Abstract
Stroke poses a significant public health challenge, especially in China, where geographical disparities in incidence rates suggest environmental, genetic, and lifestyle influences on stroke risk. Traditional diagnostic methods, while effective, have limitations that can hinder timely treatment. This study investigated the clinical significance and diagnostic utility of the biomarkers C-reactive protein (CRP), osteopontin (OPN), osteoprotegerin (OPG), and lectin-like oxidized low-density lipoprotein receptor 1 (LOX1) in relation to atherosclerosis and stroke, aiming to enhance early diagnosis and treatment strategies. In this retrospective analysis of 156 patients with arterial stenosis leading to ischemic stroke, data on medical history, lifestyle, serum markers, and comorbidities were collected. Carotid artery stenosis was evaluated using Doppler ultrasound, and the plaque stability and stenosis degree were categorized for analysis. Biomarker levels were measured and analyzed using binary logistic regression and support vector machine optimization models to explore their correlation with stroke. Our findings indicate nuanced roles for CRP, OPN, OPG, and LOX1 in stroke risk, with CRP and OPG acting as protective factors against carotid artery occlusion, and OPN and LOX1 presenting as risk factors. This study underscores the complexity of atherosclerosis and highlights potential therapeutic targets. By elucidating the associations of these biomarkers with atherosclerosis leading to stroke, this study contributes to a better understanding of stroke etiology and opens avenues for the development of more effective diagnostic tools and treatment protocols. Further research, including longitudinal studies and clinical trials, is essential to confirm these findings and to explore their therapeutic implications.
Similar content being viewed by others
Introduction
Stroke represents a significant public health challenge globally. In China, the burden of stroke is particularly pronounced, with the following age-standardized rates: prevalence, 1114.8 per 100,000 person-years; incidence, 246.8 per 100,000 person-years; and mortality, 114.8 per 100,000 person-years1,2. These findings highlight the substantial impact of stroke on individuals, healthcare systems, and the economy. An interesting aspect of stroke in China is the geographical disparity in incidence rates, with the northern regions exhibiting higher frequencies than the southern areas. This variation suggests the influence of environmental, genetic, and lifestyle factors on stroke risk. Lifestyle choices, such as smoking and alcohol consumption, as well as pre-existing health conditions like hypertension, diabetes, dyslipidemia, and atrial fibrillation are potential risk factors3,4,5,6,7. Currently, the diagnosis of stroke heavily relies on imaging techniques, including computed tomography and magnetic resonance imaging, which assess the extent of atherosclerosis in the brain or other arteries8,9,10,11. However, these diagnostic methods are not without limitations. Typically, imaging is conducted after the onset of clinical symptoms, potentially narrowing the window for effective treatment. This delay is critical in the context of stroke, a condition characterized by a rapid progression and a short disease course. Furthermore, the complexity and time-consuming nature of imaging procedures, along with their high demand for medical resources, pose challenges for large-scale and rapid screening, especially during peak incidence periods of the autumn and winter.
In light of these challenges, there is growing interest in the exploration of blood biomarkers as tools for the diagnosis and prognosis of stroke. Biomarkers such as osteoprotegerin (OPG), osteopontin (OPN), lectin-like oxidized low-density lipoprotein receptor 1 (LOX1), and C-reactive protein (CRP) have emerged as potential indicators of stroke risk and severity12,13. While CRP has been established as a significant predictor of cerebrovascular diseases14the predictive value of OPG, OPN, and LOX1 for stroke remains to be conclusively determined15,16,17.
Therefore, this study aimed to investigate the associations between CRP, OPN, OPG, and LOX1 levels and the severity of atherosclerosis in stroke patients, as well as to determine whether these biomarkers could help identify patients at higher risk. By analyzing clinical data and imaging findings from 156 patients with varying degrees of stroke, we evaluated the potential of these biomarkers for stroke classification and early risk assessment. Using logistic regression analysis and establishing a predictive model, we sought to provide a scientific reference for the early diagnosis and treatment of stroke.
Methods
Study design and participants
This study involving human participants was in accordance with the ethical standards of the institutional and national research committee and with the 1964 Helsinki Declaration and its later amendments or comparable ethical standards. This observational study was approved by the Ethics Committee of the First Hospital of Jilin University (No. 2019 − 272). Informed consents were obtained from all individual participants. The data from patients who experienced arterial stenosis leading to ischemic stroke were retrospectively analyzed. Initially, 183 patients were considered for this study. However, due to ineligible blood samples or data loss, the final sample comprised 156 patients. Human specimens were obtained from the Department of Biobank, Division of Clinical Research, The first hospital of Jilin University. The inclusion criteria consisted of a confirmed diagnosis of carotid artery stenosis through imaging, with no restrictions on age, sex, or race. Exclusion criteria included patients without a complete set of data, those who declined to participate, and patients with other neurological disorders that could confound the outcome measures. The flowchart of enrollment is presented in Supplementary Fig. 1.
