Fig. 5
From: Severity-specific immune landscape of COVID-19 revealed by single-cell sequencing

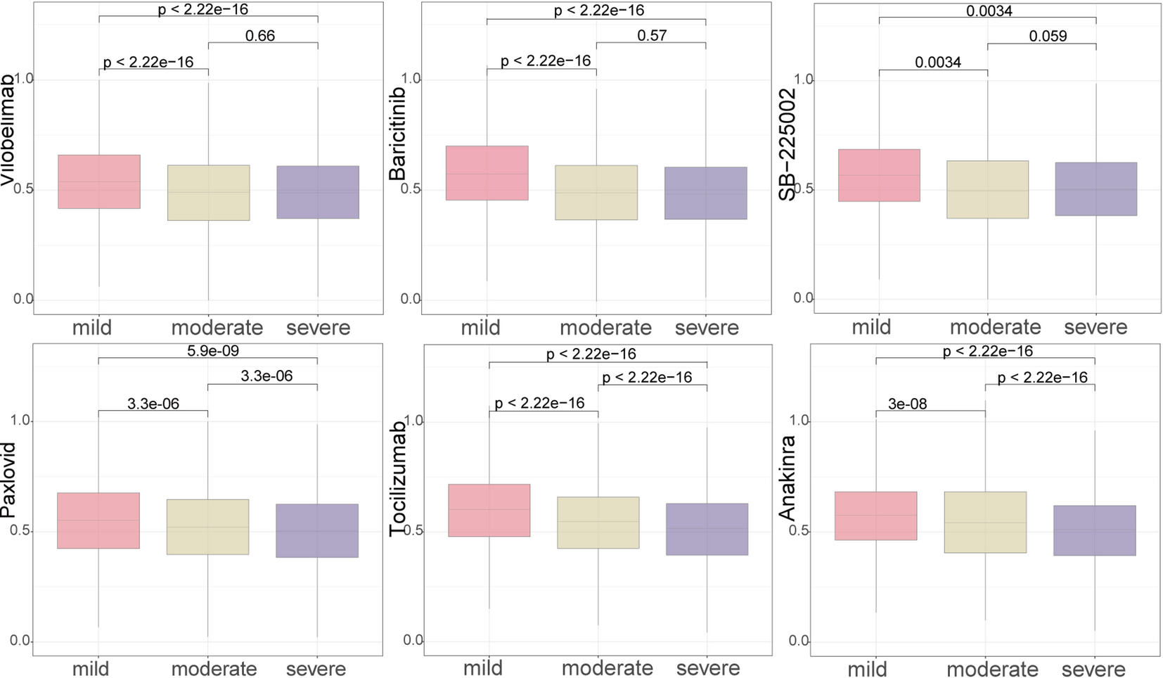
Drug sensitivity analysis of potential non-chemotherapy drugs in COVID-19 patients across different severity levels. Drug sensitivity across COVID-19 patient groups stratified by severity level was analyzed using Wilcoxon rank sum tests, with a statistical significance threshold set at P < 0.05. A “low” IC50 value was defined as significantly lower values observed in comparative analyses among the mild-moderate, mild-severe, or moderate-severe groups, indicating enhanced drug sensitivity in the corresponding COVID-19 severity group. Each point represents the predicted IC50 value of a specific drug for a COVID-19 patient. To improve clarity and comparability, we used standardized IC50 values as the y-axis ranges across all plots.