Abstract
This study explored relationship between concentrations of perchlorate, nitrate, and thiocyanate and serum liver function markers using data from 3366 adults in the 2013–2018 National Health and Nutrition Examination Survey (NHANES) of the United States. Generalized linear model (GLM), restricted cubic spline (RCS) regression model, and quartile g-computation (Qgcomp) regression model were used to assess the relationship. The median concentrations of perchlorate, nitrate, and thiocyanate in urine were 2.33, 42,900, and 1060 ng/mL. The median concentrations for serum liver function indicators were albumin (ALB, 4.2 g/dL), alkaline phosphatase (ALP, 67 IU/L), aspartate aminotransferase (AST, 22 U/L), alanine aminotransferase (ALT, 20 U/L), globulin (GLB,2.9 g/dL), gamma-glutamyl transferase (GGT, 20 IU/L), lactate dehydrogenase (LDH, 132 IU/L), total bilirubin (TBIL, 0.5 mg/dL), total protein (TP, 7.1 g/dL). Adjusted GLM results showed perchlorate was positively correlated with AST and ALT, but negatively with ALP, GLB, GGT, LDH, and TP. Nitrate correlated positively with ALB, AST and ALT, and negatively with GLB and GGT. Thiocyanate was positively correlated with ALP, and negatively with AST, ALT, GLB, LDH, TBIL, and TP. RCS analysis, adjusted for confounders, revealed non-linear relationships for perchlorate with LDH, TBIL, and TP (P-overall < 0.0001, P-nonlinear < 0.05), for thiocyanate with ALB, ALP, ALT, and TBIL (P-overall < 0.0001, P-nonlinear < 0.05). Qgcomp results suggested that exposure to these chemicals was negatively correlated with GLB, TBIL and TP. The study found complex correlations between chlorate, nitrate and thiocyanate concentrations and serum liver function indices.
Similar content being viewed by others
Introduction
The sources of perchlorate, nitrate, and thiocyanate can be broadly divided into two categories: natural and anthropogenic sources. Perchlorate is primarily derived from volcanic activity and the impact of extreme climatic conditions1. In industrial applications, it is commonly used as a key component in rocket fuel, fireworks, and gunpowder. Additionally, perchlorates were commonly detected in food and drinking water2,3. Nitrate can be formed through plant uptake and microbial nitrification processes4. The main anthropogenic sources of nitrate are the use of nitrate-based fertilizers in agriculture5. Furthermore, nitrates and nitrites are widely used as food additives in processed meats to extend their shelf life6,7. The combustion of fossil fuels, as well as the composting of domestic sewage and waste, can also contribute to nitrate formation8,9. Thiocyanates are closely associated with metabolic processes in plants and animals10. Cruciferous plants contain precursors to thiocyanates, which can also be produced through human metabolism11. Thiocyanates are used in a variety of industrial applications, including fuels, pesticides, and pharmaceuticals12. It was also present in the combustion of fossil fuels and tobacco smoke13.
Numerous studies have reported the effects of perchlorate, nitrate, and thiocyanate exposure on human health. Some of these studies have highlighted adverse impacts on various bodily systems, particularly the endocrine, immune, cardiovascular, and nervous systems14,15,16,17,18. However, there are also studies suggesting potential beneficial effects of exposure to these substances, likes chronic kidney disease19. Despite the growing body of research on their overall health effects, the specific impact of these chemicals on liver function remains underexplored, and research in this area is still limited.
Existing studies primarily confirm the association between perchlorate, nitrate, and thiocyanate and non-alcoholic fatty liver disease (NAFLD). An epidemiological study has shown that these environmental pollutants are positively associated with the risk of NAFLD20. There are also experimental studies indicating that perchlorate induces the development of NAFLD in the developing threespine stickleback21. A study has also found that higher nitrate intake may be associated with a reduced likelihood of NAFLD22. This contradictory result suggests the complexity of the biological effects of these environmental chemicals. However, the effects of these environmental chemicals on conventional liver function indicators have not been systematically studied. Liver function indicators are important criteria for clinically assessing liver health.
The liver is a vital organ in the human body, performing essential physiological functions such as detoxification, metabolism, and synthesis. It is vulnerable to a variety of diseases influenced by factors such as diet, lifestyle, environmental pollution, and viral infections23. Common liver conditions include cirrhosis, non-alcoholic fatty liver disease, liver cancer, and chronic hepatitis. As modern society progresses, the burden of these diseases has steadily increased, posing a significant threat to individual health and placing considerable economic and social pressure on countries worldwide24. Liver diseases typically develop over time, as a result of accumulated long-term damage. In the early stages, changes in liver function indicators can often provide early signs of liver health. By monitoring liver function and detecting abnormal indicators early, potential liver issues can be identified in a timely manner, allowing for effective intervention and preventive measures to prevent further disease progression. Therefore, paying close attention to changes in liver function, particularly in the early stages, is crucial for the prevention of liver diseases.
