Abstract
Wax has a significant influence on the durability of roofing and pavement. The paper investigated the effects of wax dosages (1%, 3% and 5%) on the performance of bitumen during ultraviolet aging systematically from the macro and micro perspectives. The high-medium-low temperature rheological performance and chemical composition of bitumens were mainly studied, and their light-thermal sensitivity was used by differential scanning calorimetry and ultraviolet spectrophotometer tests, respectively. The results show that as the wax dosage of bitumens increased, their complex modulus decreased and the fatigue life increased. Also, the UV absorbance of wax-containing bitumen was generally lower than that of unwaxed bitumen, while the trend of change in glass transition temperature was the opposite. Furthermore, the addition of wax and the aging procedure led to the growth of sulfoxide index and wax index, accompanied by good linear relationships. In general, waxes were more likely to combine with asphaltenes during the crystallization process.
Similar content being viewed by others
Introduction
Bitumen is widely used in some engineering, such as roads, roofs and dams. Its properties depend largely on its chemical composition, including waxes. The presence of wax is generally considered detrimental to the production and performance of bitumen, reducing the overall quality of the pavement1. The melting of wax reduces the rutting resistance of bitumen at the high temperature, and crystallization accelerates the cracking of bituminous pavement at low temperatures, increasing the temperature sensitivity of the bitumen2. At the same time, wax would cause physical hardening and poor adhesion of the bitumen to the aggregate3,4,5. Therefore, in some countries, the wax dosage in bitumen is limited.
Nowadays, the application of materials’ characterization technology could better understand the performance change of wax-doped bitumen, where the high-temperature effect was generally attributed to the viscosity reduction effect of molten wax, for example, wax at high temperatures exists in liquid form6. The higher the wax dosage, the more pronounced the viscosity drop1,7, but the opposite phenomenon also existed8,9. This may be related to the crystalline structure of waxes, some of which have low melting points and cannot form unique and rigid crystal structures10. Lu et al.11 found that the rutting difference between wax-containing bitumen and non-wax-containing bitumen mixtures was relatively small, while their low-temperature fracture temperature tended to be high. Through thermogravimetric test, Alireza et al.12 found that the residual mass of bitumen with high wax content was lower due to the interference of straightylin wax chains with asphaltene clusters, and explored the conformation and accumulation of wax in asphaltene molecules through molecular dynamics simulation13. Ding et al.4 observed the content of crystalline wax by variable temperature-Fourier transform infrared spectroscopy. For microstructures, the interaction of crystalline waxes and asphaltenes resulted in a more pronounced hierarchy of ‘bee structures’14,15,16. In addition, aging oxidation promoted the increase of asphaltene phase in bitumen. The colloidal instability of bitumen with high wax content was significantly increased17. Wax promoted the precipitation of asphaltenes and the overall phase separation, inhibiting its low-temperature flow, and greatly reduced the ability to relax thermal stress18. Omari et al.19 added oxidized polyethylene wax to aged bitumen to produce more complex rheological behavior, indicating that much of the bitumen underwent phase separation.
In general, the influence of wax in bitumen is complex, related both to the nature of crude oil and to the type or crystalline state of wax. Therefore, to amplify the effect of wax on bitumen performance under high temperature and ultraviolet coupling, this paper was systematically studied from the macro performance and microstructure. The rheological properties at different temperature stages were mainly studied by means of frequency sweep (FS), linear amplitude sweep (LAS) and bending beam rheometer (BBR) tests. In addition, the photothermal sensitivity of wax-containing bitumen was subjected to ultraviolet spectrophotometer and differential scanning calorimetry (DSC) tests, respectively, while the quantity of wax in bitumen were investigated through Fourier transform infrared spectrometer (FTIR) test. With the changes of wax type and content, the rheological properties and chemical composition of bitumens were comprehensively explored to evaluate the effect of wax on the durability of bituminous pavement during the aging process.
Materials and methods
Raw materials
The basic properties of base bitumen (90# Donghai) and waxes are shown in Tables 1 and 2, respectively. Waxes, dominated by n-alkanes, were produced from Sinopharm Chemical Reagent Co., Ltd.
