lasR null-mutants in the chronically infected CF lung, which has been associated with disease progression6,8. It has been demonstrated that LasR-deficient isolates from CF patients can trigger an exaggerated inflammatory response in the host and promote the recruitment of neutrophils due to the loss of LasB cytokine-proteolytic activity8. Furthermore, it has been demonstrated that LasR− deficient strains enhance neutrophil adhesion and recruitment by impairing ICAM-19 and C5a degradation10 through LasR-regulated proteases, elastase LasB and alkaline protease AprA, thereby contributing to the hyperinflammatory state observed in the respiratory tract of CF patients.
Despite the clinical significance of the expression of LasR, there is limited information available on how this regulator impacts the metabolism of P. aeruginosa. In recent years, metabolomic profiling of several microorganisms has been gaining increasing significance in the study of infectious diseases11,12,13. Indeed, it has proven to be an effective method for identifying metabolic changes in P. aeruginosa in response to external factors, such as growth conditions or the presence of specific compounds14,15,16. Moreover, metabolomics has allowed us to identify the changing responses of P. aeruginosa to long term infections such as lung infections in CF patients17. Therefore, metabolomic studies can offer valuable insights and a more precise reflection of the actual phenotype, potentially aiding the development of new strategies for the prevention and treatment of infectious diseases18,19,20.
In this study, we evaluated the potential of untargeted LC-MS metabolomics as a tool for detecting P. aeruginosa clinical strains deficient in LasR. Metabolomic profiles of cell supernatants (exometabolomes) were obtained from 24 clinical isolates collected from a longitudinal study involving 10 patients, stratified by LasR phenotype and analyzed to identify metabolites specific to the LasR-deficient phenotype. This comprehensive approach allowed us to identify distinct exometabolic signatures associated with the absence of LasR in P. aeruginosa. These findings were validated using a loss of function/gain of function approach, highlighting potential biomarkers for detecting the emergence of this clinically significant phenotype.
Results
Isolates with functional LasR display distinct exometabolomic profiles compared to LasR-deficient counterparts
Principal component analysis (PCA) was used to assess the overall variation in the metabolic pattern of the clinical isolates obtained from chronically infected patients. PCA of untargeted metabolomics showed two compact clusters corresponding to the two phenotypes studied, strains carrying a functional lasR gene (hereafter referred to as LasR+ strains) and strains carrying a mutated lasR gene (hearafter referred to as LasR− strains) (Fig. 1). PCA scores plot of the discovery data set supported the idea that the exometabolome differences were associated with the expression of the transcriptomic regulator LasR. The method’s reproducibility was supported by the tight clustering of data points corresponding to replicates from each isolate (Fig. 1B).
Principal component analysis score plot of the discovery data set of P. aeruginosa strains from respiratory chronic infection. Panel (A) shows the average PCA scores from triplicate samples, while panel B displays individual scores for each sample in triplicate. The samples were plotted using principal components 1 and 2 as coordinates. In panel A, Principal component analysis 1 and 2 explain 51.4% and 16.5% of the total variance, respectively; in panel (B), they explain 50.0% and 16.5%, respectively. Identical strains exhibit identical colors in both panels. Isolates IDs are indicated on panel A. Unfilled symbols are used to represent “Early” isolates while filled symbols are used to represent “Late” isolates, corresponding to the first and last available isolate from each patient. LasR+ strains are represented by squares and LasR− strains by circles.
We wanted next to determine if the close arrangement observed was extended to strains isolated from acute respiratory infections. Although more variability was observed compared to isolates from chronic respiratory infections, PCA scores plot showed how most of LasR− strains clustered together and separated from LasR+ strains (Supplemental Fig. 1).
The discovery dataset of the isolates from chronic infections revealed 1369 features with significantly different abundances compared to the control (media without bacterial growth), each exhibiting Log2 fold changes greater than 2 and a p-value of less than 0.01 respect to the control. Among these, 425 were found more abundant compared to control exclusively in the LasR+ group and 263 in the LasR− group. Out of 425, 422 were more abundant (Log2 fold change > 1.5, p < 0.05) in the LasR+ group compared to the LasR− group, whereas 256 of 263 features were more abundant in the LasR− group compared to the LasR+ strains. Using several databases (mzCloud, ChemSpider and PAMDB21), 61 and 33 compounds were identified in the LasR+ and LasR− groups, respectively (Fig. 2). Among the identified features, 28 of 61 and 2 of 33, respectively, were produced at significant levels compared to the control by all the strains of each group. These compounds are marked with an asterisk in Fig. 2. The remaining compounds were produced for at least 40% of the isolates from each group at significant levels.
We conducted a pathway analysis using the MetaboAnalyst platform (https://www.metaboanalyst.ca/) on the significantly altered metabolites identified in our study and highlighted in Fig. 2. Of these, 38 compounds were successfully mapped to relevant databases within MetaboAnalyst (e.g., KEGG, HMDB, or PubChem for P. aeruginosa). However, the analysis did not reveal any significantly enriched metabolic pathways. Notably, no pathway included more than two of the mapped metabolites.
Exometabolomic compounds produced by LasR+ and LasR− isolates. Compounds identified in the discovery data set exhibiting a Log2 fold change of ≥ 2 and a p-value < 0.05 compared to the control (medium without bacteria). p-values were calculated using ANOVA followed by Tukey’s HSD post hoc test. The x-axis shows the binary logarithm of the fold change for each identified metabolite in LasR+ group (A) and LasR− group (B), each relative to the opposite group. Metabolites identified in all strains from each group are identified by asterisks.
