Fig. 6
From: Severity-specific immune landscape of COVID-19 revealed by single-cell sequencing

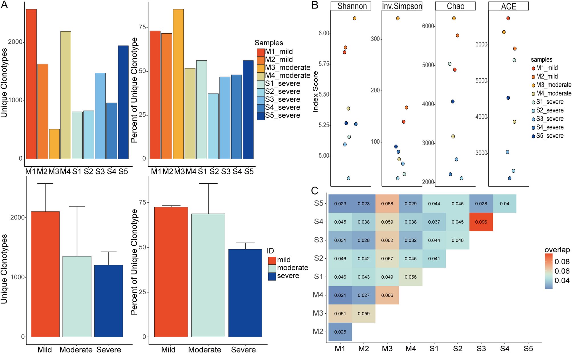
Comparative analysis of TCR differences related to the severity of COVID-19. (A) Analysis of the number of TCR clonotypes in individuals of different severity, the left panel shows the total number of clonotypes per sample and the right panel shows the number of clonal species. (B) Analysis of the number of TCR clonotypes in samples of three severity levels; the left panel shows the total number of clonotypes per sample and the right panel shows the number of clonal species. (C) The fold plot demonstrates the relative distribution of TCR clonotypes in individuals of different severities by abundance. (D) TCR clonotype diversity analyzed by Shannon, inverse Simpson, Chao, and ACE indices, where dots indicate different levels of severity. (E) Clonal spatial homeostasis analysis. The stacked barplot with patient ID on x-axis, relative abundance/occupied space on y-axis and color as clonotype group/clonal indices. (F) Differences in TCR clone occupied repertoire space among different severity levels of COVID-19. The x-axis represents the clonotype index, indicating in the proportion of top clonal clonotypes. (G) Differences in TCR clonal relative abundances among different severity levels of COVID-19. The horizontal axis represents the relative abundance of TCR clones, where “Small” indicates < 0.1%, “Medium” indicates 0.1%−1%, “Large” indicates 1%−10%, and “Hyperexpanded” indicates an abundance exceeding 10%. The vertical axis represents the relative abundance of the small, medium, large, and hyperexpanded clonotypes. Non-significant p-values (ns) and significant p-values (*, p < 0.05) were determined using t-test.