Sample preparation and aging
To study the influence of wax content on the performance of bitumen, the waxes and base bitumen were mixed at 180 °C, and stirred in a low-speed shearing mixer for 15 min, so that the waxes could be fully dissolved and evenly dispersed in the bitumen D. The wax dosages were 1, 3 and 5% by the mass of bitumen D, respectively. The abbreviation of bitumen samples is shown in Table 3.
The short-term aging (STA) of bitumen samples was performed with at 163℃ for 5 h through thin film oven test according to ASTM D1754. After STA, the samples were evenly applied to the glass to form a 1 mm film. Subsequently, an ultraviolet (UV) aging was carried out in an UV aging box (WJ-NH-225), whose power was 120 W/m2 and the wavelength range was from 340 nm to 370 nm. UV light irradiation temperature and duration were 70℃ and 10 days, respectively20,21.
Testing methods
FS test
To determine the viscoelastic characteristics of seven bitumens under virgin, TFOT-aged and UV-aged conditions, the Anton Paar MCR 702 Dynamic Shear Rheometers (DSR) was used in the study. The FS test with a plate geometry of 25 mm plate diameter was evaluated at a temperature of 64 ℃ and a strain of 2.5% with the frequency range of 100 –0.1 Hz. Also, their rutting factor (G*/sin δ) was also computed according to AASHTO TP5-9322.
LAS test
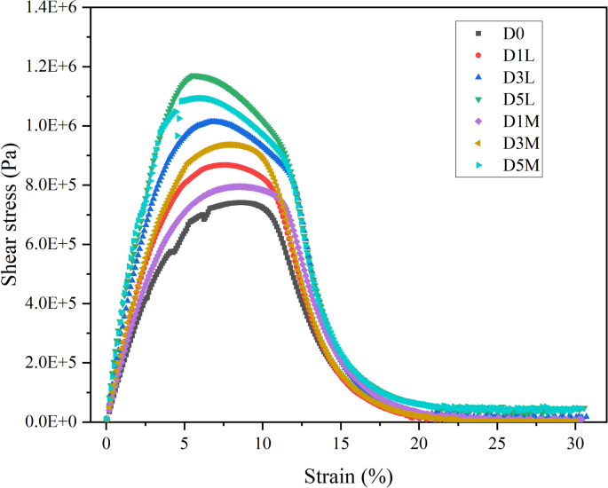
LAS test with a plate geometry of 8 mm plate diameter was accomplished at a constant frequency of 10 Hz and a temperature of 12 °C, where the strain amplitude increased from 0.1 to 30%, as shown in Fig. 1. The data was processed through the simplified viscoelastic continuous damage (S-VECD) model23,24. The relationship between material integrity (C) and damage strength (S)was determined by analyzing the damage characteristic curve (DCC), and the calculated fatigue life (Nf) was used to predict the fatigue characteristics of bitumens. The specific details are referred to in the AASHTO TP 107.
The results of LAS at 12℃.
BBR test
The BBR test is used to determine the low-temperature stiffness of bitumen to characterize its low-temperature performance. Based on AASHTO T313, the test was loaded for 240s at a force of 980 ± 50 mN and the flexural creep stiffness (S(t)) at 60s was taken. In addition, the change rate of creep stiffness over time is called creep rate (m). Since wax exacerbated the brittleness of bitumens, each bitumen was tested at -8 °C9.
Ultraviolet spectrophotometer test
Studies have shown that wax tends to scatter the light, thereby affecting the optical sensitivity of bitumen25. In this test, an ultraviolet spectrophotometer (Shimadzu UV-2550) was used, and cyclohexane was selected as a solvent. The test operation was shown in Fig. 2. The bitumen sample was configured as a cyclohexane solution containing 10 mg/L bitumen, and after ultrasonic shaking, it was dispensed into a quartz cuvette using a dropper. The absorbance was then determined at a wavelength of 254 nm26.
Operating procedure of ultraviolet spectrophotometer test.
DSC
A synchronous thermal analyzer (TA SDT650) was used to thermal analysis, and the nitrogen flow rate was controlled at 100 mL/min. An aluminum oxide pan with 10 mg bitumen was heated rapidly to 100 °C and kept at constant temperature for 2 min to eliminate any thermal history. Then, it was cooled to -40 °C at a rate of -10 °C/min, and heated back to 100 °C with a heating rate of 10 °C/min after a constant temperature of 2 min. The molten peak area in the DSC curve was related to the crystalline composition in bitumen27, and the glass transition temperature and thermal enthalpy are obtained, as shown in Fig. 3.