To find potential biomarkers for the detection of lasR− null mutants, we focused on the identified compounds that were more abundant in the LasR− isolates than in the LasR+ isolates. Figure 3 shows the relative abundances of each identified compound, represented by peak areas in arbitrary units. Several compounds related to quorum sensing regulation were detected at significant levels (p < 0.05) compared to the LasR+ group. Gingerol and Shogaol, compounds that inhibit the production of extracellular virulence factors and biofilm22,23,24, were produced by 47 and 64% of the LasR− strains respectively, with difference in abundance compared to the LasR+ group of 1.69- and 1.53-Log fold change respectively. The relative abundances of each compound were significantly higher in the LasR− group, with p-value of 0.001 and 0.0009 for Gingerol and Shogaol respectively. Similarly, benzimidazole derivatives have shown anti-biofilm activity against P. aeruginosa25. Here we found that 2-Amino-1 H-benzimidazole was found in 58.8% of the strains with mutated lasR genes at higher levels compared to strains with an intact lasR gene, although not statistically significant.
Exometabolome compounds enriched in LasR− isolates compared to LasR+ isolates. Box plots of identified metabolites in the LasR− group exhibiting a Log2 fold change of ≥ 2 and a p-value < 0.05 compared to the control, and a Log2 fold change of ≥ 1.5 compared to the LasR+ group. Each box plot shows the metabolite levels in the LasR− group (green) and LasR+ group (red), represented by peak areas in arbitrary units. The percentage of LasR− strains producing the metabolite is indicated on each graph. An ANOVA followed by Tukey’s HSD post hoc test was used to determine significance in metabolite levels. *p < 0.05; **p < 0.005; ***p < 0.001; ****p < 0.0001, ns: non-significant.
P. aeruginosa can metabolize tryptophan through the oxidative kynurenine pathway, producing metabolites involved in Pseudomonas Quinolone Signal (PQS) synthesis and immunomodulatory functions26. In this study, two secondary metabolites of tryptophan metabolism were identified: 8-methoxykinurenic acid and formylkynurenine. When comparing LasR− to LasR+ strains, both metabolites showed different abundance with Log2 fold changes of 1.9 and p-values lower than 0.05 and were produced by more than 50% of the LasR− strains.
Hydroquinones are also considered inhibitors of biofilm formation and virulence, in particular against Staphylococcus aureus27. Figures 2 and 3 show the production of 2,5-di-tert-Butylhydroquinone by P. aeruginosa LasR− strains at significantly higher levels compared to LasR+ strains.
On the other hand, compounds identified in the LasR+ group that were more abundant than in the LasR− isolates were also analyzed (Supplemental Fig. 2). Phenazines, a secondary metabolite involved in bacterial pathogenesis, were detected, in particular phenazine and phenazine-2-carboxylic acid. Interestingly, both compounds were produced by all strains of the LasR+ group. Moreover, both metabolites exhibited large differences in abundances compared to the LasR− group, with fold changes of 4.1 and 7.9 respectively. Quorum sensing molecules were also identified in the LasR+ group, although different from the ones detected among LasR− strains, such as N-Acetylhomoserine lactones (AHL). These compounds regulate gene expression in Gram-negative bacteria and some of them are neutrophil chemoattractants28,29. Here we observed that Butyril-L-homoserine lactone was produced by 100% of the strains expressing a functional LasR protein with a significant different abundance compared to LasR− strains (4.2- Log2 fold change and p-value < 0.0001).
Unfortunately, most of the compounds produced by all strains in each group, which could serve as potential biomarkers for identifying the LasR phenotype, could not be identified. (Supplemental Fig. 3 and supplemental Table 3).
All together suggests an impact of the acquisition of lasR mutations on P. aeruginosa metabolism and virulence and reveals that some compounds could be markers of LasR− phenotype.
LasR contributes to the metabolic adaptation of P. aeruginosa throughout the course of infection
During chronic respiratory infection, P. aeruginosa undergoes metabolic adaptation to the CF respiratory tract environment, a process primarily attributed to genomic changes16. Although some general adaptative traits, such as increased metabolite usage, have been observed, universal adaptative traits in P. aeruginosa have not been identified16. To better understand the impact of the LasR phenotype on metabolism over the course of infection, we used a collection of 7 clonally related P. aeruginosa strains isolated from the same patient over 7 years of infection. PCA of untargeted metabolomics showed that differences on the global exometabolome occur over the course of the infection (Fig. 4B). The differences between strains are directly proportional to the time gap in which they were isolated. Furthermore, these differences may be partially attributed to the LasR phenotype, as strains with an intact lasR gene clustered more closely than that with a mutated lasR gene (Fig. 4).
Dendrogram and PCA score plot of the discovery data set from clonally related P. aeruginosa strains isolated from the same patient over 7 years of infection. (A) Species clustering represented as a dendrogram (distance measure used is Euclidean). (B) PCA score plot from P. aeruginosa strains isolated from the patient FQSE11. Strains with an intact lasR gene are represented in red squares while the strain with a mutated lasR gene is colored in green circle. Data represents the average PCA scores from triplicate samples. The samples were plotted using principal components 1 and 2 as coordinates.
To further explore the relationship between LasR expression and the production of compounds identified as potential biomarkers of LasR deficiency phenotype, we analyzed data from the dataset of these clonally related P. aeruginosa strains. The compounds hydroxyindoleacetic acid (HIAA) and formylkynurenine, previously identified as more abundant among the LasR− isolates compared to the LasR+ isolates (Figs. 2 and 3), were produced at significant higher levels only by the LasR− strain FQSE11-1010 compared to clonally related LasR+ strains isolated from the same patient (Fig. 5). In contrast, no significant differences were observed in the production of these compounds among LasR+ isolates from the same patient. These findings suggest that mutations in the lasR gene may drive the production of HIAA and formylkynurenine.