Data collection
The medical history, lifestyle factors, and medication usage of the participants were documented. The collected data included basic demographic information (age and sex), lifestyle factors (smoking status, alcohol consumption, and body mass index [BMI]), routine serum markers (triglycerides [TG], total cholesterol [TC], low-density lipoprotein [LDL], and high-density lipoprotein [HDL]), and history of comorbidities (diabetes mellitus, hypertension, hyperlipidemia, coronary heart disease, previous stroke, and myocardial infarction). Medication history covered the use of antihypertensive drugs, lipid-lowering drugs, and antiplatelet agents. All serum samples were collected after the patients were diagnosed with carotid artery disease and before surgery. Serum was collected by centrifugation and stored at −80 °C until use. The OPN, OPG, and LOX1 levels in the serum were measured using enzyme-linked immunosorbent assay kits purchased from Boster Biological Technology (Wuhan, China) and Elabscience Biotechnology (Wuhan, China). The CPR levels were obtained from the patient’s current hospitalization record. The levels of biomarkers, including OPG, OPN, LOX1, and CRP, were recorded. These indicators were measured using standardized laboratory procedures, which were conducted in a blinded manner to minimize bias.
Carotid artery evaluation
Doppler ultrasound was used to assess carotid artery stenosis and plaque stability, performed by experienced radiologists blinded to the patients’ clinical details to minimize bias. As a crucial imaging tool for evaluating stenosis severity and preoperative planning for carotid endarterectomy, carotid ultrasound allowed for a comprehensive assessment of plaque characteristics, blood flow dynamics, and overall vascular health. The ultrasound evaluation included the common carotid artery from its origin to approximately 1–2 cm before the bifurcation; the carotid bifurcation, which is the most common site for plaque formation, the internal carotid artery (ICA) from its bulb region to the proximal extracranial segment (typically 2–3 cm); and the external carotid artery, differentiated from the ICA based on branching patterns and flow characteristics.
Plaque stability was evaluated based on the morphology, echogenicity, and hemodynamic parameters: (1) Smooth plaques were considered stable, while irregular or ulcerated plaques were associated with a higher risk of rupture. The fibrous cap was also examined, with caps thinner than 0.6 mm or ruptured caps classified as high-risk. (2) Hypoechoic or heterogeneous plaques often indicated lipid cores or intraplaque hemorrhage (vulnerable plaques), whereas hyperechoic or calcified plaques were generally more stable. (3) Flow disturbances, including spectral broadening and turbulent flow patterns, suggested plaque instability. High-risk plaques were often located at the carotid bifurcation or proximal ICA due to elevated shear stress in these regions. Additionally, an intima-media thickness ≥ 1.5 mm was defined as plaque formation, with an increased intima-media thickness associated with atherosclerosis progression.
Carotid stenosis severity was categorized based on established criteria: (1) Normal: peak systolic velocity (PSV) < 125 cm/s, no detectable plaque, laminar flow; (2) Mild (< 50%): PSV < 125 cm/s, presence of plaque but no significant acceleration; (3) Moderate (50–69%): PSV 125–230 cm/s, evidence of flow acceleration and spectral broadening; (4) Severe (≥ 70%): PSV > 230 cm/s, ICA/common carotid artery/PSV ratio > 4.0, post-stenotic turbulence; (5) Near-total occlusion (≥ 99%): minimal detectable flow (“string sign”), indicating a nearly closed lumen; (6) Total occlusion: no detectable flow, with the lumen completely obstructed by plaque or thrombus. For this study, stenosis was classified into five categories: mild (< 50%), moderate (50–69%), severe (70–99%), near-total occlusion (> 99%), and total occlusion. High-risk (unstable) plaques were characterized by hypoechogenicity, ulcerations, thin fibrous caps, neovascularization, and significant stenosis (PSV > 230 cm/s), while low-risk (stable) plaques exhibited hyperechogenicity, smooth surfaces, predominant calcification, and no significant flow disturbances.
Data analysis
For this observational study, the outcomes were dichotomized for logistic analysis as follows: the carotid artery plaque type was categorized into a stable or unstable plaque; based on the clinical treatment method, the stenosis outcome was divided into complete occlusion or other groups; and according to the type of stenosis, subtotal stenosis, and complete occlusion were grouped, with the rest as another group. The baseline continuous variables were presented as medians (interquartile ranges), and the categorical variables were displayed as counts and percentages (n, %). The patients were stratified into quartiles based on the levels of serum biomarkers, including CRP, OPN, OPG, and LOX1. The baseline characteristics across these quartiles were noted and compared.
For continuous variables, generalized linear regression models were employed to obtain P-values for the trend tests. Categorical variables were analyzed using the Chi-squared test or Fisher’s exact test, as appropriate. Logistic regression models were utilized to explore the associations between the four serum biomarkers and carotid artery stenosis as well as plaque stability, adjusting for confounders including sex, age, smoking status, alcohol consumption, hypertension, diabetes, coronary artery disease, history of myocardial infarction, history of stroke, and use of antihypertensive, lipid-lowering, and antiplatelet medications. Lipid levels, including TC, TG, HDL, and LDL, were also included as covariates (categorical variables). The classification method is provided in Supplementary Table 1. For analytical convenience, confounding factors such as age and lipid levels were categorized. Age was dichotomized at 60 years, and lipid levels were classified according to the guidelines for the management of dyslipidemia (Supplementary Table 1).
Statistical analysis
All statistical analyses were conducted using SPSS version 27.0. A two-tailed P-value of less than 0.05 was considered statistically significant.
Support vector machine (SVM) optimization model
To make a reasoned diagnostic distinction, machine learning algorithms for data fitting were applied. The SVM is a classifier defined by a maximum-margin hyperplane in the feature space, representing a supervised learning method known for its sparsity and robustness. It seeks to enhance the generalization of learning outcomes by finding the minimal structured risk, thereby achieving reliable statistical patterns. The fundamental principle involves using kernel functions to map low-dimensional data into a high-dimensional space. Given the class labels of training samples, it determines the mapping relationship between samples and their classes. By adopting the principle of structural minimization, an optimal hyperplane is established as the decision surface to maximize the separation of positive and negative samples, thus predicting the category of new samples. Consequently, the performance of SVM is heavily dependent on the choice of kernel function.