The primary objective of this study is to investigate the relationship between exposure to perchlorate, nitrate, and thiocyanate, and liver function indicators in humans. By assessing the potential risks these chemicals pose to liver health, this study aims to provide a scientific foundation for future public health strategies and disease prevention efforts. Given the growing concerns over environmental pollution, understanding how to effectively protect liver health and reduce the incidence of liver diseases is of significant practical importance.
Results
Descriptive statistical analysis.
Table S1 demonstrates the general situation of urinary perchlorate, nitrate, thiocyanate and serum liver function indices. The median concentrations of perchlorate, nitrate, and thiocyanate were 2.33, 42,900, and 1060 ng/mL, respectively. Median concentrations of ALB, ALP, AST, ALT, GLB, GGT, LDH, TBIL, and TP were 4.2 g/dL, 67 IU/L, 22 U/L, 20 U/L, 2.9 g/dL, 20 IU/L, 132IU/L, 0.5 mg/dL, and 7.1 g/dL, respectively.
Figure S1 shows the Spearman correlations for perchlorate, nitrate, and thiocyanate. The correlation coefficients of perchlorate with nitrate and thiocyanate were 0.59 and 0.25, respectively. The correlation coefficient of nitrate with thiocyanate was 0.41.
Table 1 presents the general characteristics of the participants in this study. A total of 3366 individuals were included, with a mean age of 49.23 ± 17.32 years. The sample consisted of 51.96% males and 48.04% females. In terms of education level, 17.59% had less than a high school education, 24.12% had completed high school, and 58.29% had attended college or received higher education. Ethnic distribution was as follows: 14.32% Mexican Americans, 9.77% other Hispanics, 42.19% non-Hispanic whites, 20.2% non-Hispanic blacks, and 13.52% from other ethnic groups. The mean BMI was 29.62 ± 7.09 kg/m2, while the mean family poverty-income ratio (PIR) was 2.62 ± 1.63. The average serum cotinine level was 63.23 ± 137.40 ng/mL. Additionally, 58.05% of participants were substance users and 15.98% of the participants had a drinking habit. The percentage of participants suffering from hypertension and diabetes was 36.51% and 12.92%, respectively.
Association of urinary perchlorate, nitrate, and thiocyanate exposure with serum liver function index levels
GLM
Table 2 presents the generalized linear model (GLM) results for the associations between urinary perchlorate, nitrate, and thiocyanate levels with serum liver function indices. In the unadjusted model, perchlorate was negatively associated with ALP (β = −0.021, 95% CI −0.035, −0.007), GLB (β = −0.020, 95% CI −0.027, −0.013), LDH (β = −0.011, 95% CI −0.021, −0.001), and TP (β = −0.009, 95% CI −0.012, −0.006), and positively correlated with AST (β = 0.016, 95% CI 0.001, 0.031). Nitrate was negatively correlated with ALP (β = −0.027, 95% CI −0.045, −0.010), GLB (β = −0.020, 95% CI −0.029, −0.011) and GGT (β = −0.108, 95% CI −0.146, −0.070), and positively correlated with ALB (β = 0.010, 95% CI 0.005, 0.015), AST (β = 0.021, 95% CI 0.002, 0.041). Thiocyanate was positively correlated with ALP (β = 0.013, 95% CI 0.004, 0.023), and negatively correlated with AST (β = −0.032, 95% CI −0.043, −0.022), ALT (β = −0.032, 95% CI −0.047, −0.017), GLB (β = −0.006, 95% CI −0.011, −0.002), TBIL (β = −0.047, 95% CI −0.063, −0.031), and TP (β = −0.003, 95% CI −0.005, −0.001). In the adjusted model, the positive correlations were strengthened for perchlorate with ALT (β = 0.040, 95% CI 0.019, 0.061) and for nitrate with ALT (β = 0.048, 95% CI 0.021, 0.075). The negative association between nitrate and ALP was attenuated (β = −0.003, 95% CI −0.021, 0.014).
RCS
Figure 1 illustrates the results of restricted cubic spline regression model (RCS) examining the relationship between perchlorate levels and serum liver function markers after adjusting for covariates. A non-linear and U-shaped relationship was observed between perchlorate and LDH (P-overall < 0.0001, P-nonlinear = 0.007), TBIL (P-overall < 0.0001, P-nonlinear = 0.001), and TP (P-overall < 0.0001, P-nonlinear = 0.047). There may be a linear relationship between perchlorate and both ALB and AST (P-overall < 0.0001, P-nonlinear = 0.947).