Relative abundance of LasR− associated exometabolome compounds in clonally related P. aeruginosa strains from a chronic infection over 7 years. Box plots of the compounds Formylkynurenine and HIAA. Each box plot shows the metabolite level produced by each strain from patient FQSE11, represented by peak areas in arbitrary units. Strains with an intact lasR gene are colored red while the strain with a mutated lasR gene is colored in green. An ANOVA followed by Tukey’s HSD post hoc test was used to determine significance in metabolite levels. Differences referred to the LasR− strain FQSE11-1010. **** p < 0.0001.
On the other hand, several compounds previously associated with the LasR+ group were detected in all strains from the patient FQSE11 carrying an intact lasR gene compared to the LasR deficient strain FQSE11-1010. Butyryl-L-homoserine lactone, N-Desmethyldiphenhydramine, (6E,8Z)-9-(7-Methyl-3 H-azepin-2-yl)-6,8-nonadien-3-one and Orphenadrine were produced at higher levels by the LasR+ isolates FQSE11-0603, 11–0304, 11–0205, 11-1006 and 11-1007 compared to the LasR− strain FQSE 11-1010 (Supplemental Fig. 4), suggesting that the mutation in the lasR abolished their production. Phenazine-2-carboxylic acid was also produced at significant levels by most of the LasR+ strains while not by the LasR− strain, confirming a relationship between its production and LasR expression (Supplemental Fig. 4).
Although these results are based on isolates from a single patient, they collectively suggest that the production of HIAA, formylkynurenine along with the production of Butyryl-L-homoserine lactone, N-Desmethyldiphenhydramine, (6E,8Z)-9-(7-Methyl-3 H-azepin-2-yl)-6,8-nonadien-3-one, orphenadrine and phenazine-2-carboxylic acid depends on the expression of LasR and may play a role in the metabolic adaptation of P. aeruginosa over the course of a respiratory infection.
Discovery of potential biomarkers for the LasR phenotype
To gain insight into the influence of LasR phenotype on the metabolism of P. aeruginosa, we used a loss-of-function/gain-of-function genetic approach. For this purpose, the FQSE11-1010 isolate, harboring a non-functional mutation in lasR gene, was complemented with the plasmid pMMB1 containing the functional lasR gene from its parental strain FQSE11-0603. The strain FQSE11-1010 complemented with the cloning vector pJPO4 was used as a control.
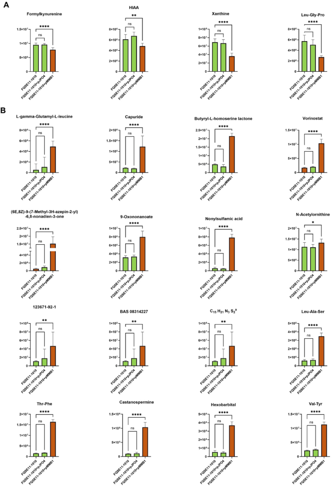
The discovery data set allowed us to identify compounds whose production increased significantly when the gene lasR was cloned in the LasR− deficient isolate. Xanthine, the tripeptide Leu-Gly-Pro, and the previously identified compounds formylkynurenine and HIAA were produced in significantly lower amounts by the complemented strain FQSE 11-1010 + pMMB1 compared to both the parental strain FQSE11-1010 and the strain complemented with the cloning vector (FQSE11-1010 + pJPO4). This indicates that the observed effect was specifically due to the lasR gene rather than the presence of the cloning vector (Fig. 6A).
Meanwhile, cloning the functional lasR gene in FQSE11-1010 led to a reduced abundance of several other compounds in the exometabolome (Supplemental Fig. 5). However, their identities remain unknown.
The analysis of the features identified by untargeted metabolomics also revealed compounds whose production increased when the strain FQSE11-1010 was complemented with a functional lasR gene. Among these features, we could identify several compounds (Fig. 6B), including L-gamma-glutamyl-L-leucine, capuride, butyryl-L-homoserine lactone, vorinostat and (6E,8Z)-9-(7-Methyl-3 H-azepin-2-yl)-6,8-nonadien-3-one, compounds identified in the previous analysis, all of them produced by most of LasR+ strains analyzed before.
Impact of lasRs gene complementation on the abundance of LasR-associated exometabolites in a LasR-deficient P. aeruginosa isolate. Box plots of identified metabolites exhibiting a Log2 fold change of ≥ 1.5 and a p-value < 0.05 compared to the control. Each box plot shows the metabolite levels for the LasR− strains FQSE11-1010 and FQSE11-1010 + pJPO4 and the LasR+ strain FQSE11-1010 + pMMB1, represented by peak areas in arbitrary units. (A) Identified metabolites with a higher expression when lasR gene is mutated. (B) Identified metabolites with a higher expression when lasR gene is functional. Differences are referred to the LasR− strain FQSE11-1010. An ANOVA followed by Tukey’s HSD post hoc test was used to determine statistical significance in metabolite levels. *p < 0.05; **p < 0.005; **** p < 0.0001. a4-butyl-3-(6-methyl-4,5,6,7-tetrahydro-1-benzothiophen-3-yl)-1 H-1,2,4-triazole-5, b2-[(6-Methyl-3,4-dihydrospiro[chromene-2,1’-cyclopentan]-4-yl)sulfanyl]-N-(2-phenylethyl)acetamide,c N-{[(2-Methyl-2-propanyl) oxy] carbonyl} isoleucylleucinamide, dN-[(5R,6R,9R)-5-methoxy-3,6,9-trimethyl-2-oxo-11-oxa-3,8-diazabicyclo[10.4.0]hexadeca-112,13,15-trien-14-yl]propenamide, e(8R,9R)-9-[[2,3-dihydro-1,4-benzodioxin-6-ylmethyl(methyl)amino]methyl]-6-[(2R)-1-hydroxypropan-2-yl]-8-methyl-10-oxa-1,6,14,15-tetrazabicyclo[10.3.0]pentadeca-12,14-dien-5-one, f N-(4-Butoxyphenyl)-6,8,10-triazaspiro[4.5]deca-6,9-diene-7,9-diamine.