The SVM model exhibits several unique advantages in terms of handling small sample sizes, high-dimensional pattern recognition, and nonlinear issues, as illustrated in the model schematic (Fig. 1). It excels in performing nonlinear classification by employing various kernel functions to map input data into higher-dimensional spaces where linear separation is possible. The common kernel functions include:
Polynomial Kernel:
Radial Basis Function Kernel:
Laplacian Kernel:
Sigmoid Kernel:
Given training samples (xi,yi), where xi represents the input vector and yi represents the output vector (class), the SVM model aims to find the optimal separating hyperplane. This involves constructing an objective function with a nonlinear mapping φ(x), optimizing for the best separation. The objective function, represented as Eq. 5, combines the weight coefficient (W) and the bias (b) to define the separation.
Under the assumption that training samples can be linearly separated with a certain degree of precision, the optimal equation, as shown in Eq. 6, is derived. Here, Q denotes the optimization goal, C is the penalty factor, β1 and β2 are the slack variables, and γ is the precision parameter.
The objective function is further refined using the Lagrange function (Eq. 7), incorporating the Lagrangian multipliers αi and αi* and the kernel function K(xi,yi). This approach allows the SVM model to efficiently project the data structure into a high-dimensional space to identify the most effective classification plane.
Results
Clinical characteristics associated with CRP, OPN, OPG, and LOX1 levels
The baseline clinical parameters were summarized for 156 patients diagnosed with carotid artery stenosis, categorized according to the CRP quartile. Compared to patients with lower CRP levels (< 3.91 mg/L), those with the highest CRP levels (≥ 3.91 mg/L) had lower HDL levels (P < 0.05, Supplementary Table 2). Additionally, higher CRP levels were correlated with higher LOX1 levels (P < 0.05, Supplementary Table 2). Furthermore, the degree of stenosis, classified as subtotal stenosis or total occlusion, was significantly associated with the CRP quartile in patients diagnosed with carotid artery stenosis (P < 0.05, Supplementary Table 2). Notably, patients with the lowest CRP levels (< 1.43 mg/L) had a significantly higher proportion of subtotal stenosis or total occlusion compared to the other CRP level groups.
The baseline clinical parameters of 156 patients with carotid artery stenosis were analyzed based on different quartiles of OPN, OPG, and LOX1 levels. Higher OPN levels were significantly associated with increased OPG levels (P < 0.05, Supplementary Table 3). When grouped by OPG quartiles, patients in the highest OPG level group (> 0.66 mg/L) exhibited significantly higher OPN levels compared to the other groups (P < 0.05, Supplementary Table 4). Additionally, when classified by LOX1 quartiles, patients in the lowest LOX1 group (< 0.10 mg/L) had the lowest BMI, though the significance among groups was not statistically significant (P > 0.05, Supplementary Table 5). The proportions of patients with different stenosis types and plaque stability levels in each quartile of plasma CRP, OPN, OPG, and LOX1 levels are also shown in Supplementary Tables 2–5.
Factors influencing carotid artery occlusion: the role of CRP, OPN, OPG, and LOX1
To observe the relationships between the CRP, OPN, OPG, and LOX1 levels under various factors with the occurrence of carotid artery occlusion, a logistic regression model was utilized. In this model, adjustments were made for various factors included in the study, including age, sex, smoking, alcohol consumption, BMI, diabetes, hypertension, coronary artery disease, history of myocardial infarction, history of stroke, use of antihypertensive drugs, antiplatelet drugs, lipid-lowering medications, as well as CRP, OPN, OPG, and LOX1 levels. Among these, CRP, OPN, OPG, and LOX1 were incorporated as quartiles, while age, sex, and lipid profile variables were categorized based on standard classifications.
As shown in Figs. 2, 3, 4 and 5, in patients with carotid artery stenosis, CRP and OPG were identified as protective factors against total carotid occlusion (overall regression OR < 1, P < 0.05), whereas OPN was a risk factor (overall regression OR > 1, P < 0.05). The LOX1 levels did not show a statistically significant association with total carotid occlusion.
Logistic regression analysis of the C-reactive protein (CRP) levels and carotid artery occlusion. CRP was found to act as a protective factor against occlusion, with a statistically significant overall odds ratio less than 1 (P < 0.05). The model adjusts for multiple covariates including age, sex, lifestyle factors, and other clinical indicators.
Logistic regression analysis of the osteoprotegerin (OPG) levels and carotid artery occlusion. The OPG levels categorized into quartiles show a protective association against carotid artery occlusion. The regression model, accounting for various demographic and health-related factors, demonstrates a significant protective effect (odds ratio < 1, P < 0.05).
Logistic regression analysis of the osteopontin (OPN) levels and carotid artery occlusion. This figure illustrates the relationship between quartiles of OPN levels and the occurrence of carotid artery occlusion. The OPN levels are associated with an increased risk of occlusion, with an overall regression odds ratio greater than 1 (P < 0.05).
