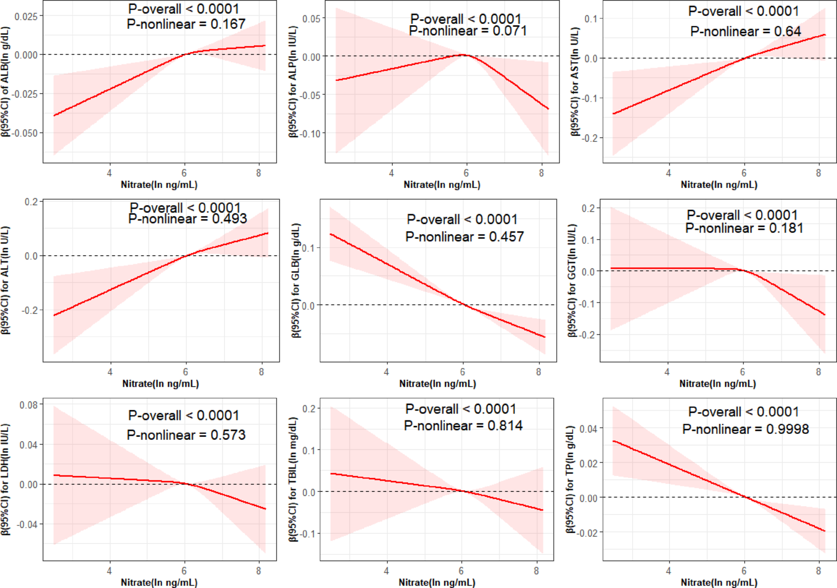
Fig. 2

The results of the RCS of urinary nitrate in relation to serum liver function indices. The model was adjusted for age, gender, education, race, BMI, family PIR, serum cotinine levels, drug use, drink, hypertension, and diabetes.

The results of the RCS of urinary nitrate in relation to serum liver function indices. The model was adjusted for age, gender, education, race, BMI, family PIR, serum cotinine levels, drug use, drink, hypertension, and diabetes.