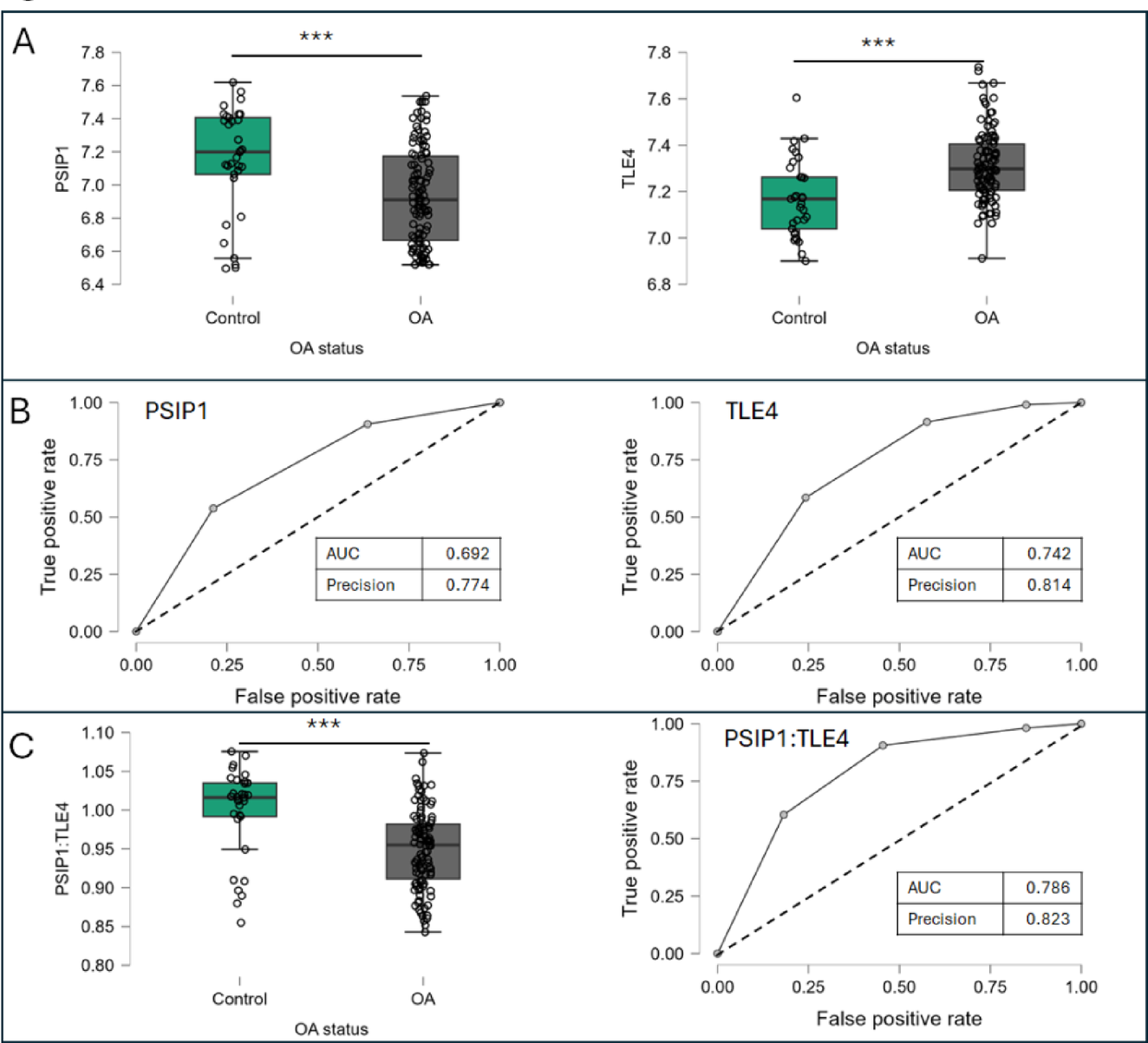
Fig. 7

Analysis of PSIP1 and TLE4 mRNA expression level in PBMCs as potential prognostic markers of OA development. mRNA expression levels of PSIP1 and TLE4 in PBMCs isolated from healthy (Control) and OA-affected (OA) patients (A). ROC analysis of prognostic properties of PBMCs mRNA levels of PSIP1 and TLE4 in OA development (B). Analysis of PBMCs isolated PSIP1:TLE4 mRNA expression levels ratio as a prognostic tool of OA C). All calculations and visualizations were performed using Jasp software. Samples were tested with the Shapiro–Wilk test, presenting a not-normal distribution, thus followed by the Mann-Whitney U test *** p < 0.001.