Among patients with carotid artery stenosis, a higher quartile of plasma CRP levels was associated with a lower risk of total occlusion in those with hypertension, no history of myocardial infarction, TC < 5.19 mmol/L, and HDL ≥ 1 mmol/L (P < 0.05, Figs. 2 and 3). Similarly, higher quartiles of plasma OPG levels were associated with a lower risk of total occlusion in male patients aged ≥ 60 years, those without coronary artery disease, with TC < 5.19 mmol/L, HDL ≥ 1 mmol/L, and TG in the range of 1.7–2.29 mmol/L (P < 0.05, Figs. 2 and 3). Conversely, higher quartiles of plasma OPN levels were associated with an increased risk of total occlusion in patients with carotid stenosis. Risk factors included the male sex, age ≥ 60 years, smoking, absence of diabetes, no history of myocardial infarction, use of lipid-lowering or antiplatelet medications, TC < 5.19 mmol/L, TG = 1.7–2.29 mmol/L, and LDL < 2.59 mmol/L (P < 0.05, Fig. 4).
Lipid and inflammatory biomarkers as predictors of carotid occlusion
We retained the lipid profile measures and incorporated them in a categorical format into the model to explore the relationships of CRP, OPN, OPG, and LOX1 with the incidence of total and near-total carotid occlusion under various influencing factors. In this model, adjustments were made for various study factors, including age, sex, smoking, alcohol consumption, BMI, diabetes, hypertension, coronary artery disease, history of myocardial infarction, history of stroke, use of antihypertensive drugs, antiplatelet drugs, lipid-lowering medications, as well as CRP, OPN, OPG, LOX1, TC, TG, HDL, and LDL. Among these, CRP, OPN, OPG, and LOX1 were incorporated as quartiles, while TC, TG, HDL, and LDL were classified according to clinical standards. Age and sex were also categorized based on standard classifications.
As shown in Figs. 6, 7, 8 and 9, among patients with carotid artery stenosis, CRP and OPG were identified as protective factors against total or subtotal carotid occlusion (overall regression OR < 1, P < 0.05, Figs. 6 and 7), whereas OPN was a risk factor (overall regression OR > 1, P < 0.05, Fig. 8). LOX1 quartiles showed no statistically significant association with total or subtotal carotid occlusion in patients with carotid stenosis (Fig. 9).
Impact of elevated C-reactive protein (CRP) levels on carotid stenosis outcomes. This figure presents the protective effect of higher quartiles of CRP levels against total or near-total occlusion in patients with carotid stenosis. The analysis indicates a significant association with an overall regression odds ratio less than 1 (P < 0.05). Data are adjusted for multiple clinical and demographic factors.
Association of osteoprotegerin (OPG) levels with carotid occlusion outcomes. This figure illustrates the reduced risk of total or near-total occlusion in higher quartiles of OPG, especially in patients aged ≥ 60 years and those without coronary artery disease or previous myocardial infarction. The outcomes show a significant protective correlation (odds ratio < 1, P < 0.05).
Risk assessment of elevated osteopontin (OPN) levels in carotid stenosis. The association between higher quartiles of OPN levels and increased risk of total or near-total occlusion, particularly in males and patients with specific lipid profiles (total cholesterol < 5.19 mmol/L, high-density lipoprotein cholesterol ≥ 1.0 mmol/L, low-density lipoprotein cholesterol < 2.59 mmol/L), as well as in older patients (≥ 60 years). The results demonstrate a significant increased risk (odds ratio > 1, P < 0.05).
Lectin-like oxidized low-density lipoprotein receptor 1 (LOX1) levels and their impact on occlusion risk in carotid stenosis. The heightened risk of total or near-total occlusion is associated with elevated quartiles of LOX1 levels under similar clinical conditions as osteopontin (OPN). The statistical analysis reveals a significant risk increase (odds ratio > 1, P < 0.05).
Among patients with carotid artery stenosis, a higher quartile of plasma CRP levels was associated with a lower risk of subtotal or total occlusion in males, individuals aged ≥ 60 years, those with no history of alcohol consumption, no history of coronary artery disease, no prior stroke, and TG levels of 1.7–2.29 mmol/L (P < 0.05, Figs. 6 and 7). Similarly, higher quartiles of plasma OPG levels were linked to a lower risk of subtotal or total occlusion in males, individuals aged ≥ 60 years, those with no history of alcohol consumption, no diabetes, no coronary artery disease, no use of antihypertensive drugs, TC levels < 5.19 mmol/L, and TG levels of 1.7–2.29 mmol/L (P < 0.05, Figs. 6 and 7).
Conversely, higher quartiles of plasma OPN levels were associated with a significantly increased risk of subtotal or total occlusion in males, individuals aged ≥ 60 years, those with a history of smoking, no diabetes, no coronary artery disease, no prior myocardial infarction, no prior stroke, TC levels < 5.19 mmol/L, TG levels of 1.7–2.29 mmol/L, and HDL levels ≥ 1 mmol/L (P < 0.05, Fig. 8).
Although LOX1 quartile levels were not significantly associated with total or subtotal carotid occlusion overall, an interesting trend was observed: among patients without diabetes, an increase in LOX1 quartile levels was associated with a higher risk of subtotal or total occlusion (P < 0.05, Fig. 9).