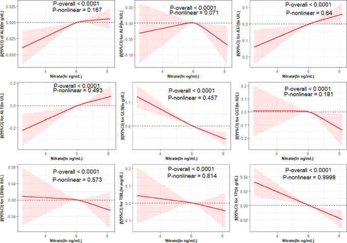
Figure 2 presents the results of the RCS model examining the relationship between nitrate levels and serum liver function markers, adjusted for covariates. There may be a linear relationship between nitrate and TP (P-overall < 0.0001, P-nonlinear = 0.9998).
Figure 3 presents the results of the RCS model examining the relationship between thiocyanate levels and serum liver function markers, adjusted for covariates. A non-linear, inverted U-shaped relationship was observed between thiocyanate and ALB (P-overall < 0.0001, P-nonlinear = 0.005), ALP (P-overall < 0.0001, P-nonlinear = 0.009), ALT (P-overall < 0.0001, P-nonlinear < 0.0001), and TBIL (P-overall < 0.0001, P-nonlinear < 0.0001).
Qgcomp
Figure 4 illustrates the results of the mixed-effects analysis assessing the impact of perchlorate, nitrate, and thiocyanate on serum liver function indices, as evaluated by quartile g-computation (Qgcomp) regression model analysis. Mixed exposure to perchlorate, nitrate, and thiocyanate was negatively correlated with GLB, TBIL and TP.
Stratified analysis
Tables S2 and S3 demonstrate the results of the GLM grouped by gender and age after adjusting for relevant confounders. Overall, the correlation between serum liver function indicators and perchlorate, nitrate, and thiocyanate was enhanced in females and in participants aged < 60 years. Table S4 demonstrates the results of the stratified analysis using serum cotinine levels as a grouping criterion. Participants with serum cotinine ≤ 0.011 ng/mL showed enhanced correlations with perchlorate and nitrate and weakened correlations with thiocyanate. In contrast, participants with serum cotinine > 0.011 ng/mL showed little change in the correlation of liver function indices with these chemicals.
Discussion
This study investigated the association between urinary concentrations of perchlorate, nitrate, and thiocyanate, and serum liver function indices in a representative sample of U.S. adults. After adjusting for confounding factors, we found that perchlorate was positively correlated with AST and ALT, while negatively correlated with ALP, GLB, LDH, and TP. Nitrate showed positive correlations with ALB, AST and ALT, and negative correlations with GLB, and GGT. Thiocyanate was positively correlated with ALP, while negatively correlated with AST, ALT, GLB, TBIL, and TP. We observed a nonlinear relationship between perchlorate and LDH, TBIL and TP, with U-shaped curve. We also identified a potential linear relationship between perchlorate and both ALB and AST. Similarly, we observed a potential linear relationship between nitrate and TP. An inverted U-shaped nonlinear relationship was found between thiocyanate and ALB, ALT, and TBIL, while it was U-shaped with ALP. Additionally, mixed exposure to perchlorate, nitrate, and thiocyanate was negatively correlated with GLB, TBIL, and TP.
The present study revealed the complex association of perchlorate, nitrate and thiocyanate with liver function indices through three statistical models. The results suggest a complex and non-linear association between these environmental chemicals and liver function indices. The differences among the three statistical models were mainly reflected in that the GLM established the direction of the underlying associations, the RCS model identified significant nonlinear dose-response relationships, and the Qgcomp model quantified the synergistic effects of mixed exposures. These findings provide evidence from multiple perspectives for the association of environmental chemicals with liver function and also emphasize the need to consider both nonlinear dose effects and synergistic effects of multiple pollutants in environmental health risk assessment.
As an endocrine disruptor, perchlorate primarily originates from dietary exposure25. Previous studies have revealed an association between perchlorate and metabolic function in humans. Perchlorate can impair thyroid function, increase the risk of metabolic syndrome and diabetes, and reduce bone density in humans10,26,27,28. However, perchlorate has also been shown to benefit kidney function and is negatively associated with overweight or obesity in children19,29. There are fewer studies on the effects of perchlorate on the liver. An animal study found that perchlorate induced the development of non-alcoholic fatty liver disease in spiny dogfish, characterized by hepatocellular hypertrophy and the formation of large lipid vacuoles that displaced the nucleus from the center of the cell21. Our results, after adjusting for confounders, showed that perchlorate was positively associated with AST and ALT, while negatively associated with ALP, GLB, LDH, and TP. Additionally, perchlorate exhibited a non-linear relationship with most liver function indices. This suggests that perchlorate’s effects on the liver are complex. Our cross-sectional study highlights the population-level relationship between perchlorate and liver function, offering insights for future research, although the underlying mechanisms warrant further investigation.