Altogether, these results suggest that the suppression of compounds as L-gamma-glutamyl-L-leucine, capuride, butyryl-L-homoserine lactone, vorinostat and (6E,8Z)-9-(7-Methyl-3 H-azepin-2-yl)-6,8-nonadien-3-one, along with xanthine, Leu-Gly-Pro and formylkynurenine production, could serve as biomarkers for LasR− phenotype.
Discussion
The present study provides evidence of metabolic differences associated with the expression of the quorum sensing regulator LasR. Previous studies have suggested that the metabolome of P. aeruginosa weakly depends on the strain or genetic background30,31. However, our study, along with others, has shown that metabolic profiling is an effective method for exploring phenotype variations arising from gene mutations13.
LasR is a key regulator that activates the expression of numerous virulence factors. Several studies have demonstrated that variants of LasR emerge in chronically infected CF lungs and have been linked to disease progression6,7. Despite the clinical importance of the expression of this regulator, there is still limited understanding on the influence of LasR on the metabolism of P. aeruginosa. In this study, we have shown the metabolic correlation between the expression of several metabolites and the LasR phenotype.
We identified formylkynurenine and HIAA to be specific to LasR− phenotype as these compounds were produced at significantly higher levels compared to strains expressing LasR. These compounds are likely the result of differential processing of components in the artificial sputum medium (ASM)—which mimics the respiratory environment—by LasR+ and LasR− strains.
Formylkynurenine is an intermediate metabolite in the catabolism of tryptophan via the kynurenine pathway. Kynurenines are involved in inflammatory response, immunity and neurotransmission26,32,33,34. It has been demonstrated that high levels of kynurenines are found in patients with pulmonary fibrosis, either idiopatic or associated to primary Sjörgren syndrome. Moreover, recent research from Wang et al. have provided evidence that kynurenines could attenuate the loss of fibroblast functionality through the transcription factor aryl hydrocarbon receptor (AHR). However, in fibrotic microenvironment, the expression of AHR is usually repressed, which explains the elevated levels of kynurenines associated disease progression35.
In P. aeruginosa, the kynurenine pathway is critical to produce anthranilate, a precursor of PQS, or other secondary metabolites, as kynurenic acid, and it has been associated to an impaired outcome of the infection26. In fact, it has been suggested that infections caused by strains that express high levels of kynurenine pathway enzymes may disrupt the balance of the host’s tryptophan metabolism26, leading to a worsening of the infection. Our results align with all these observations, as LasR-deficient isolates - whose emergence is linked to CF disease impairment - exhibit increased kynurenine production. Thus, it is likely that these compounds may result from bacterial metabolism or from the host, as they have been detected in infections caused by non-related pathogens33,34. Indeed, Dewulf et al. detected high levels of tryptophan metabolites as kynurenine in urine samples of patients infected with another respiratory pathogen, SARS-CoV-233. They also found that urine levels of kynurenines were associated with disease severity and inflammation33.
Hydroxyindolacetic acid (HIAA) is also a catabolite in the tryptophan pathway. More specifically, HIAA is the primary metabolite of serotonin, a neurotransmitter derived from tryptophan. In this study, we have found higher levels of HIAA on lasR mutated strains. These findings align with the results of Tanaka et al. who reported significantly higher plasma levels of 5-HIAA in patients with sepsis than in healthy controls36. They also find an association between higher plasma levels of this metabolite and poorer clinical outcomes of sepsis and septic shock36. The measurement of HIAA using HPLC has already been established for clinical diagnosis, such as detecting carcinoid tumors. This suggests that HIAA measurement in patient samples, such as urine, sputum or plasma, could also be utilized for assessing P. aeruginosa diagnosis and outcomes.
Taken together, our study offers a preliminary proof-of-concept, highlighting the potential of quantitatively analyzing formylkynurenine and/or HIAA in samples from a well-characterized cohort of cystic fibrosis (CF) patients with chronic P. aeruginosa respiratory infections. Comparing the levels of these metabolites across patient samples (urine or sputum) may help determine whether they can serve as reliable biomarkers for detecting the emergence of lasR variants, which are associated with increased disease severity in CF.
In this study, we have also identified that mutations on lasR gene negatively affect the production of several compounds. As expected, we found the production of metabolites associated with the virulent phenotype at higher levels by LasR+ strains. Several homoserine lactones, C4-HSL and 3-oxo-C12-HSL, were identified. AHLs are important intracellular signaling molecules used by pathogens like P. aeruginosa to regulate virulent genes, whose biosynthesis and secretion depends on LasR. Therefore, this result is not surprising and aligns with findings by Depke et al., who also identified several AHLs among their P. aeruginosa virulent strains at higher levels compared to the avirulent strains31. Phenazines were also identified in this study. They have been shown to play a role in the formation of bacterial efflux pumps and depleting glutathione levels in the host, which disrupts the redox balance, leading to oxidative stress37. This imbalance can compromise the host’s cellular defense mechanisms, aiding pathogen’s capacity to cause an infection. Moreover, they can increase antibiotic tolerance38. Consequently, phenazine production is often associated with a more virulent phenotype. Supporting this, Depke et al.’ metabolomic study demonstrated that virulent P. aeruginosa strains produced higher levels of phenazines compared to avirulent strains31. Here we have demonstrated a significant difference in their production when compared LasR+ and LasR− strains, suggesting that their biosynthesis may be associated with LasR. However, the complemented strain FQSE11-1010 + pMMB1 did not restore the production of phenazine-2-carboxilic acid, suggesting the involvement of multiple genes in their production and secretion.