Correlation between carotid artery stenosis and four biomarkers
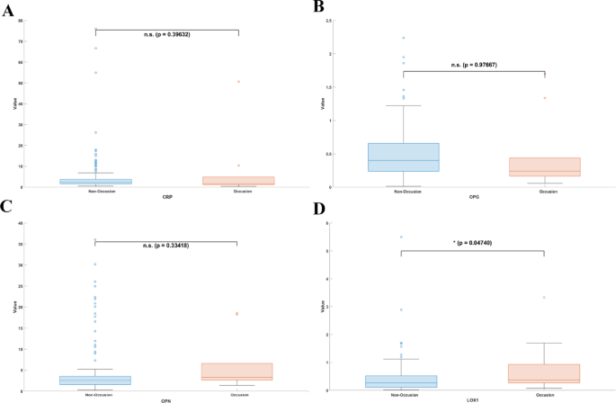
We further explored the relationship between carotid artery stenosis and the levels of four biomarkers: CRP, OPG, OPN, and LOX1. The results indicated that higher plasma CRP levels were not significantly associated with a reduced risk of occlusion (Fig. 10A). Similarly, elevated plasma OPG levels did not show a significant correlation with occlusion risk reduction (Fig. 10B). In contrast, lower LOX1 levels were associated with an increased risk of occlusion, suggesting a positive correlation between these biomarkers and occlusive events (Fig. 10C,D).
Relationship between biomarker levels and carotid artery occlusion. (A) Box plot showing the distribution of C-reactive protein (CRP) levels in patients with and without occlusion. (B) The distribution of osteoprotegerin (OPG) levels. (C) The distribution of osteopontin (OPN) levels. (D) The levels of lectin-like oxidized low-density lipoprotein receptor 1 (LOX1). Increases in LOX1 are associated with a higher risk of occlusion.
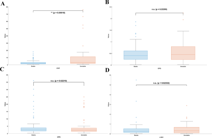
Regarding plaque stability, its correlation with OPN and LOX1 was relatively weak. Patients with lower plasma CRP quartiles exhibited greater plaque stability. However, the effects of plasma OPG and OPN levels on plaque morphology remain unclear and require further investigation. Notably, the plasma CRP levels showed a strong association with plaque stability (Fig. 11).
Further analysis was conducted based on stenosis severity (mild, moderate, severe, near-total occlusion, or total occlusion). The role of CRP in assessing stenosis severity remains uncertain. Similarly, the OPN and LOX1 levels showed weak correlations with the severity of carotid artery stenosis (Fig. 12). These results suggest that the biomarkers studied play distinct roles in the pathophysiology of carotid artery stenosis, affecting both the risk of occlusion and the stability of arterial plaques. This finding underscores the potential of these biomarkers as therapeutic targets and as tools for risk stratification in affected patients.
Biomarker levels across different stages of carotid artery stenosis. (A–D) The distribution of C-reactive protein (CRP), osteoprotegerin (OPG), osteopontin (OPN), and lectin-like oxidized low-density lipoprotein receptor 1 (LOX1) levels across stenosis severity categories: mild, moderate, severe, near-occlusion, and total occlusion.
SVM results
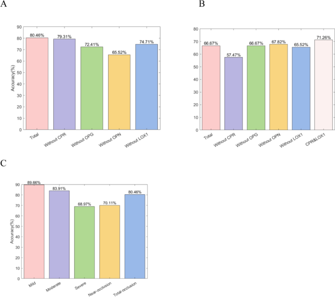
We utilized the SVM model to classify data into categories of occlusion and nonocclusion. Initially, we established training and validation sets to identify occlusion and nonocclusion. The training cohort consisted of 68 samples, including 29 occluded and 39 nonoccluded samples; while the testing cohort included 87 samples, with 37 occluded and 50 nonoccluded samples. Integration of the four biomarkers for SVM-based classification resulted in a success rate of 80.46%, with 17 misclassifications out of 87 samples. The primary misclassifications involved 13 instances of misidentifying nonocclusion as occlusion (Fig. 13A). To evaluate the impact of individual biomarkers on SVM classification, we performed leave-one-out analysis. Success rates were obtained after excluding each biomarker in turn: 79.31% without CRP, 72.41% without OPG, 65.52% without OPN, and 74.71% without LOX1 (Fig. 13B). These analyses suggest that OPN significantly influences the classification of stroke occurrence in relation to occlusion, as proposed in this study.
Support vector machine results. (A) Model accuracy by biomarker exclusion. This bar graph displays the predictive accuracy of a model for assessing carotid artery occlusion risk, both with all biomarkers included and with the exclusion of specific biomarkers one at a time. The “Total” bar represents the model with all biomarkers included, achieving an accuracy of 80.46%. The subsequent bars show the accuracy when each biomarker [C-reactive protein (CRP), osteoprotegerin (OPG), osteopontin (OPN), and lectin-like oxidized low-density lipoprotein receptor 1 (LOX1)] is excluded, illustrating their individual contributions to the model’s predictive capability. (B) Model accuracy enhancement by combining biomarkers. This bar graph illustrates the model’s accuracy in predicting carotid artery occlusion when combining certain biomarkers. The “Total” bar indicates the model’s baseline accuracy. The accuracy is recalculated excluding individual biomarkers such as CRP, OPG, and LOX1. The last bar represents a significant improvement when combining CRP and LOX1. (C) Model accuracy across stenosis severity levels. This bar graph shows the accuracy of the predictive model across different severity levels of carotid artery stenosis. The model’s accuracy is highest in mild stenosis conditions and decreases as the severity of stenosis increases.