Glass transition temperature and endothermic peak of bitumen with various waxes.
FTIR test
The functional groups of bitumens with different waxes in a wavelength range of 600–3500 cm− 1 were studied by FTIR (ALPHA LLFX-07). Generally, the characteristic peaks were integrated with the horizontal baseline to obtain sulfoxide index (SI) and wax indexes (WI and WII) to describe the relative content of sulfoxide group and more methylene groups9,28, as shown in Fig. 4, which could be expressed in Eq. 1 ~ 3.
Where A1032 is area of the spectral band around 1032 cm− 1; A723 is area of the spectral band around 723 cm− 1; A1377 + 1471 is area of the spectral band around 1377 and 1471 cm− 1; ΣA is the sum of areas of spectral band between 600 cm− 1 and 2000 cm− 1.
Spectra of unaged bitumens.
Results and discussion
FS
The FS test results of seven bitumens during UV aging, as shown in Fig. 5. As the frequency rose, the phase angle (δ) decreased while the complex modulus (|G*|) of bitumens increased. In addition, as the wax content increased, |G*| decreased, but the downward trend slowed, while changes in wax were less sensitive to phase angles as a function of frequency. The softening effect of wax leads to a growth in the viscous composition of the bitumen and a loss in resistance during shear action9. Moreover, with the aging process, the complex modulus of bitumen gradually went up and the phase angle dropped. However, the phase angle changed non-significantly with the deepening of aging in the low frequency region, while the opposite trend was shown at the high frequency. High-temperature and UV irradiation cause bitumen to lose the frequency dependence of the phase angle slightly. For both waxes, the bitumen containing Max-M had a lower complex modulus than that containing Max-L overall, mainly because Max-M crystalline wax has all softened at 64 °C to decrease the stiffness of bitumens.
Rheological curves of different bitumens.
LAS
According to the S-VECD model, Fig. 6 shows the internal damage of various wax-doped bitumens. Strikingly, their material integrities went down rapidly, and the damage continued to increase. Besides, low UV aging duration would result in the low damage characteristic curves. High temperature and ultraviolet light accelerate the volatilization of light components, oxidation and cleavage of characteristic groups, resulting in metamorphization, and the increase of asphaltenes and their polar groups29. Besides, as the wax content increased, DCCs moved downward, manifesting as enhanced the fatigue resistance, which is contrary to the literature on the decline in fatigue life of bitumen due to the increase of viscous components30,31. This may be due to various chemical composition of bitumen, and the complex structure of wax.
Damage characteristic curves of bitumens.
The trends of fatigue life (Nf) of aged bitumens under strain levels with 2.5 ~ 10% were fitted with double logarithm, as shown in Fig. 7. At low shear rates, the relative difference in Nf of bitumens for any wax content was less pronounced. Therefore, at low strain (2.5%), there was a case where the curves intersect, as shown in Fig. 6(b), which may be related to complex mechanisms such as material nonlinearity32. In the case of Max-L, when the wax dosage climbed from 0 to 5%, the Nf of bitumen increased by 98.6% (unaged) and 153.3% (UV10) at 10% strain, respectively. In general, aging reduces the fatigue resistance of a given bitumen by producing a lower faulty cladding. In additon, the curve slope reflects the strain sensitivity of bitumens. The corresponding strain under the influence of temperature and ultraviolet was more sensitive to the Nf of bitumen, and the curve rotated clockwise with the deepening of aging.
The relationship between fatigue life and strain of bitumens.
