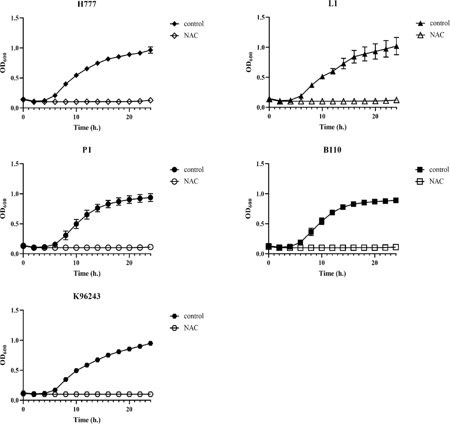
Fig. 6

Effect of NAC on the growth of B. pseudomallei H777, L1, P1, B110, and K96243. The presence of 15 mM NAC in LB culture of B. pseudomallei H777, L1, P1, B110, and K96243. The effect of NAC on bacterial growth was monitored at OD600 over a 24-h period. Points and denote the mean ± SD from eight replicates of three independent experiments.