Next, we employed the SVM algorithm to classify the stability of carotid artery plaques. We created training and testing datasets to distinguish between stable and unstable plaques. The training set included 68 samples, with 24 stable and 44 unstable plaques; while the testing set contained 87 samples, with 31 stable and 56 unstable plaques. The SVM model achieved an overall success rate of 66.67% in predicting plaque stability, with 29 misclassifications out of 87 samples. Most errors (27 out of 29) involved misclassifying unstable plaques as stable, highlighting challenges in accurately detecting instability (Fig. 13B). Further analysis using leave-one-out methodology assessed the impact of individual biomarkers on classification accuracy. Excluding CRP reduced the success rate to 57.47%. Meanwhile, omitting OPG or OPN had little effect on the accuracy; however, removing LOX1 resulted in a success rate of 65.52%. By training with both CRP and LOX1, the success rate improved to 71.26%. These results indicate that CRP and LOX1 were particularly influential in determining the stability of plaques in patients with carotid artery stenosis.
Finally, we utilized the SVM model to perform multiclass classification and cross-validation, aiming to differentiate the severity of stenosis using the biomarkers CRP, OPG, OPN, and LOX1 across five categories: mild, moderate, severe, near occlusion, and total occlusion. Our results demonstrated the SVM algorithm’s effectiveness in classifying mild stenosis without occlusion, achieving a precision rate of 89.66%. Furthermore, the recognition accuracy exceeded 80% for the moderate stenosis and total occlusion categories. However, precision was notably lower for severe and near-occlusion cases (Fig. 13C). These findings underscore the varying performance of the SVM approach across different stenosis severities.
Discussion
In this study, we explored the relationships between the type of carotid plaque, the degree of narrowing, and the levels of biomarkers (OPN, OPG, LOX1, and CRP) in stroke cases. We found that elevated levels of CRP were associated with various cardiovascular conditions, including acute myocardial infarction and atherosclerosis. Studies have shown that CRP is codeposited with activated complement within acute myocardial infarcts, indicating its role in reflecting tissue damage and contributing to the severity of ischemic myocardial injury18. Additionally, CRP has been linked to increased cardiovascular risk in patients with advanced atherosclerosis19. Moreover, elevated plasma CRP levels are associated with an increased risk of early vein graft occlusion20. However, our findings suggest that higher quartiles of plasma CRP levels are associated with a lower risk of occlusion in males and patients without a history of myocardial infarction. One possible explanation for this discrepancy could be that patients with a history of coronary artery disease or myocardial infarction are more likely to receive aggressive treatment regimens, which could reduce the risk of total occlusion. In addition, further investigation is needed to determine whether the observed relationship between CRP levels and carotid occlusion reflects an acute phase response or chronic atherosclerotic changes.
In this study, elevated plasma OPG levels were identified as protective against occlusion, particularly in older patients (≥ 60 years) and those without coronary artery disease or prior myocardial infarction. This protective role of OPG in vascular health is supported by research indicating that OPG may modulate osteogenic, inflammatory, and apoptotic responses, acting as a mediator of vascular pathology21. OPG is hypothesized to inhibit vascular calcification, thereby playing a protective role against plaque instability and subsequent occlusion22. Studies have shown that OPG is involved in regulating vascular calcification and atherosclerosis progression, suggesting its potential as a protective factor against occlusion23. In contrast, higher quartiles of OPN and LOX1 levels were associated with increased risks of occlusion, especially in older males, smokers, and individuals without coronary heart disease or previous myocardial infarction. This finding indicates a potential pro-atherogenic role for OPN and LOX1, contributing to plaque vulnerability and the propensity for occlusion24. The upregulation of LOX1 has been linked to endothelial cell injury, suggesting a role in promoting atherosclerosis.
The protective roles of CRP and OPG against carotid occlusion contrast with the traditional view of these biomarkers as indicators of cardiovascular risk. This discrepancy may be due to the complex biology of these proteins and their dual roles in inflammation, calcification, and atherosclerosis. For instance, while high CRP levels are traditionally associated with increased cardiovascular risk, our findings suggest that in the context of carotid artery disease, elevated CRP levels might reflect an effective acute inflammatory response that could protect against plaque rupture and occlusion25. Similarly, OPG’s protective effect against occlusion aligns with studies highlighting its role in inhibiting vascular calcification and osteochondrogenic differentiation of vascular cells, which can contribute to plaque stability21. However, the relationship between OPG levels and cardiovascular outcomes remains complex, as some studies have identified high OPG levels as predictors of adverse cardiovascular events, suggesting that its role may vary depending on the stage of atherosclerosis and the presence of other cardiovascular risk factors26. Conversely, the identification of OPN and LOX1 as risk factors for occlusion reinforces their potential roles in promoting inflammation, oxidative stress, and endothelial dysfunction, which are critical processes in the progression of atherosclerosis and plaque instability.
Our study highlights the importance of a multifaceted approach to evaluate the risk of carotid artery occlusion, incorporating traditional risk factors with emerging biomarkers. The differential roles of CRP, OPG, OPN, and LOX1 underscore the complexity of atherosclerotic disease processes and suggest potential targets for therapeutic intervention. Future research should focus on longitudinal studies to elucidate the temporal relationships between these biomarkers and carotid artery disease progression as well as clinical trials to explore the efficacy of targeting these pathways in preventing stroke and other cardiovascular events.
The SVM optimization model was used in this study based on several considerations: (1) its ability to handle small-sample, high-dimensional data: SVM performs well with small datasets, especially in cases involving multiple biomarkers; (3) its nonlinear classification capability: the kernel function-based SVM was used to better capture the potential complex nonlinear relationships between biomarkers; and (3) its model interpretability and generalization: SVM can better identify the optimal hyperplane in high-dimensional spaces, improving generalization and reducing the risk of overfitting compared to other machine learning techniques.