The connection between lasR genetic expression and the production of the metabolic compounds identified in this study offers a promising tool for diagnosing and monitoring respiratory infections caused P. aeruginosa. Notably, the emergence of LasR-deficient isolates during chronic respiratory infections has been linked to disease progression. By tracing the metabolic compounds associated with LasR expression in P. aeruginosa, it may become possible to enhance both the accuracy of diagnosis and the effectiveness of treatment strategies.
We acknowledge that this study presents certain limitations. First, our study was performed with a limited number of isolates and standardized to a single experimental condition. Larger-scale studies including a greater number of clinical isolates (LasR+ and LasR−) are needed to evaluate the robustness of the identified biomarkers. On the other hand, we did not account for host-pathogen interactions or the complexities of the in vivo environment, both of which can influence the pathogen’s global metabolome. To address this, we used a CF sputum artificial medium to simulate those conditions as closely as possible. Recent studies assessing the accuracy of P. aeruginosa infection models have shown that bacteria grown in artificial sputum media exhibit gene expression patterns that closely resemble those found in CF sputum samples, supporting the accuracy of our method39,40.
Despite the limitations, our work contributes to a better understanding of the bacterial metabolism in CF lung infections. We have highlighted the significance of the regulator LasR in modulating the biosynthesis and secretion of various compounds throughout the course of infection. Our results identified two metabolites from the tryptophan pathway, formylkynurenine and HIAA as potential biomarkers for diagnosing and predicting outcomes of P. aeruginosa chronic respiratory infections, along with the significant reduction in several other compounds. These findings could contribute to the development of novel therapies and management strategies for P. aeruginosa respiratory infections.
Methods
Bacterial strains
In this study, two distinct groups of P. aeruginosa clinical strains isolated from respiratory infections were used. The first group comprised 24 strains from ten different CF patients, representing a subset of a previously described larger collection41. For this study, the first (denoted as “Early, E”) and the last (denoted as “Late, L”) available clonally related isolate, collected at least 3 years apart, were selected. Additionally, five extra clones from patient FQSE11 were included. Detailed characteristics of the strains are provided in the supplemental Table 1.
The second set of 24 strains was collected from patients with acute respiratory infections, non-epidemiologically related42 (Supplemental Table 2).
Given that lasR espression may remain detectable even in non-functional variants7, all clinical isolates used in this study were classified as LasR functional (LasR+) or LasR non-functional (LasR−) strains based on their ability to cleave the human complement protein C5a (a phenotype previously demonstrated to be due to the expression of LasR)10 as well as their lasR DNA sequence. Supplemental Tables 1 and 2 include the positions and variants of the lasR DNA sequence that resulted in a LasR inactive phenotype.
In addition, LasR− strain FQSE11-1010 complemented with the functional lasR gene from the parental strain FQSE11-060310 or the cloning vector pJPO4 alone were used.
Sample preparation
Bacterial cells were grown in Luria Bertani (LB) broth overnight at 37 °C or LB supplemented with carbenicillin (100 µg/mL) when needed. Bacterial cells were then inoculated into artificial sputum medium, prepared as previously described43, at a dilution of 1:100 and the cultures were grown at 37 °C under shaking conditions (180 r.p.m.) using 250 mL flasks with 30.7 mm Versilic ® silicone caps. A control containing only artificial sputum medium was always included.
After 24 h of growing, 500 µL of each sample was filtered using 3 kDa cut-off filter (Merk Millipore) for 20 min at 12,000 ×g. Filtered samples representing the exometabolomes were subsequently stored at −80 °C until required for further use. We confirmed that preservation at − 80 °C for up to 2 weeks—the maximum duration any sample was stored—did not result in significant differences in the composition of the exometabolomes.
Metabolomics
Metabolite extraction was performed by diluting10 µL of the filtrate with 990 µL of a solution consisting of 95% water, 5% acetonitrile, and 0.1% formic acid.
A UHPLC system (Ultimate 3000, Thermo Fisher Scientific, Waltham, MA, USA) coupled with a Q-Exactive Orbitrap mass spectrometer (Thermo Fisher Scientific) and using a heated electrospray ionization (HESI) source was employed to record spectra in both positive and negative ionization modes. For chromatographic separation, untargeted metabolomics was conducted with a reversed-phase C18 core-shell column (100 × 2.1 mm, 1.6 μm; Luna Omega) from Phenomenex (Torrance, CA), with a C18 security guard ultracartridge (2.1 mm ID) placed in line with the main column.
The mobile phase consisted of (A) 0.1% formic acid in water and (B) 0.1% formic acid in acetonitrile, with a flow rate set to 0.2 mL/min. The gradient started at 5% solution B, which was maintained for 5 min, then increased to 55% over the next 5 min and held at 55% for an additional 6.5 min. Subsequently, B was reduced to 5% over 0.5 min and held constant for the next 13 min. The injection volume used was 5 µL.