Similarly, nitrates are primarily formed through dietary exposure. Nitrates are widely used as food additives. Additionally, many green leafy vegetables are rich in nitrate precursors. These precursors are metabolized by the body to produce nitrates. Some animal studies and clinical research have shown that nitrates may have beneficial effects on human health. Incorporating moderate nitrates into the diet can help lower blood pressure, improve endothelial function, enhance exercise capacity, and exert antidiabetic effects30,31,32,33. Urinary nitrates also showed a negative correlation with obesity34. Chronic dietary nitrate is beneficial in improving the progression of hepatic steatosis in mice35. However, some studies have also found that urinary nitrates may have harmful health effects, such as a positive correlation with eczema36. The results of this study indicated that nitrate was positively correlated with ALB, AST and ALT, but negatively correlated with GLB, and GGT. Additionally, a potential linear relationship between nitrate and TP was observed. However, further research is needed to better understand the complex effects of nitrates on various health parameters and to clarify the underlying mechanisms.
Thiocyanates are commonly found in glycosidic cyanide-rich plants, such as cruciferous vegetables. The effects of thiocyanates on the human body remain a subject of ongoing controversy. Some studies have suggested that thiocyanates may trigger allergic inflammation36. Urinary thiocyanate has also been linked to the prevalence of cardiovascular diseases37. Thiocyanates have also been associated with an increased risk of metabolic syndrome and arthritis in adults18,26. Higher levels of thiocyanate have also been associated with improved kidney function19. And high levels of thiocyanate have also been shown to improve long-term survival in patients with acute myocardial infarction37. In addition, thiocyanates have a protective effect on the respiratory tract38. It has been demonstrated that thiocyanate can be oxidized in the body, leading to the production of significant amounts of cyanate39. Cyanate can disrupt hepatic lipid metabolism through oxidative stress, potentially resulting in liver damage40. An animal study showed that thiocyanate also affects the expression of metallothionein in rats and the intrinsic distribution of essential elements in the liver, thereby affecting cellular activity41. The results of this study revealed that, after adjusting for confounders, thiocyanate was positively correlated with ALP, but negatively correlated with AST, ALT, GLB, TBIL, and TP. Although all of these studies suggest an effect of thiocyanate with the liver, more experimental studies are still needed to confirm it.
In the present study, exposure to a mixture of perchlorate, nitrate, and thiocyanate was found to be negatively correlated with GLB, TBIL, and TP. Previous studies have shown a positive correlation between a mixture of urinary perchlorate, nitrate and thiocyanate and non-alcoholic fatty liver disease (OR = 1.06, 95%CI 1.02,1.11)20. This suggests that the effects on the liver as a mixture are controversial However, no consistent beneficial or detrimental effects were observed for the other indicators. In addition, this study stratified gender, age and serum cotinine levels. The results showed a stronger correlation between environmental compounds and serum liver function parameters in females and individuals aged < 60 years. This phenomenon may be related to differences in factors such as gender differences, body composition, and lifestyle habits. For example, females may differ from males in metabolism and detoxification, and the younger age group is usually more metabolically active and therefore may respond more significantly to environmental compounds. In addition, the results of this study showed that the correlation between liver function indicators and thiocyanate was attenuated in participating subjects with serum cotinine concentrations ≤ 0.011 ng/mL. In this study, participants with serum cotinine concentrations ≤ 0.011 ng/mL were considered as non-smokers. The tobacco smoke contains cyanide, which can be converted to thiocyanate in the body, leading to a possible increase in thiocyanate levels in the body as a result of inhalation of tobacco smoke10. Therefore, reducing tobacco exposure may help to reduce the accumulation of thiocyanates and thus may mitigate their potential effects on liver function.
The present study aimed to investigate the correlation between urinary perchlorate, nitrate, and thiocyanate levels and liver function indices using a national sample population. Various statistical methods were employed, yielding meaningful results. However, there are some limitations to this study. Firstly, as a cross-sectional study, it cannot establish causality. Secondly, being primarily a correlational study, its findings were not validated through animal experiments or population-based cohort studies.
Conclusion
In conclusion, this study examined the correlation between urinary perchlorate, nitrate, and thiocyanate levels and liver function markers in an adult population in the United States, revealing significant associations. Overall, exposure to perchlorate, nitrate, and thiocyanate may have adverse effects on liver health. Therefore, it is important to raise awareness and implement measures to mitigate the potential health risks associated with exposure to these substances. In addition, since this study was a cross-sectional investigation, the ability to confirm causality was weak, and therefore more cohort studies are needed to validate these correlations.
