Fig. 3
From: HPV DNA screening and vaccination strategies in Tunisia

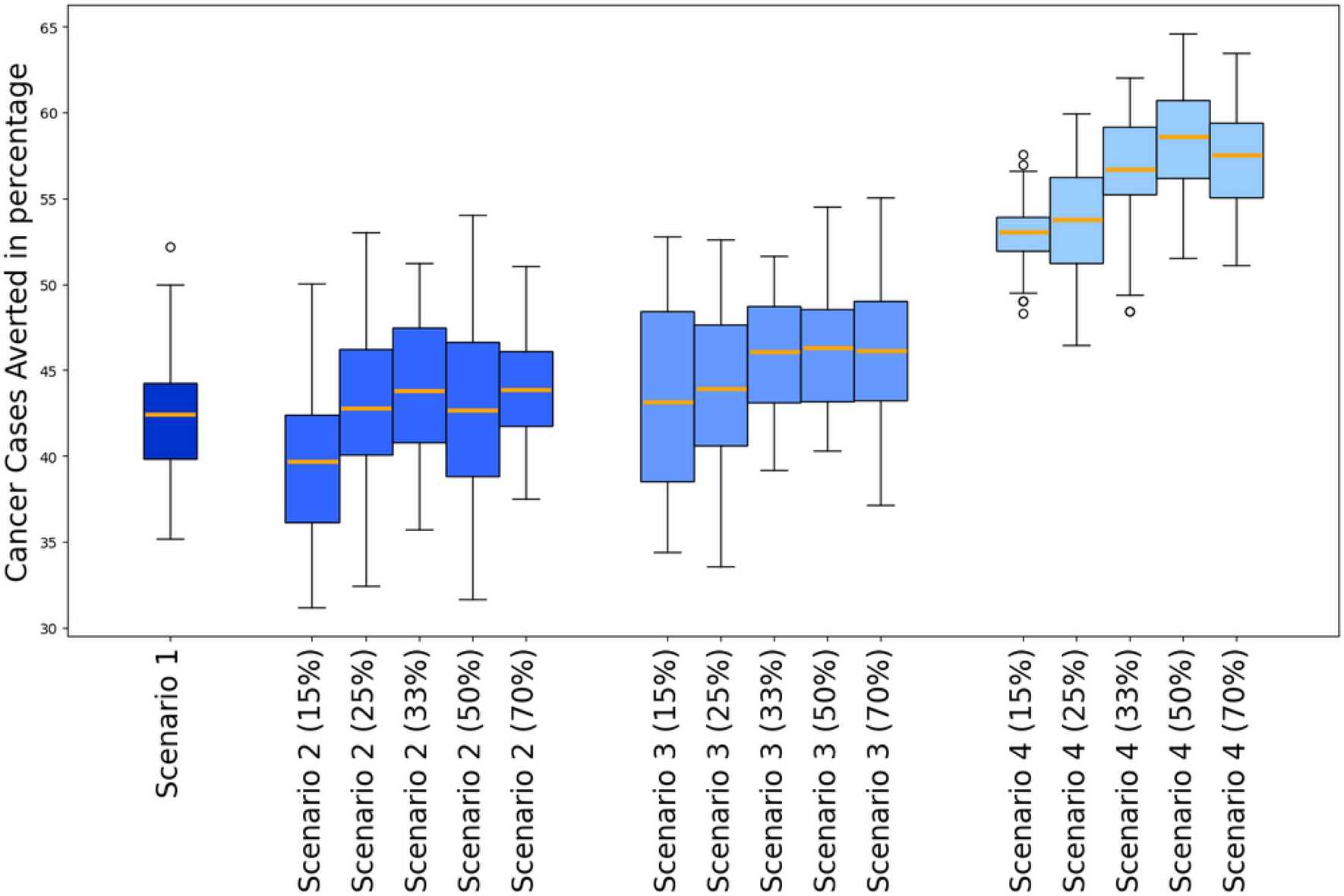
The figure presents the cumulative cancer cases averted percentage for each scenario compared to the baseline scenario. Error bars are the 90th and 10th percentile, boxes are the 75th and 25th percentiles, horizontal lines in each box is the mean. Scenario 1 is maintaining the current screening strategy coupled with vaccination; Scenario 2 is introducing the HPV DNA test at a frequency of one screening during a lifetime at the age between 35 and 40, coupled with vaccination; Scenario 3 is introducing the HPV DNA test at a frequency of two screenings during a lifetime spaced 5 years apart at the age between 35 and 45, coupled with vaccination; Scenario 4 is introducing HPV DNA test at a frequency of every 5 years for women aged between 35 and 60, coupled with vaccination.