For MS and MS/MS data acquisition, the ion transfer capillary temperature, spray voltage, sheath gas flow rate, auxiliary gas flow rate, and S-lens RF level were set as follows: 350 °C, 3.9 kV in positive mode and 3.1 kV in negative mode, 35 arbitrary units (au), 10 au, and 55 au, respectively. A full-scan acquisition was performed for both positive and negative ionization modes across an 80–600 m/z range with a resolution of 70,000. MS/MS scans used a normalized collisional energy of 50% and a resolution of 17,500, selecting the top five ions for MS/MS analysis with a dynamic exclusion of 3 s.
Data analysis
Results are based on a minimum of three analytical replicates from three independent experiments (biological replicates from separate isolate cultures). Data processing and acquisition for LC-MS and LC-MS/MS were carried out using Xcalibur 4.1, FreeStyle 1.8 SP2. All raw mass spectrometry data (.raw files) were imported and processed using Thermo Scientific Compound Discoverer software (version 3.2) following a modified version of the untargeted metabolomics workflow “Untargeted Metabolomics with Statistics Detect Unknowns”. Key workflow steps included retention time alignment, unknown compound detection, compound grouping, elemental composition prediction, background subtraction using blank samples, gap filling, and compound identification using spectral libraries and online databases. The specific thresholds and parameters used for each step (e.g., mass and RT tolerances, peak intensity thresholds, alignment model) are detailed in supplemental Table 4). Compound identification was performed via mzCloud (ddMS2 data and spectral similarity search), ChemSpider (predicted formula or accurate mass), and the mzLogic algorithm, which ranked ChemSpider hits. The ChemSpider tool was configured to use the following databases: BioCyc, Human Metabolome Database (HMDB), and KEGG.
Statistical analysis (ANOVA followed by Tukey’s HSD post hoc test) was conducted on the normalized peak areas (Constant Median method) across all biological replicates for each detected compound. No FDR correction was applied by the software; however, p-values were manually curated to reduce the likelihood of false positives. The principal component analysis (PCA) and hierarchical clustering analysis were conducted using Perseus version 1.6.15 software44. All other figures and statistical graphs were generated using GraPhad Prism version 10.4.2.
The workflow configuration closely followed established protocols for untargeted metabolomics using Compound Discoverer, as described by Pellacani et al.45 and Chernonosov et al.46, with minor adjustments tailored to the dataset.
Data availability
All data generated or analyzed during this study are included in this manuscript (and its supplementary information files).
References
Lyczac, J. B., Cannon, C. L. & Pier, G. B. Lung infections associated with cystic fibrosis. Clin. Microbiol. Rev. 15 (2), 194–222. https://doi.org/10.1128/CMR.15.2.194-222 (2002).
Nguyen, D. & Singh, P. K. Evolving stealth: genetic adaptation of Pseudomonas aeruginosa during cystic fibrosis infections. Proc. Natl. Acad. Sci. U S A. 103 (22), 8305–8306. https://doi.org/10.1073/pnas.0602526103 (2006).
Smith, E. E. et al. Genetic adaptation by Pseudomonas aeruginosa to the airways of cystic fibrosis patients. Proc. Natl. Acad. Sci. U S A. 103 (22), 8487–8492. https://doi.org/10.1073/pnas.0602138103 (2006).
Winstanley, C., O’Brien, S. & Brockhurst, M. A. Pseudomonas aeruginosa evolutionary adaptation and diversification in cystic fibrosis chronic lung infections. Trends Microbiol. 24 (5), 327–337. https://doi.org/10.1016/j.tim.2016.01.008 (2016).
Marvig, R. L., Sommer, L. M., Molin, S. & Johansen, H. K. Convergent evolution and adaptation of Pseudomonas aeruginosa within patients with cystic fibrosis. Nat. Genet. 47 (1), 57–64. https://doi.org/10.1038/ng.3148 (2015).
Hoffman, L. R. et al. Pseudomonas aeruginosa LasR mutants are associated with cystic fibrosis lung disease progression. J. Cyst. Fibros. 8 (1), 66–70. https://doi.org/10.1016/j.jcf.2008.09.006 (2009).
Feltner, J. B. et al. LasR variant cystic fibrosis isolates reveal an adaptable Quorum-Sensing hierarchy in Pseudomonas aeruginosa. mBio 7 (5), e01513–e01516. https://doi.org/10.1128/mBio.01513-16 (2016).
LaFayette, S. L. et al. Cystic fibrosis–adapted Pseudomonas aeruginosa quorum sensing LasR mutants cause hyperinflammatory responses. Sci. Adv. 1 (6), e1500199. https://doi.org/10.1126/sciadv.1500199 (2015).
Hennemannid, L. C. et al. LasR-deficient Pseudomonas aeruginosa variants increase airway epithelial mICAM-1 expression and enhance neutrophilic lung inflammation. PLoS Pathog. https://doi.org/10.1371/journal.ppat.1009375 (2021).
Mateu-Borrás, M. et al. Pseudomonas aeruginosa adaptation in cystic fibrosis patients increases C5a levels and promotes neutrophil recruitment. Virulence https://doi.org/10.1080/21505594.2022.2028484 (2022).
Gao, P. & Xu, G. Mass-spectrometry-based microbial metabolomics: recent developments and applications. Anal. Bioanal Chem. 407 (3), 669–680. https://doi.org/10.1007/s00216-014-8127-7 (2015).
Grim, C. M., Luu, G. T. & Sanchez, L. M. Staring into the void: demystifying microbial metabolomics. FEMS Microbiol. Lett. 366 (11), fnz135. https://doi.org/10.1093/femsle/fnz135 (2019).