Materials and methods
Study population
The National Health and Nutrition Examination Survey (NHANES) is a continuous, periodic national cross-sectional survey conducted by the U.S. National Center for Health Statistics. Its primary aim is to assess the health and nutritional status of both adults and children in the United States. The survey is conducted annually using a representative sample, and further details can be found on its official website. This study is based on a cross-sectional analysis, utilizing data from three NHANES survey cycles: 2013–2014, 2015–2016, and 2017–2018. A total of 24,835 individuals participated in the survey from 2013 to 2018. After excluding perchlorate, nitrate, thiocyanate, liver function indicators, covariates, and missing information on key questionnaires, as well as participants with liver disease, 3366 adults (age ranged from 20 to 80 years) were still available for analysis in this study. Figure 5 shows the inclusion exclusion process of specific study subjects. The study protocol was approved by the National Center for Health Statistics (NCHS) Research Ethics Review Board.
Determination of perchlorate, nitrate and thiocyanate
Perchlorate, nitrate, and thiocyanate, which were used as independent variables in this study, were measured in the urine of participating subjects. The experimental measurement data can be accessed on the NCHS website (https://wwwn.cdc.gov/nchs/nhanes/default.aspx). Detailed information on the experimental assays can be found on the NHANES laboratory protocol page. In brief, ion chromatography-electrospray tandem mass spectrometry (IC-ESI-MS/MS) was employed to quantify nitrate, perchlorate, and thiocyanate in human urine. This method used an IonPac AS 16 column with sodium hydroxide as the eluent for chromatographic separation. The eluent was ionized via an electrospray interface to generate negative ions, which were then transferred to a mass spectrometer. The concentration of each analyte was determined by comparing the relative response of the analyte to a stable isotope-labeled internal standard, using the concentration of a known standard for calibration. The detection rates for nitrate, perchlorate, and thiocyanate in the study were all above 99%. For values below the detection limits, a substitution method was applied by dividing the detection value by the square root of 2.
Liver function indicators
In this study, indicators closely related to liver function were selected as observational variables from the biochemical indicators database. The data for these indicators can be accessed on the NCHS website (https://wwwn.cdc.gov/nchs/nhanes/default.aspx). The primary indicators included alanine aminotransferase (ALT), albumin (ALB), alkaline phosphatase (ALP), aspartate aminotransferase (AST), globulin (GLB), gamma-glutamyl transferase (GGT), lactate dehydrogenase (LDH), total bilirubin (TBIL), and total protein (TP). ALT and AST are commonly associated with liver injury, while ALP, GGT, and TBIL are typically linked to biliary obstruction. Additionally, ALB, GLB, and TP are closely related to the liver’s synthetic function. Detailed laboratory procedures for measuring these biochemical parameters can be found on the NHANES website. The quality control and quality assurance protocols of the specimen testing laboratories at NHANES strictly follow the requirements of the Clinical Laboratory Improvement Act of 1988, thus ensuring consistent results for liver function indicators. Values below the detection limit were replaced by dividing the test value by √2.
Covariates
The covariates for this study were selected based on prior literature. We identified potential confounders and effect modifiers. The main covariates included age, gender (male, female), education level (less than high school, high school, college and above), race (Mexican American, other Hispanic, non-Hispanic white, non-Hispanic black, and other races), body mass index (BMI), family poverty-income ratio (PIR), serum cotinine (continuous variable), drug use, drink, hypertension, and diabetes.
Specifically, we obtained demographic information (age, gender, education level, ethnicity, and PIR) about participants from demographic data in NHANES. This information was collected in participants’ homes by trained professionals using a computer-assisted personal interview (CAPI) system. Participants’ BMI was calculated by dividing weight (kg) by the square of height (m). Data were derived from physical examination data. We classified BMI as normal weight (< 25.0 kg/m2), overweight (25.0–29.90 kg/m2), and obese (≥ 30.0 kg/m2) according to World Health Organization criteria. PIR was divided into three groups (< 1.31, 1.31 to 3.50, and > 3.50). We obtained relevant lifestyle habits and health status of the participants through laboratory data and self-reported questionnaire data. We used serum cotinine to assess participants’ environmental tobacco smoke exposure. Serum cotinine was measured by isotope dilution high performance liquid chromatography/atmospheric pressure chemical ionization tandem mass spectrometry (ID HPLC-APCI MS/MS). Participants with serum cotinine concentrations ≤ 0.011 ng/mL were considered nonsmokers, and those with concentrations > 0.011 ng/mL were considered smokers (both active smokers and those exposed to secondhand smoke). Considering the role of drugs in affecting the liver, we used participants’ drug use in the past month as a covariate. The specific question was prescription medication taken in the past month. Participants who answered yes were considered to have a history of medication suitability, and those who answered no were considered to have no history of medication suitability. We categorized the participants as exposed or not to alcohol according to the questionnaire question “Ever have 4/5 or more drinks every day”.We included diabetes as a covariate. The specific question was “Ever told you have prediabetes”. This categorized the participants into yes, no, and borderline. We also included hypertension as a covariate. The specific question on the questionnaire was “Ever told you had high blood pressure” which categorized the participants as having or not having hypertension.