Limitations
The current study, involving 156 patients with varying degrees of stroke, aimed to elucidate the impact and clinical significance of arteriosclerosis and to explore the relationships between biomarkers (OPN, OPG, LOX1, and CRP) and the occurrence of stroke events according to the carotid plaque type and the degree of narrowing. Despite achieving an effective diagnostic accuracy of greater than 80% through the development of an analytical model and categorization based on imaging assessments, our conclusions are subject to certain limitations that merit discussion. One of the primary limitations of this study is the relatively small sample size. With only 156 cases, our ability to generalize findings across a broader population was restricted. Additionally, the lack of diversity within our sample, particularly the absence of negative (healthy) control subjects, narrowed the scope of our conclusions. This limitation primarily affected the robustness and external validity of our predictive model, making it less applicable to a general population. Our study’s reliance on cross-sectional data limited our capacity to infer causality or to predict the progression of disease over time. Isolated, single-time-point data may not adequately capture the dynamic nature of carotid artery disease progression and its relationship with biomarker levels. To address these limitations and enhance the rigor of our findings, future research should focus on expanding the sample size and diversity; moreover, longitudinal studies should be conducted for dynamic data collection. Lastly, although the associations between CRP, OPN, OPG, LOX-1, and carotid occlusion were evident in our findings, the underlying mechanisms remain incompletely understood. LOX-1 is consistently reported as a risk factor in stroke27while CRP is a well-established inflammatory marker associated with increased vascular risk28. In contrast, the roles of OPN and OPG in carotid atherosclerosis are less clearly defined. Therefore, the protective or deleterious roles of these biomarkers on the stage-specific dynamics of atherosclerotic progression warrant further investigation.
In conclusion, this observational study provides important insights into the complex interplay between carotid plaque characteristics, the severity of arterial narrowing, and specific biomarkers in the context of stroke risk. By identifying key biological markers associated with plaque stability and stenosis severity, our findings provide a reference for improving early diagnosis, risk stratification, and targeted prevention strategies. While we acknowledge the limitations of our current approach, future research building on these results could enhance clinical decision-making, leading to more precise and personalized management of stroke and other cardiovascular diseases.
Data availability
The data underlying this article are available in the article and in its online supplementary material.
References
Zhou, M. et al. Cause-specific mortality for 240 causes in China during 1990–2013: a systematic subnational analysis for the global burden of disease study 2013. Lancet 387, 251–272 (2016).
Ma, Q. et al. Temporal trend and attributable risk factors of stroke burden in china, 1990–2019: an analysis for the global burden of disease study 2019. Lancet Public. Health. 6, e897–e906 (2021).
Wang, Y. J. China stroke statistics 2019: A report from the national center for healthcare quality management in neurological diseases, China national clinical research center for neurological diseases, the Chinese stroke association, national center for chronic and non-communicable disease control and prevention, Chinese center for disease control and prevention and institute for global neuroscience and stroke collaborations. Stroke Vasc. Neurol. 5, 211–239 (2020).
Mankovsky, B. & Ziegler, D. Stroke in patients with diabetes mellitus. Diabetes Metab. Res. Rev. 20, 268–287 (2004).
Tuttolomondo, A., Maida, C., Maugeri, R., Iacopino, D. G. & Pinto, A. Relationship between diabetes and ischemic stroke: analysis of diabetes- related risk factors for stroke and of specific patterns of stroke associated with diabetes mellitus. J. Diabetes Metabolism. 6, 544 (2015).
Wang, Z. et al. Diabetic retinopathy May be a predictor of stroke in patients with diabetes mellitus. J. Endocr. Soc. 6, bvac097 (2022).
Al-Rubeaan, K. et al. Ischemic stroke and its risk factors in a registry-based large cross-sectional diabetic cohort in a country facing a diabetes epidemic. J. Diabetes Res. 2016, 4132589 (2016).
Allmendinger, A. M., Tang, E. R., Lui, Y. W. & Spektor, V. Imaging of stroke: part 1, perfusion CT–overview of imaging technique, interpretation pearls, and common pitfalls. Am. J. Roentgenol. 198, 52–62 (2012).
Chalela, J. A. et al. Magnetic resonance imaging and computed tomography in emergency assessment of patients with suspected acute stroke: A prospective comparison. Lancet 369, 293–298 (2007).
McClelland, G., Rodgers, H., Flynn, D. & Price, C. The frequency, characteristics and aetiology of stroke mimic presentations: A narrative review. Eur. J. Emerg. Med. 26, 2–8 (2019).
Kabra, R., Robbie, H. & Connor, S. Diagnostic yield and impact of MRI for acute ischaemic stroke in patients presenting with Dizziness and vertigo. Clin. Radiol. 70, 736–742 (2015).
Jiao, Y. et al. Early identification of carotid vulnerable plaque in asymptomatic patients. BMC Cardiovasc. Disord. 20, 429 (2020).
13 Tousoulis, D. et al. Serum osteoprotegerin and osteopontin levels are associated with arterial stiffness and the presence and severity of coronary artery disease. Int. J. Cardiol. 167, 1924–1928 (2013).
Braig, D. et al. Transitional changes in the CRP structure lead to the exposure of Proinflammatory binding sites. Nat. Commun. 8, 14188 (2017).
Wolak, T. Osteopontin - a multi-modal marker and mediator in atherosclerotic vascular disease. Atherosclerosis 236, 327–337 (2014).