Liu, J. et al. Nontargeted metabolomics reveals differences in the metabolite profiling among methicillin-resistant and methicillin-susceptible Staphylococcus aureus in response to antibiotics. Mol. Omics. 18 (10), 948–956. https://doi.org/10.1039/d2mo00229a (2022).
Kozlowska, J. et al. A relationship between pseudomonal growth behaviour and cystic fibrosis patient lung function identified in a metabolomic investigation. Metabolomics https://doi.org/10.1007/s11306-013-0538-5 (2013).
Mielko, K. A. et al. Metabolomic studies of Pseudomonas aeruginosa. World J. Microbiol. Biotechnol. 35 (11), 178. https://doi.org/10.1007/s11274-019-2739-1 (2019).
Behrends, V. et al. Metabolic adaptations of Pseudomonas aeruginosa during cystic fibrosis chronic lung infections. Environ. Microbiol. 15 (2), 398–408. https://doi.org/10.1111/j.1462-2920.2012.02840.x (2013).
Jørgensen, K. M. et al. Diversity of metabolic profiles of cystic fibrosis Pseudomonas aeruginosa during the early stages of lung infection. Microbiol. (Reading). 161 (7), 1447–1462. https://doi.org/10.1099/mic.0.000093 (2015).
Patti, G. J., Yanes, O. & Siuzdak, G. Innovation, metabolomics: the apogee of the omics trilogy. Nat. Rev. Mol. Cell. Biol. 13 (4), 263–269. https://doi.org/10.1038/nrm3314 (2012).
Fiehn, O. Metabolomics -- the link between genotypes and phenotypes. Plant. Mol. Biol. 48 (1–2), 155–171 (2002).
Guijas, C., Montenegro-Burke, J. R., Warth, B., Spilker, M. E. & Siuzdak, G. Metabolomics activity screening for identifying metabolites that modulate phenotype. Nat. Biotechnol. 36 (4), 316–320. https://doi.org/10.1038/nbt.4101 (2018).
Almeida, N. F. et al. PAMDB, a multilocus sequence typing and analysis database and website for plant-associated microbes. Phytopathology 100 (3), 208–215. https://doi.org/10.1094/PHYTO-100-3-0208 (2010).
Kim, H. S., Lee, S. H., Byun, Y. & Park, H. D. 6-Gingerol reduces Pseudomonas aeruginosa biofilm formation and virulence via quorum sensing Inhibition. Sci. Rep. 5, 8656. https://doi.org/10.1038/srep08656 (2015).
Kumar, N. V., Murthy, P. S., Manjunatha, J. R. & Bettadaiah, B. K. Synthesis and quorum sensing inhibitory activity of key phenolic compounds of ginger and their derivatives. Food Chem. 159, 451–457. https://doi.org/10.1016/j.foodchem.2014.03.039 (2014).
Qian, J., Li, Z., Wang, J., Lin, Y. & Yu, Y. 6-gingerol and its derivatives inhibit Helicobacter pylori-induced gastric mucosal inflammation and improve Gastrin and somatostatin secretion. Front. Microbiol. 15, 1451563. https://doi.org/10.3389/fmicb (2024).
Frei, R., Breitbach, A. S. & Blackwell, H. E. 2-aminobenzimidazole derivatives strongly inhibit and disperse Pseudomonas aeruginosa biofilms. Angew Chem. Int. Ed. Engl. 51 (21), 5226–5229. https://doi.org/10.1002/anie.201109258 (2012).
Bortolotti, P. et al. Tryptophan catabolism in Pseudomonas aeruginosa and potential for inter-kingdom relationship. BMC Microbiol. 16 (1), 137. https://doi.org/10.1186/s12866-016-0756-x (2016).
Kim, S., Lee, J. H., Kim, Y. G., Tan, Y. & Lee, J. Hydroquinones inhibit biofilm formation and virulence factor production in Staphylococcus aureus. Int. J. Mol. Sci. 23 (18), 10683. https://doi.org/10.3390/ijms231810683 (2022).
Smith, R. S., Harris, S. G., Phipps, R. & Iglewski, B. The Pseudomonas aeruginosa quorum-sensing molecule N-(3-oxododecanoyl) Homoserine lactone contributes to virulence and induces inflammation in vivo. J. Bacteriol. 184 (4), 1132–1139. https://doi.org/10.1128/jb.184.4.1132-1139.2002 (2002).
Zimmermann, S. et al. Induction of neutrophil chemotaxis by the quorum-sensing molecule N-(3-oxododecanoyl)-L-homoserine lactone. Infect. Immun. 74 (10), 5687–5692. https://doi.org/10.1128/IAI.01940-05 (2006).
Frimmersdorf, E., Horatzek, S., Pelnikevich, A., Wiehlmann, L. & Schomburg, D. How Pseudomonas aeruginosa adapts to various environments: A metabolomic approach. Environ. Microbiol. 12 (6), 1734–1747. https://doi.org/10.1111/j.1462-2920.2010.02253.x (2010).
Depke, T., Thöming, J. G., Kordes, A., Häussler, S. & Brönstrup, M. Untargeted LC-MS metabolomics differentiates between virulent and avirulent clinical strains of Pseudomonas aeruginosa. Biomolecules 10 (7), 1041. https://doi.org/10.3390/biom10071041 (2020).
Mor, A., Tankiewicz-Kwedlo, A., Ciwun, M., Lewkowicz, J. & Dariusz, P. Kynurenines as a novel target for the treatment of inflammatory disorders. Cells 13 (15), 1259. https://doi.org/10.3390/cells13151259 (2024).