Statistical analyses
Descriptive analysis of general characteristics
For baseline characteristics of survey participants, we used mean ± standard deviation (SD) to describe continuous variables that were normally or nearly normally distributed. We used frequencies or percentages to describe categorical variable data. Quartiles (P25, P50, P75) were used to describe detected concentrations of perchlorate, nitrate, thiocyanate, and serum liver function indicators. Next, we used spearman rank correlation analysis to analyze the correlation between perchlorate, nitrate, and thiocyanate.
Association of urinary perchlorate, nitrate and thiocyanate with serum liver function indices
We adjusted the urinary perchlorate, nitrate, and thiocyanate concentrations according to the urinary creatinine levels, taking into account the dilution effect of urine. To enhance the normality of the data, we treated the corrected levels of perchlorate, nitrate, thiocyanate and each serum liver function index with natural logarithm (ln).
Firstly, a GLM was constructed to investigate the association between urinary perchlorate, nitrate, thiocyanate and the levels of each serum liver function indicator. The adjusted model included all covariates, mainly age, gender, race, education, BMI, PIR, serum cotinine levels, drug use, and physical activity. Effects are expressed as the model β-values and their corresponding 95% CIs.
Secondly, we used RCS regression model to investigate the dose-response and nonlinear relationships between urinary perchlorate, nitrate, and thiocyanate and serum liver function indices. The three nodes of the RCS for perchlorate, nitrate, and thiocyanate were located at the 25th, 50th, and 75th percentiles of their concentration distributions. The reference value was set to the 50th percentile. All covariates were likewise incorporated in the model.
Finally, we used Qgcomp regression model to explore the overall effect of urinary perchlorate, nitrate, and thiocyanate as a mixture on the levels of each liver function indicator and the relative importance of the individual components of the mixture. Qgcomp estimates the overall mixture effect by integrating its estimation procedure with g-calculation. The model allows direct assessment of the effects of different independent variables on the response variable. Because he avoids making claims about the combined effects before testing. The model allows estimating the combined effects of the mixture and elucidating the positive or negative weights of each component42. In this study, the number of bootstrap iterations in the Qgcomp model was set to 10,000 and the parameter q was set to 4. All covariates were likewise incorporated in the model.
In addition, in order to investigate potential interactions between serum liver function markers and urinary perchlorate, nitrate, and thiocyanate, the present study utilized the GLM to stratify analyses by gender and age. All covariates were likewise incorporated in the model.
Data availability
The datasets were available from NHANES 2013-2014, 2015-2016 and 2017-2018 (https://wwwn.cdc.gov/nchs/nhanes/default.aspx).
Change history
04 November 2025
A Correction to this paper has been published: https://doi.org/10.1038/s41598-025-26222-7
References
Dasgupta, P. K. et al. The origin of naturally occurring perchlorate: The role of atmospheric processes. Environ. Sci. Technol. 39 (6), 1569–1575 (2005).
Murray, C. W. et al. US food and drug administration’s total diet study: Dietary intake of perchlorate and iodine. J. Expo. Sci. Environ. Epidemiol. 18 (6), 571–580 (2008).
Blount, B. C. et al. Perchlorate, nitrate, and iodide intake through tap water. Environ. Sci. Technol. 44 (24), 9564–9570 (2010).
Cáceres, R., Malińska, K. & Marfà, O. Nitrification within composting: A review. Waste Manage. (New York NY). 72, 119–137 (2018).
Hakeem, K. R. et al. Nitrate and nitrogen oxides: Sources, health effects and their remediation. Rev. Environ. Contam. Toxicol. 242, 183–217 (2017).
Homem, R. V., Arisseto-Bragotto, A. P., Rodrigues, E. & Cladera-Olivera, F. Theoretical estimation of nitrates and nitrites intake from food additives by the Brazilian population. Food Addi. Contam. Part A, Chem. Anal. Control Expos. Risk Assess. 40(9), 1147–1163 (2023).
Di Nunzio, M. et al. Cleaning the label of cured meat; effect of the replacement of nitrates/nitrites on nutrients bioaccessibility, peptides formation, and cellular toxicity of in vitro digested Salami. Int. J. Mol. Sci. 23(20), 12555 (2022).
Chen, Z. et al. High atmospheric wet nitrogen deposition and major sources in two cities of Yangtze river delta: Combustion-related NH(3) and non-fossil fuel NO(x). Sci. Total Environ. 806 (Pt 1), 150502 (2022).
