Fig. 13
From: Impact of biomarkers on carotid artery disease and stroke

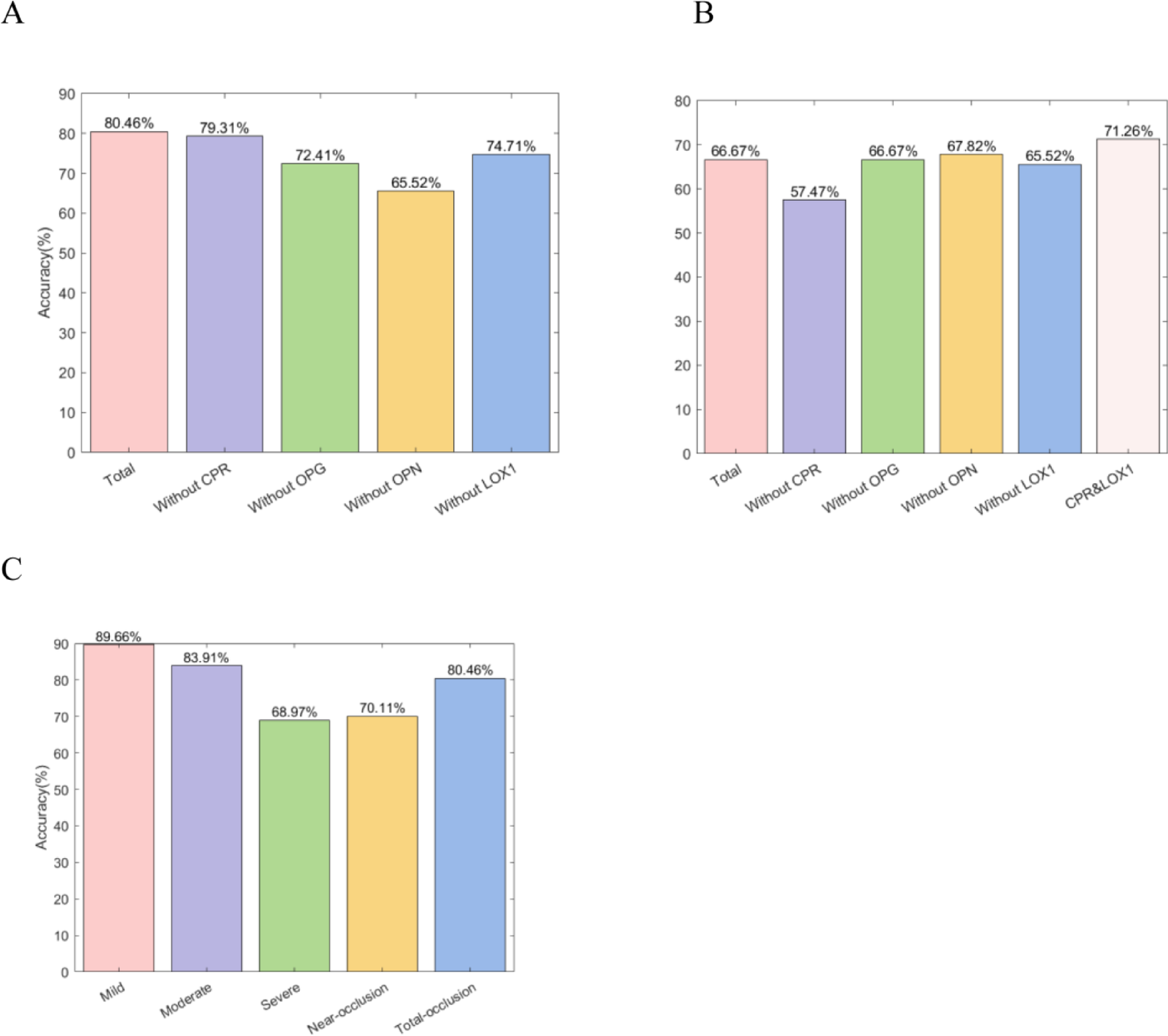
Support vector machine results. (A) Model accuracy by biomarker exclusion. This bar graph displays the predictive accuracy of a model for assessing carotid artery occlusion risk, both with all biomarkers included and with the exclusion of specific biomarkers one at a time. The “Total” bar represents the model with all biomarkers included, achieving an accuracy of 80.46%. The subsequent bars show the accuracy when each biomarker [C-reactive protein (CRP), osteoprotegerin (OPG), osteopontin (OPN), and lectin-like oxidized low-density lipoprotein receptor 1 (LOX1)] is excluded, illustrating their individual contributions to the model’s predictive capability. (B) Model accuracy enhancement by combining biomarkers. This bar graph illustrates the model’s accuracy in predicting carotid artery occlusion when combining certain biomarkers. The “Total” bar indicates the model’s baseline accuracy. The accuracy is recalculated excluding individual biomarkers such as CRP, OPG, and LOX1. The last bar represents a significant improvement when combining CRP and LOX1. (C) Model accuracy across stenosis severity levels. This bar graph shows the accuracy of the predictive model across different severity levels of carotid artery stenosis. The model’s accuracy is highest in mild stenosis conditions and decreases as the severity of stenosis increases.