Migacz, M., Janoska-Gawronska, A., Holecki, M. & Chudek, J. The role of osteoprotegerin in the development, progression and management of abdominal aortic aneurysms. Open. Med. (Wars). 15, 457–463 (2020).
Sharma, T., Romeo, F. & Mehta, J. L. LOX-1: implications in atherosclerosis and myocardial ischemia. EXCLI J. 21, 273–278 (2022).
Pepys, M. B. & Hirschfield, G. M. C-Reactive protein: A critical update. J. Clin. Invest. 111, 1805–1812 (2003).
Paffen, E. & DeMaat, M. P. M. C-Reactive protein in atherosclerosis: A causal factor?? Cardiovasc. Res. 71, 30–39 (2006).
Ji, Y. et al. C-reactive protein induces expression of tissue factor and plasminogen activator Inhibitor‐1 and promotes fibrin accumulation in vein grafts. J. Thromb. Haemost. 12, 1667–1677 (2014).
Campenhout, A. V., Golledge, J. & Osteoprotegerin Vascular Calcification Atherosclerosis Atherosclerosis 204, 321–329 (2009).
Rymarz, A., Romejko, K., Matyjek, A., Bartoszewicz, Z. & Niemczyk, S. Serum osteoprotegerin is an independent marker of metabolic complications in Non-DialysisDependent chronic kidney disease patients. Nutrients 13, 3609 (2021).
Jiao, M. et al. Osteoprotegerin/Receptor activator of nuclear Factor–κB ligand are involved in Periodontitis–promoted vascular calcification. Exp. Ther. Med. 24, 512 (2022).
Zhang, C., Yang, H., Li, Y., Huo, P. & Ma, P. LNCRNA OIP5-AS1 regulates oxidative Low-Density Lipoprotein-Mediated endothelial cell injury via miR-320a/LOX1 axis. Mol. Cell. Biochem. 467, 15–25 (2020).
Takahashi, W., Ohnuki, T., Ohnuki, Y., Kawada, S. & Takagi, S. The role of High-Sensitivity C-Reactive protein in asymptomatic Intra- and extracranial large artery diseases. Cerebrovasc. Dis. 26, 549–555 (2008).
Asanuma, Y. et al. Serum osteoprotegerin is increased and independently associated with coronary-artery atherosclerosis in patients with rheumatoid arthritis. Atherosclerosis 195, e135-141 (2007).
Akhmedov, A. et al. Deleterious role of endothelial lectin-like oxidized low-density lipoprotein receptor-1 in ischaemia/reperfusion cerebral injury. J. Cereb. Blood Flow. Metab. 39, 2233–2245 (2019).
Amezcua-Castillo, E. et al. C-Reactive protein: the quintessential marker of systemic inflammation in coronary artery Disease-Advancing toward precision medicine. Biomedicines 11, 2444 (2023).
Acknowledgements
We thank the Department of Biobank, Division of Clinical Research for the providing of human tissues.
Funding
This work was supported by the Natural Science Foundation of Jilin Province (YDZJ202401171ZYTS, YDZJ202401412ZYTS), the National Natural Science Foundation (no. 82102306), the Bethune program of Jilin University (2024B30), the Jilin Provincial Medical and Health Talent Project (No. JLSWSRCZX2023-30), and the Jilin Tianhua Health Public Welfare Foundation (No. J2023JKJ031). The funders had no role in the design, data collection, data analysis, or reporting of this study.
Author information
Authors and Affiliations
Contributions
LP for Conceptualization; XJ for Data curation; HML, KW and YYL for Formal analysis; HCM for Funding acquisition; SJ for Investigation; YC and BFX for Writing - original draft; Writing - review & editing.
Corresponding author
Ethics declarations
Competing interests
The authors declare no competing interests.
Ethics approval
This study involving human participants was in accordance with the ethical standards of the institutional and national research committee and with the 1964 Helsinki Declaration and its later amendments or comparable ethical standards. This observational study was approved by the Ethics Committee of the First Hospital of Jilin University (No. 2019 − 272).
Consent to participate
Informed consents were obtained from all individual participants.
Additional information
Publisher’s note
Springer Nature remains neutral with regard to jurisdictional claims in published maps and institutional affiliations.
Supplementary Information
Below is the link to the electronic supplementary material.
Rights and permissions
Open Access This article is licensed under a Creative Commons Attribution-NonCommercial-NoDerivatives 4.0 International License, which permits any non-commercial use, sharing, distribution and reproduction in any medium or format, as long as you give appropriate credit to the original author(s) and the source, provide a link to the Creative Commons licence, and indicate if you modified the licensed material. You do not have permission under this licence to share adapted material derived from this article or parts of it. The images or other third party material in this article are included in the article’s Creative Commons licence, unless indicated otherwise in a credit line to the material. If material is not included in the article’s Creative Commons licence and your intended use is not permitted by statutory regulation or exceeds the permitted use, you will need to obtain permission directly from the copyright holder. To view a copy of this licence, visit http://creativecommons.org/licenses/by-nc-nd/4.0/.
About this article
Cite this article
Xu, B., Jiang, X., Li, H. et al. Impact of biomarkers on carotid artery disease and stroke. Sci Rep 15, 27821 (2025). https://doi.org/10.1038/s41598-025-13517-y
Received:
Accepted:
Published:
Version of record:
DOI: https://doi.org/10.1038/s41598-025-13517-y