Sigua, G. C., Adjei, M. B. & Rechcigl, J. E. Cumulative and residual effects of repeated sewage sludge applications: Forage productivity and soil quality implications in South florida, USA. Environ. Sci. Pollut. Res. Int. 12 (2), 80–88 (2005).
Serrano-Nascimento, C. & Nunes, M. T. Perchlorate, nitrate, and thiocyanate: Environmental relevant NIS-inhibitors pollutants and their impact on thyroid function and human health. Front. Endocrinol. 13, 995503 (2022).
Chandler, J. D. & Day, B. J. Thiocyanate: A potentially useful therapeutic agent with host defense and antioxidant properties. Biochem. Pharmacol. 84 (11), 1381–1387 (2012).
Wang, L. et al. Treatment of thiocyanate-containing wastewater: A critical review of thiocyanate destruction in industrial effluents. World J. Microbiol. Biotechnol. 39 (1), 35 (2022).
Leung, A. M. et al. Environmental perchlorate and thiocyanate exposures and infant serum thyroid function. Thyroid: Official J. Am. Thyroid Assoc. 22 (9), 938–943 (2012).
King, L. et al. Environmental exposure to perchlorate, nitrate and thiocyanate, and thyroid function in Chinese adults: A community-based cross-sectional study. Environ. Int. 171, 107713 (2023).
Zhu, K. et al. Association of perchlorate, thiocyanate, and nitrate with dyslexic risk. Chemosphere 325, 138349 (2023).
Guo, J. et al. Environmental toxicant exposure and depressive symptoms. JAMA Netw. Open. 7 (7), e2420259 (2024).
Jiang, W. et al. Association of urinary nitrate with diabetes complication and Disease-Specific mortality among adults with hyperglycemia. J. Clin. Endocrinol. Metab. 108 (6), 1318–1329 (2023).
Zhao, H. et al. Associations of perchlorate, nitrate, and thiocyanate exposure with arthritis and inflammation indicators in young and middle-aged adults, NHANES 2005–2016. Front. Immunol. 15, 1318737 (2024).
Li, W., Wu, H., Xu, X. & Zhang, Y. Environmental exposure to perchlorate, nitrate, and thiocyanate in relation to chronic kidney disease in the general US population, NHANES 2005–2016. Chin. Med. J. 136 (13), 1573–1582 (2023).
Li, W. et al. Analysis of environmental chemical mixtures and nonalcoholic fatty liver disease: NHANES 1999–2014. Environ. Pollut. (Barking, Essex: 1987) 311, 119915 (2022).
Minicozzi, M. R., von Hippel, F. A., Furin, C. G. & Buck, C. L. Sodium perchlorate induces non-alcoholic fatty liver disease in developing stickleback. Environ. Pollut. (Barking Essex: 1987). 251, 390–399 (2019).
Mirmiran, P. et al. Nitrate containing vegetables and dietary nitrate and nonalcoholic fatty liver disease: A case control study. Nutr. J. 22 (1), 3 (2023).
Pimpin, L. et al. Burden of liver disease in europe: Epidemiology and analysis of risk factors to identify prevention policies. J. Hepatol. 69 (3), 718–735 (2018).
Xiao, J. et al. Global liver disease burdens and research trends: Analysis from a Chinese perspective. J. Hepatol. 71 (1), 212–221 (2019).
Kannan, K., Wu, Q. & Li, Z-M. Sources and pathways of human exposure to perchlorate in the united states: A comparison of environmental monitoring and biomonitoring approaches. Environ. Chem. Ecotoxicol. 6, 363–369 (2024).
Guo, X. et al. Associations of perchlorate, nitrate, and thiocyanate with metabolic syndrome and its components among US adults: A cross-sectional study from NHANES. Sci. Total Environ. 879, 163083 (2023).
Wang, D. et al. Associations of perchlorate, nitrate, and thiocyanate with bone mineral density in the US general population: A multi-cycle study of NHANES 2011–2018. Nutrients 16(16), 2658 (2024).
Liu, G. et al. Exposure to perchlorate, nitrate and thiocyanate, and prevalence of diabetes mellitus. Int. J. Epidemiol. 46 (6), 1913–1923 (2017).
Jiang, Q. & Li, Q. Association of environmental exposure to perchlorate, nitrate, and thiocyanate with overweight/obesity and central obesity among children and adolescents in the United States of America using data from the National Health and Nutrition Examination Survey (NHANES) 2005–2016. New Direct Child Adolescent Dev 2022(185–186), 107–122 (2022).
Bonilla Ocampo, D. A. et al. Dietary nitrate from beetroot juice for hypertension: A systematic review. Biomolecules 8(4), 134 (2018).