BBR
Generally, the smaller the m-value, the worse the stress relaxation ability of bitumen, while the larger the stiffness modulus, the larger the stress required to generate unit strain, indicating that the bitumen was hard and brittle33. Figure 8 shows the BBR test results for seven bitumens before and after aging. Obviously, with the increase of aging degree, the stiffness modulus of bitumen went up, and the m value went down. The carbonyl group formed by thermal oxygen aging absorbed ultraviolet light to cause Norrish chain breakage, which further aggravated the association and migration of bitumen components, resulting in a decrease in low-temperature performance34. Also, the stiffness modulus and creep rate of bitumen showed a corresponding change trend with the increase of wax content. Adding Max-M and Max-L to the matrix bitumen, the creep rate fell by 16.9% and 15.5%, respectively. It may be due to the low temperature crystallization of wax molecules, and the phase separation from the asphalt components due to the diffusion of Brown molecules is gradually produced. It may be because the wax molecules crystallize at low temperatures and gradually separate from the bitumen components due to the diffusion of Brownian molecules, resulting in the degradation of the low-temperature performance of bitumen35.
The results of BBR test at -8℃.
UV absorbance
The wax could affect the optical sensitivity of bitumen, and the UV absorbance of bitumen with different wax content before and after aging is shown in Fig. 9. Overall, the absorbance of all bitumens used in this paper was in the range of 0.25 and 0.55. With the extension of the aging duration, the UV absorbance of bitumen gradually decreased, because under the combined action of ultraviolet and high temperature, more asphaltene components (regarded as concentrated polyaromatic hydrocarbon blocks) are produced during the oxidation process of bitumen, and excessive asphaltene would agglomerate in the same concentration of dispersion medium8, which easily leads to the weakening of the ability of asphalt solution to absorb light energy. Comparing the two kinds of wax, it was found that their effect on the ultraviolet absorption of light from bitumen was not significantly different. In addition, the wax content had a good negative fitted linear relationship with the UV absorbance of bitumen, where most of the correlation coefficients were above 0.90. One explanation was that asphaltenes tended to trap wax and co-precipitate36. Therefore, in a sense, wax could delay the UV aging of bitumen by reducing the absorption of ultraviolet light.
UV absorbance of different bitumen containing wax.
DSC
The glass transition temperature is the temperature at which the polymer transitions from a glass to a rubber state, when the material changes from brittleness to elastic37. From the perspective of molecular movement, Tg is the critical point where the molecular chain movement changes from active to frozen, which can evaluate the low-temperature performance of bitumen. Table 4 shows the glass transition temperature (Tg), onset temperature (Ton), peak temperature (Tpeak) and thermal enthalpy of the endothermic peak of bitumens with different wax content before and after aging. As shown in Table 4, unwaxed bitumen had the lowest Tg and the best low temperature performance, while the higher the wax dosage, the greater the Tg of bitumens. With the deepening of the aging degree, the Tg of bitumen increase gradually, which shows that Tg was positively correlated with the aging time. Because Tg has a strong sensitivity to changes in asphaltene content38, and wax addition or aging would lead to an increase in macromolecules of bitumen. In Fig. 3, there are obvious endothermic peaks on DSC curves of some asphalt, mainly due to the superposition of endothermic peaks of relevant components in bitumen materials. On the whole, although there were fluctuations in the onset temperature and peak temperature, the endothermic peak of bitumen mainly appeared in the temperature range of 10 ~ 45 °C. With the increase of aging duration and wax content, the endothermic peak area of bitumen continued to increased. After UV aging, the types and quantities of light components with high chemical activity in the bitumen decrease and aggregate, heavy components such as asphaltenes increase (including wax), enhancing the intermolecular forces, and more heat needs to be absorbed under association to offset intermolecular forces37,39.
FTIR
The FTIR spectrum of bitumens with waxes were investigated in Fig. 4. Obviously, the medium-strength absorption peaks near 1471 cm− 1 and 1377 cm− 1 corresponded to the bending vibration of -CH2- and -CH3, respectively, including orthorhombic-hexagonal phase transitions40. Also, the peak at 723 cm− 1 revealed the carbon chains with four or more methylene groups28,41, while the peak at 1032 cm− 1 was caused by the stretching vibrations of S = O bond. The calculation results of sulfoxide index and wax indexes for different types of bitumen are shown in Fig. 10. It is clear that the active ingredients in bitumen were oxidized, resulting in an increase in oxygen-containing functional groups (S = O). Under the coupling action of ultraviolet rays and high temperature, polar groups formed by the combination of functional groups in bitumen and oxygen enhanced the interaction between molecules, thereby hardening bitumens1. There is a certain aging to bitumen and wax in the mixing process, so the SI values of wax-containing bitumen were higher than that of D0. For the wax index, the long-chain methylene peaks (WI and WII) were growing on an unwaxed basis. Taking origin bitumens as an example, there was a linear relationship between wax content and WI, and the correlation coefficients were 0.95 (Wax-M) and 0.96 (Wax-L), respectively, confirming the relationship between the shape and quantity of wax and its peak area on the spectrum.
