Fig. 4
From: Neural correlates and dynamical brain states of creative insight in a spatial problem task

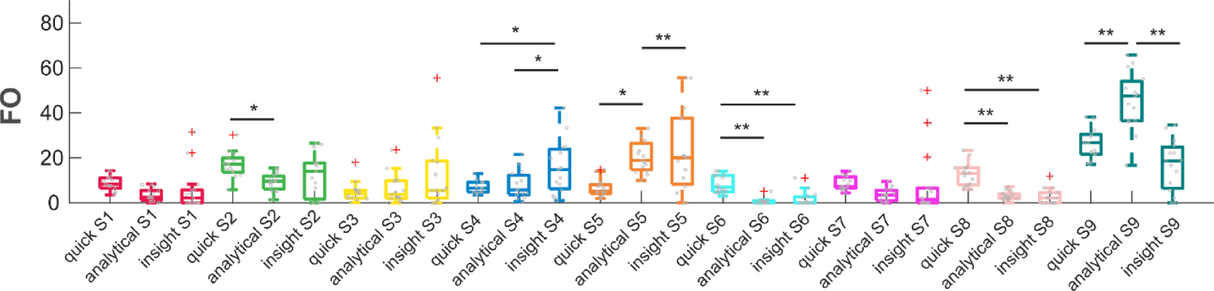
Comparison of fractional occupancy (FO) for dynamic brain state profiles across solution strategies. In each state, we compared FOs across three strategies (quick, analytical, and insight). Asterisks indicate statistical significance based on one-way ANOVA (* p < 0.05, ** p < 0.005, with Tukey–Kramer honestly significant difference post-hoc test). The boxplots represent the 25th and 75th percentiles (upper and lower edges), the central line indicates the median, and the dots represent individual participants.