Alasmari, A. M. et al. Oral nitrate supplementation improves cardiovascular risk markers in COPD: ON-BC, a randomised controlled trial. The Eur. Respiratory J. 63(2), 2202353 (2024).
Jones, A. M. Dietary nitrate supplementation and exercise performance. Sports Med. (Auckland NZ). 44 (Suppl 1), S35–45 (2014).
Ghasemi, A. & Jeddi, S. Anti-obesity and anti-diabetic effects of nitrate and nitrite. Nitric Oxide: Biol. Chem. 70, 9–24 (2017).
Zhu, F. et al. Environmental exposure to perchlorate, nitrate, and thiocyanate in relation to obesity: A population-based study. Environ. Int., 133(Pt B):105191. (2019).
Liu, Y. et al. Beneficial effects of inorganic nitrate in non-alcoholic fatty liver disease. Arch. Biochem. Biophys. 711, 109032 (2021).
Zhu, F. et al. Association of exposures to perchlorate, nitrate, and thiocyanate with allergic symptoms: A population-based nationwide cohort study. Environ. Pollut.(Barking Essex: 1987). 283, 117068 (2021).
Wang, L. et al. Exposure to perchlorate, nitrate and thiocyanate was associated with the prevalence of cardiovascular diseases. Ecotoxicol. Environ. Saf. 230, 113161 (2022).
Ashtiwi, N. M., Kim, S. O., Chandler, J. D. & Rada, B. The therapeutic potential of thiocyanate and hypothiocyanous acid against pulmonary infections. Free Radic. Biol. Med. 219, 104–111 (2024).
Wang, Z. et al. Protein carbamylation links inflammation, smoking, uremia and atherogenesis. Nat. Med. 13 (10), 1176–1184 (2007).
Hu, L. et al. Cyanate induces oxidative stress injury and abnormal lipid metabolism in liver through Nrf2/HO-1. Molecules (Basel Switzerland), 24(18), 3231 (2019).
Aydin, H. H., Celik, H. A. & Ersoz, B. Role of thiocyanate ion in Metallothionein induction and in endogenous distribution of essential elements in the rat liver. Biol. Trace Elem. Res. 90 (1–3), 187–202 (2002).
Keil, A. P. et al. A quantile-based g-computation approach to addressing the effects of exposure mixtures. Environ. Health Perspect. 128 (4), 47004 (2020).
Acknowledgements
The authors acknowledge the contribution and collaboration of all those who participated in this study.
Funding
This research did not receive any specific grant from funding agencies in the public, commercial, or not-for-profit sectors.
Author information
Authors and Affiliations
Contributions
Wancheng Zhang wrote the first draft. Wancheng Zhang and Jianglong Ling acquired and analysed the data. Lanxiu Lan and Qiuhong Guo plotted the figures. Ye Ruan designed the work. Dingchang Wu revised the manuscript. All authors reviewed the manuscript and approved it for submission.
Corresponding authors
Ethics declarations
Competing interests
The authors declare no competing interests.
Ethics approval and consent to participate
The study protocol was approved by NCHS Research Ethics Review Board.
Consent for publication
Not applicable.
Additional information
Publisher’s note
Springer Nature remains neutral with regard to jurisdictional claims in published maps and institutional affiliations.
The original online version of this Article was revised: In the original version of this Article Dingchang Wu was omitted as a corresponding author. Correspondence and requests for materials should also be addressed to 2658720712@qq.com.
Supplementary Information
Below is the link to the electronic supplementary material.
Rights and permissions
Open Access This article is licensed under a Creative Commons Attribution-NonCommercial-NoDerivatives 4.0 International License, which permits any non-commercial use, sharing, distribution and reproduction in any medium or format, as long as you give appropriate credit to the original author(s) and the source, provide a link to the Creative Commons licence, and indicate if you modified the licensed material. You do not have permission under this licence to share adapted material derived from this article or parts of it. The images or other third party material in this article are included in the article’s Creative Commons licence, unless indicated otherwise in a credit line to the material. If material is not included in the article’s Creative Commons licence and your intended use is not permitted by statutory regulation or exceeds the permitted use, you will need to obtain permission directly from the copyright holder. To view a copy of this licence, visit http://creativecommons.org/licenses/by-nc-nd/4.0/.
About this article
Cite this article
Zhang, W., Ling, J., Lan, L. et al. A study of the correlation between urinary perchlorate, nitrate, thiocyanate, and serum liver function indices. Sci Rep 15, 30208 (2025). https://doi.org/10.1038/s41598-025-14052-6
Received:
Accepted:
Published:
Version of record:
DOI: https://doi.org/10.1038/s41598-025-14052-6







