Fig. 6
From: Water content alters soil organic carbon metabolism via microbial traits in Tibetan alpine peatlands

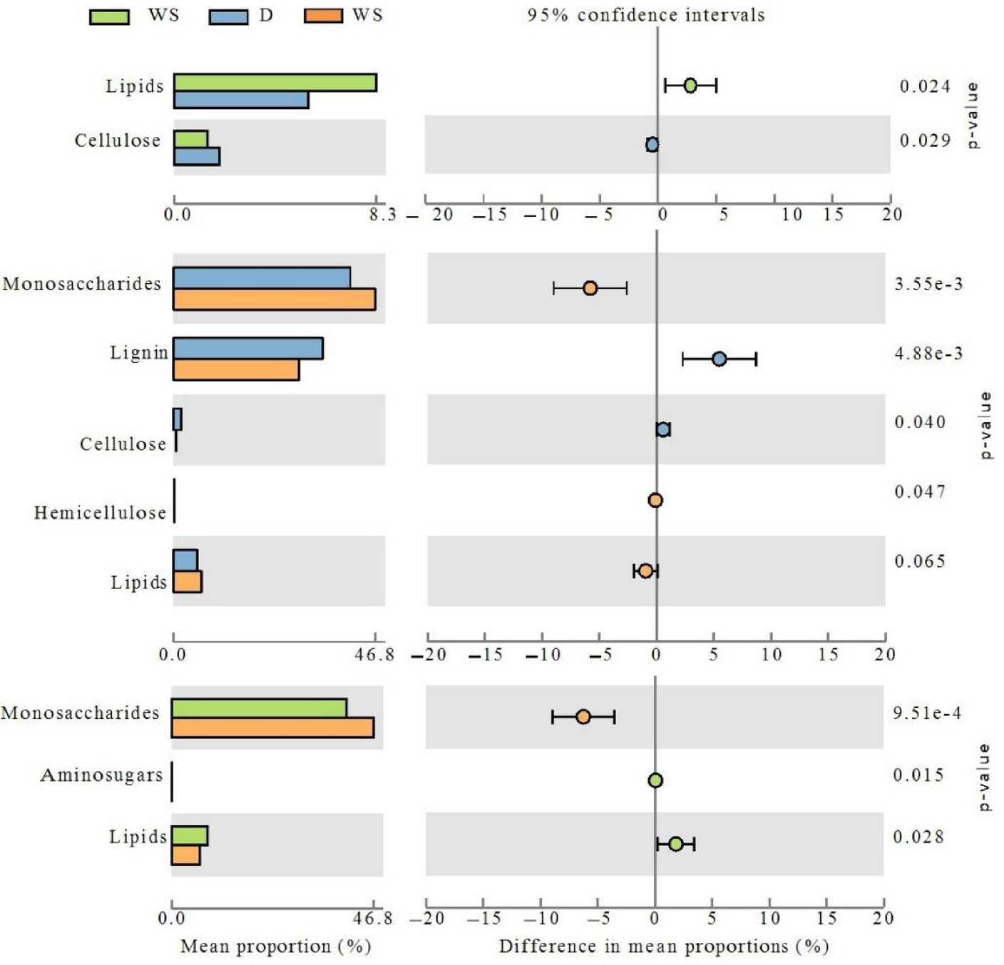
Effects of water changes on functional genes for carbon catabolism. WR is water-rich wetlands, WS is water-scarce wetlands, D is dry wetlands. The differences at p < 0.1 are shown.