Fig. 4
From: Childhood resolution of early abnormal miRNA following neonatal encephalopathy

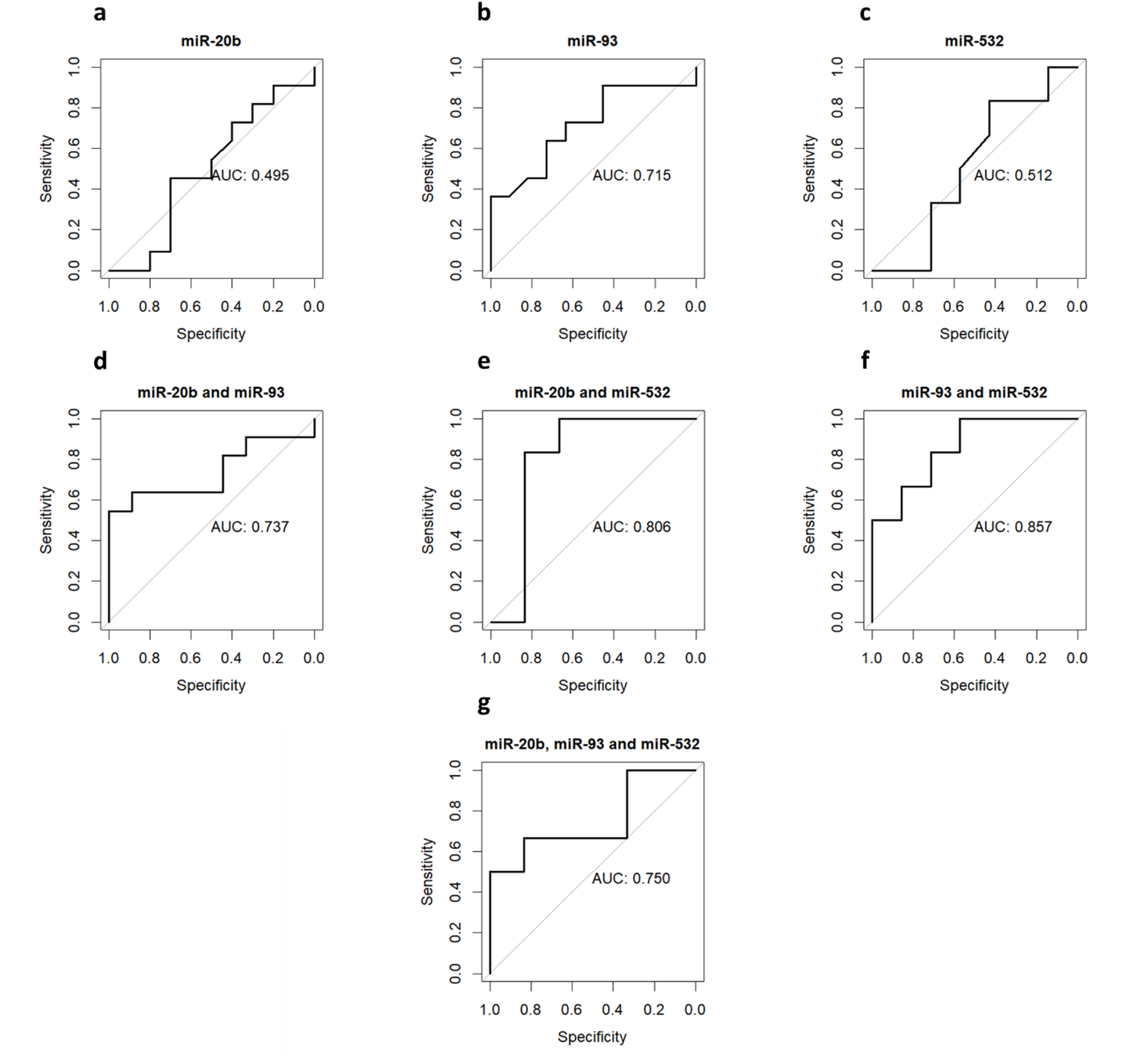
Predictive value of microRNAs in NE status of child vehicle samples. (a-g) Graphs show ROC curves of relative (ΔCT) expression of miR-20b (a), miR-93 (b), miR-532 (c), miR-20b and miR-93 (d), miR-20b and miR-532 (e), miR-93 and miR-532 (f) and miR-20b, miR-93 and miR-532 (g) in the serum of child NE (n = 6–11) and child control (n = 6–11).