Sulfoxide index and wax indexes of different bitumens.
Chemomechanics
Quantitative statistical analysis further illustrated the relationship between the rheological properties and chemical properties of wax-doped aged bitumens. In this section, the correlation between variables was evaluated using the Pearson correlation coefficient “r” by SPSS 24 software.
As shown in Table 5, based on various methods of testing wax-doped bitumens, the stiffness modulus was significantly positively correlated with the FTIR aging indexes (SI, WI and WII), indicating that oxidation and the increase of wax composition jointly promoted the hardening of bitumen and led to the loss of bitumen flexibility. In addition, SI was negatively correlated with UV absorbance (r = -0.93), indicating that there was a trade-off competition or transformation path between the formation of sulfoxide compounds and UV absorbing substances (which may contain conjugated structures), and the decrease of absorbance predicted the intensification of hardening. Further, there was a certain correlation between Tg and other indicators, showing that the improvement of thermal stability was closely related to the hardening process caused by chemical aging (oxidation and waxing), and Tg can be used as an auxiliary thermal index to evaluate the aging degree of bitumen. Also, Nf was positively correlated with the wax indexes, which seems to contradict the perception that wax components often impair medium-temperature performance. Therefore, it is speculated that during the UV aging process, specific wax components may provide a certain stress dissipation or inhibit crack propagation ability under fatigue loading by changing the phase state or microcrystalline structure, and the mechanism of action needs to be further studied.
Conclusion
The study investigated the influence of wax on the performance of bitumen during UV aging, and the following major conclusions could be drawn:
-
(1)
With the growth of wax dosage, |G*| continued to decrease, but the downward trend slowed down. The softening effect of wax led to an increase in the viscous composition of bitumen.
-
(2)
As the aging degree and wax content increasing, the creep rate of bitumen went down, and the glass transition temperature went up, mainly because they aggravated the association and migration of bitumen components, resulting in a decrease in low temperature performance.
-
(3)
The wax content had a good negative linear relationship with the ultraviolet absorbance of bitumen, inferring that asphaltene was easy to precipitate with wax to reduce the absorption of ultraviolet light.
-
(4)
The sulfoxide index (SI) was the chemical driver for bitumen hardening (r > 0.80) and had a strong antagonistic relationship with UV absorbance (r = -0.93).
-
(5)
The increase of WI and WII promoted hardening, but was positively correlated with fatigue life, suggesting that it may have a positive effect on the fatigue behavior of aging bitumen.
Data availability
Data is provided within the manuscript. “The datasets used and analyzed during the current study are available from the corresponding author upon reasonable request.”
References
Tan, Y. et al. Investigation of the effects of wax additive on the properties of asphalt binder. Constr. Build. Mater. 36, 578–584 (2012).
Schmets, A. et al. On the existence of wax induced phase separation in bitumen. Int. J. Pavement Eng. 11 (6), 555–563 (2010).
Edwards, Y. Influence of waxes on bitumen and asphalt concrete mixture performance. Road. Mater. Pavement Des. 10 (2), 313–335 (2009).
Ding, H. et al. Quantification of crystalline wax in asphalt binders using variable temperature Fourier-transform infrared spectroscopy. Fuel 277, 118220 (2020).
Zhang, H. et al. Exploring physical hardening in bitumen based on 4 mm DSR measurements. Mater. Struct. 57, 149 (2024).
Merusi, F., Polacco, G., Filippi, S. & Giuliani, F. Structural transitions and physical networks in wax-modified bitumens. Road. Mater. Pavement Des. 14 (2), 289–309 (2013).
Mazumder, M. et al. Performance properties of polymer modified asphalt binders containing wax additives. Int. J. Pavem. Res. Technol. 9, 128–139 (2016).