Dewulf, J. P. et al. Urine metabolomics links dysregulation of the tryptophan-kynurenine pathway to inflammation and severity of COVID-19. Sci. Rep. 12 (1), 9959. https://doi.org/10.1038/s41598-022-14292-w (2022).
Zhang, J. et al. 5-HT drives mortality in sepsis induced by cecal ligation and puncture in mice. Mediators Inflamm. 2017, 6374283. https://doi.org/10.1155/2017/6374283 (2017).
Wang, Y. et al. Kynurenine acts as a signaling molecule to attenuate pulmonary fibrosis by enhancing the AHR-PTEN axis. J. Adv. Res. https://doi.org/10.1016/j.jare.2024.06.017:S2090-1232(24)00254-6 (2024).
Tanaka, T. et al. Impact of plasma 5-hydroxyindoleacetic acid, a serotonin metabolite, on clinical outcome in septic shock, and its effect on vascular permeability. Sci. Rep. 11 (1), 14146. https://doi.org/10.1038/s41598-021-93649-z (2021).
Guttenberger, N., Blankenfeldt, W. & Breinbauer, R. Recent developments in the isolation, biological function, biosynthesis, and synthesis of phenazine natural products. Bioorg. Med. Chem. 25 (22), 6149–6166. https://doi.org/10.1016/j.bmc.2017.01.002 (2017).
Schiessl, K. T. et al. Phenazine production promotes antibiotic tolerance and metabolic heterogeneity in Pseudomonas aeruginosa biofilms. Nat. Commun. 10 (1), 762. https://doi.org/10.1038/s41467-019-08733-w (2019).
Lewin, G. R. et al. Application of a quantitative framework to improve the accuracy of a bacterial infection model. Proc. Natl. Acad. Sci. U S A. 120 (19), e2221542120. https://doi.org/10.1073/pnas.2221542120 (2023). Epub 2023.
Duncan, R. P. et al. Improvement of a mouse infection model to capture Pseudomonas aeruginosa chronic physiology in cystic fibrosis. Proc. Natl. Acad. Sci. U S A. 121 (33), e2406234121. https://doi.org/10.1073/pnas.2406234121 (2024).
López-Causapé, C. et al. Clonal dissemination, emergence of mutator lineages and antibiotic resistance evolution in Pseudomonas aeruginosa cystic fibrosis chronic lung infection. PLoS ONE. 8 (8), e71001 (2013).
Barbier, M. et al. Novel phosphorylcholine-containing protein of Pseudomonas aeruginosa chronic infection isolates interacts with airway epithelial cells. J. Infect. Dis. 197 (3), 465–473 (2008). 10.1086/525048.
Aiyer, A. & Manos, J. The use of artificial sputum media to enhance investigation and subsequent treatment of cystic fibrosis bacterial infections. Microorganisms 10 (7), 1269. https://doi.org/10.3390/microorganisms10071269 (2022).
Tyanova, S. et al. The perseus computational platform for comprehensive analysis of (prote)omics data. Nat. Methods 13, 731–740 (2016).
Pellacani, S. et al. Comparative analysis of features extraction protocols for LC-HRMS untargeted metabolomics in mountain cheese ‘identitation’. Microchem. J. 207, 111863 (2024).
Chernonosov, A. A. et al. Untargeted plasma metabolomic profiling in patients with depressive disorders: A preliminary study. Metabolites 14, 110 (2024).
Author information
Authors and Affiliations
Contributions
S.A.S and M.M.B conceived and designed the experiments. M.T.G.B performed most of the experiments. M.T.G.B, R.M.G, A.G.A., A.D.S. participated in experimentation and data acquisition. M.T.G.B, R.M.G, B.M., S.A.S, and M.M.B analyzed the experimental data. S.A.S and M.M.B wrote the manuscript. All authors participated in the review of the manuscript.
Corresponding author
Ethics declarations
Competing interests
The authors declare no competing interests.
Ethics statement
The strains were kindly provided by Antonio Oliver and the Hospital Son Espases. All clinical isolates used were obtained from a preexisting collection recovered over years from routine cultures and the study does not include patients’ data. All methods to obtain the strains were carried out in accordance with relevant guidelines and regulations and informed consent was obtained from all subjects and/or their legal guardian(s). This study was approved by the Research Committee of Hospital Son Espases.
Additional information
Publisher’s note
Springer Nature remains neutral with regard to jurisdictional claims in published maps and institutional affiliations.
Electronic supplementary material
Below is the link to the electronic supplementary material.
Rights and permissions
Open Access This article is licensed under a Creative Commons Attribution-NonCommercial-NoDerivatives 4.0 International License, which permits any non-commercial use, sharing, distribution and reproduction in any medium or format, as long as you give appropriate credit to the original author(s) and the source, provide a link to the Creative Commons licence, and indicate if you modified the licensed material. You do not have permission under this licence to share adapted material derived from this article or parts of it. The images or other third party material in this article are included in the article’s Creative Commons licence, unless indicated otherwise in a credit line to the material. If material is not included in the article’s Creative Commons licence and your intended use is not permitted by statutory regulation or exceeds the permitted use, you will need to obtain permission directly from the copyright holder. To view a copy of this licence, visit http://creativecommons.org/licenses/by-nc-nd/4.0/.
About this article
Cite this article
García-Barceló, M.T., Gomila, R.M., González-Alsina, A. et al. Metabolomic profiling reveals unique markers for Pseudomonas aeruginosa LasR deficiency. Sci Rep 15, 27582 (2025). https://doi.org/10.1038/s41598-025-13172-3
Received:
Accepted:
Published:
Version of record:
DOI: https://doi.org/10.1038/s41598-025-13172-3