Kolbanovskaya, A. S. & Rudenskii, A. V. Influence of solid paraffins on the structural and rheological properties of bitumens. Kolloidn. Zh. 30, 522–526 (1966).
Jen Kovinich, A. et al. Wax in asphalt: A comprehensive literature review. Constr. Build. Mater. 342, 128011 (2022).
Edwards, Y. & Isaacson, U. Wax in bitumen: part II characterization and effects. Road. Mater. Pavement Des. 6 (4), 434–468 (2005).
Lu, X. & Redelius, P. Effect of bitumen wax on asphalt mixture performance. Constr. Build. Mater. 21, 1961–1970 (2007).
Samieadel, A., Høgsaa, B. & Elham, H. Fini. Examining the implications of Wax-Based additives on the sustainability of construction practices: multiscale characterization of Wax-Doped aged asphalt binder. ACS Sustain. Chem. Eng. 7, 2943–2954 (2019).
Samieadel, A., Oldham, D. & Fini, E.H. Multi-scale characterization of the effect of wax on intermolecular interactions in asphalt binder. Constr. Build. Mater. 157, 1163–1172 (2017).
Blom, J. et al. New evidence on the origin of ‘bee structures’ on bitumen and oils, by atomic force microscopy (AFM) and confocal laser scanning microscopy (CLSM). Fuel 303, 121265 (2021).
Pauli, A. T. et al. Morphology of asphalts, asphalt fractions and model wax-doped asphalts studied by atomic force microscopy. Int. J. Pavement Eng. 12 (4), 291–309 (2011).
Georgios Pipintakos, H. et al. Crystallinity of bitumen via WAXD and DSC and its effect on the surface microstructure. Crystals 12 (6), 755 (2022).
Traxler, R. N. & Romberg, J.W. Asphalt, a colloidal material. Industrial Eng. Chem. 44 (1), 155–158 (1952).
Rubab, S. et al. Effects of engine oil residues on asphalt cement quality. In CTAA Annual Conference Proceedings-Canadian Technical Asphalt Association (2011).
Omari, I., Aggarwal, V. & Hesp, S. Investigation of two warm mix asphalt additives. Int. J. Pavement Res. Technol. 9 (2), 83–88 (2016).
Zeng, W. et al. The temperature effects in aging index of asphalt during UV aging process. Constr. Build. Mater. 93, 1125–1131 (2015).
Mirwald, J. et al. Evaluating the combined effect of photooxidation and thermal ageing of bitumen. Mater. Pavem. Des. 1–14 (2025). https://doi.org/10.1080/14680629.2025.2456919
Georgios Pipintakos, J. et al. Optimising bitumen modification: how styrene–butadiene–styrene (SBS) characteristics and content affect bitumen behaviour. Road. Mater. Pavement Des. 26 (sup1), 443–463 (2025).
Farinaz Safaei, C., Castorena, Y. & Kim, R. Linking asphalt binder fatigue to asphalt mixture fatigue performance using viscoelastic continuum damage modeling. Mech. Time-Dependent Mater. 20, 299–323 (2016).
Chen, M. et al. Effect of water aging on the fatigue performance of asphalt binders using the linear amplitude sweep [J]. Constr. Build. Mater. 304, 124679 (2021).
Savelyeva, A. et al. Study of the optical properties of asphaltenes of wax deposits of oil-water emulsions. J. Phys: Conf. Ser. 1611, 012016 (2020).
Haiqin Zheng. Method of petroleum asphaltene in water by ultraviolet spectrophotometry. Chem. Eng. Des. Commun. 47 (09), 102–104 (2021).
Lu, X., Kalman, B. & Redelius, P. A new test method for determination of wax content in crude oils, residues and bitumens. Fuel 87 (8–9), 1543–1551 (2008).
Gupta, A. K., Brouwer, L. & Severin, D. Phase transitions in petroleum waxes determined by infrared spectroscopy. Pet. Sci. Technol. 16 (1–2), 59–69 (1998).
Zhengang Feng, H. et al. FTIR analysis of UV aging on bitumen and its fractions. Mater. Struct. 49, 1381–1389 (2016).
Zhu, H. et al. Analysis on fatigue life predicted model of aged asphalt based on dissipation energy. J. Highway Transp. Res. Denelopment. 36 (9), 8–13 (2019).
Amirhossein Norouzi, Y. et al. Effect of reclaimed asphalt pavement content and binder grade on Fatigue-Resisting performance of asphalt mixtures in Georgia. J. Mater. Civ. Eng. 29 (9), 04017115 (2017).
Cao, W. et al. Fatigue characterization of bio-modified asphalt binders under various laboratory aging conditions. Constr. Build. Mater. 208, 686–696 (2019).
Zhang, S., Cui, Y. & Wei, W. Low-temperature characteristics and microstructure of asphalt under complex aging conditions. Constr. Build. Mater. 303, 124408 (2021).
Zhang, Q., Sun, H. & Geng, J. Chemical effects of environmental factors on asphalt aging. Adv. Mater. Res. 243–249, 1067–1071 (2011).
Kovinich, J. et al. Modulated differential scanning calorimetry study of wax-doped asphalt binders. Thermochim. Acta. 699, 178894 (2021).
Zhang, H. et al. Spectroscopic ellipsometry studies on optical constants of crystalline wax-doped asphalt binders. Int. J. Pavement Eng. https://doi.org/10.1080/10298436.2022.2042286 (2022).
Elkashef, M. et al. Effect of using rejuvenators on the chemical, thermal, and rheological properties of asphalt binders. Energy Fuels. 34 (2), 2152–2159 (2020).
Sun, G. Prediction of Asphalt Regeneration time Based on Glass Transition Temperature (Dalian University of Technology, 2022).
Cai, J. Effect of carbon number distribution and wax content on stratification of wax deposit layer. J. Xi‘an Shiyou Univ. (Nat. Sci. Ed.) (2022). https://kns.cnki.net/kcms/detail/61.1435.TE.20220328.2209.008.html
Tashiro, K., Sasaki, S. & Kobayashi, M. Structural investigation of orthorhombic-to-hexagonal phase transition in polyethylene crystal: the experimental confirmation of the conformationally disordered structure by X-ray diffraction and infrared/raman spectroscopic measurements. Macromolecules 29 (23), 7460–7469 (1996).
Bellamy, L. J. The Infrared Spectra of Complex Molecules (Wiley, 1960).
Acknowledgements
This research is supported by Open Fund of Key Laboratory of Special Environment Road Engineering of Hunan Province, Changsha University of Science & Technology (kfj230604), Science and Technology Project of Jinhua (2023-4-007), Open Funding of Xi’an Key Laboratory of Modern Transportation Function Materials, Chang’an University (300102313505).
Author information
Authors and Affiliations
Contributions
Mingyuan Chen: Writing the main manuscript text.Leilei He: Data curation.Jiuguang Geng: Investigation.Huaxin Chen: Conceptualization .Yanhui Niu: Visualization. All authors reviewed the manuscript.
Corresponding authors
Ethics declarations
Competing interests
The authors declare no competing interests.
Additional information
Publisher’s note
Springer Nature remains neutral with regard to jurisdictional claims in published maps and institutional affiliations.
Rights and permissions
Open Access This article is licensed under a Creative Commons Attribution-NonCommercial-NoDerivatives 4.0 International License, which permits any non-commercial use, sharing, distribution and reproduction in any medium or format, as long as you give appropriate credit to the original author(s) and the source, provide a link to the Creative Commons licence, and indicate if you modified the licensed material. You do not have permission under this licence to share adapted material derived from this article or parts of it. The images or other third party material in this article are included in the article’s Creative Commons licence, unless indicated otherwise in a credit line to the material. If material is not included in the article’s Creative Commons licence and your intended use is not permitted by statutory regulation or exceeds the permitted use, you will need to obtain permission directly from the copyright holder. To view a copy of this licence, visit http://creativecommons.org/licenses/by-nc-nd/4.0/.
About this article
Cite this article
Chen, M., Geng, J., He, L. et al. Effect of doped wax on the rheological properties and chemical structure of ultraviolet aged bitumen. Sci Rep 15, 28005 (2025). https://doi.org/10.1038/s41598-025-13785-8
Received:
Accepted:
Published:
Version of record:
DOI: https://doi.org/10.1038/s41598-025-13785-8












