Abstract
This study, part of the HEROES project (HEart failure Risk factOrs and patiEnt Stratification), aimed to identify clinical, laboratory, functional, and treatment-related factors associated with hospitalization duration (above and below 8 days) in patients admitted for acute decompensated heart failure (ADHF). We analyzed 562 Caucasian patients hospitalized due to acute decompensated heart failure (ADHF), divided into two groups based on length of stay (LOS): ≤ 8 days (n = 287; 51.07%) and > 8 days (n = 275; 48.93%). In the ≤ 8 days group, 203 patients (70.73%) were male, while in the > 8 days group, 202 patients (73.45%) were male. Data on sociodemographic features, clinical characteristics, laboratory and imaging findings, treatment details, and patient-reported health status (KCCQ-12) were collected. Multivariate logistic regression identified independent predictors of prolonged hospitalization. Patients with longer LOS had higher NYHA class (p < 0.001), greater comorbidity burden (p = 0.0019), longer intensive cardiac care unit (ICCU) stay (p < 0.001), and higher in-hospital mortality (p = 0.0006). They also showed elevated NT-proBNP (p < 0.0001), procalcitonin (p = 0.03), and creatinine (p = 0.0002), and lower hemoglobin (p = 0.004), hematocrit (p = 0.014), and sodium (p = 0.0325). In the multivariate analysis, independent predictors of prolonged hospitalization included treatment with norepinephrine (OR = 18.41), dopamine (OR = 8.62), and oral iron therapy (OR = 3.25). Conversely, protective factors associated with a reduced risk of prolonged hospitalization were higher KCCQ-12 scores (OR = 0.98), higher systolic blood pressure at admission (OR = 0.99), and prior statin use (OR = 0.56). In the HEROES study, prolonged hospitalization among ADHF patients was associated with more severe symptoms of heart failure decompensation higher comorbidity load, impaired functional and laboratory parameters and need for longer stay in ICCU. Early identification of high-risk patients may facilitate personalized management and optimize healthcare resource utilization.
Similar content being viewed by others
Introduction
Heart failure (HF) is a chronic clinical syndrome resulting from the inability to provide an adequate cardiac output to meet the metabolic demands of the body at rest or during exertion. This condition may manifest as dyspnea, peripheral edema, and progressively reduced exercise tolerance1. HF is independent of LVEF and is classify into HFrEF, HFmrEF and HFpEF. Its pathophysiology involves not only hemodynamic alterations, but also activation of the sympathetic nervous system, the renin-angiotensin-aldosterone system (RAAS), and inflammatory pathways, all of which contribute to cardiac remodeling and disease progression2.
Globally, HF represents a significant epidemiological and clinical challenge. According to data from the early second decade of the twenty-first century, its prevalence in the general population is approximately 1–2%, while in individuals over the age of 70, it may exceed 10%3. In developed countries, despite advances in the prevention and treatment of cardiovascular diseases, the number of patients with HF continues to rise, mainly due to population aging and increased survival among patients with coronary artery disease4. Attention should also be given to the increasing detection of heart failure with preserved ejection fraction (HFpEF), which prevalence in recent years has surpassed that of heart failure with reduced ejection fraction (HFrEF)5.
HF is the leading cause of hospitalization among individuals over 65 years of age, with decompensations of HF accounting for millions of hospital admissions annually6. Hospitalizations due to heart failure (HF) are associated with a high risk of complications as well as a long-term increase in the risk of mortality and symptom recurrence7. Despite significant advances in pharmacological treatment, as well as continuous progress in outpatient care and telemedicine, HF remains characterized by a high rate of rehospitalization and imposes a substantial burden on healthcare systems8.
The length of hospital stay for patients admitted due to decompensation of heart failure can be highly variable, and prolonged hospitalization is associated with worse prognosis, increased risk of hospital-acquired complications, and higher healthcare costs9. In the European population, the average length of stay for patients with acute heart failure ranges from 7 to 12 days10. Recent studies indicate that a hospital stay longer than 8 days due to heart failure is associated with more severity disease at admission and it is associated with increased all-cause mortality11.
Existing scientific literature has primarily focused on analyzing factors influencing survival12 and the risk of rehospitalization13, however, relatively few studies have addressed factors determining the length of hospital stay14.
Identifying predictors of prolonged hospitalization may enable earlier implementation of preventive measures, optimization of treatment processes, and more efficient use of healthcare resources15. A better understanding of factors influencing length of hospital stay may also facilitate the development of individualized discharge and rehabilitation plans, minimizing the risk of complications and hospital readmissions.
The aim of this study was to perform a multifactorial assessment of demographic, clinical, biochemical, and therapeutic factors associated with hospitalization duration in patients admitted for acute heart failure decompensation. By comparing groups hospitalized for ≤ 8 days and > 8 days, we aimed to identify and select risk factors and predictive variables for prolonged hospitalization that may contribute to extended hospital stays.
Materials and methods
The analysis was conducted as part of the HEROES study (HEart failuRe ObsErvational Study), a prospective, multicenter registry initiated by the Polish Cardiac Society16. The study included both hospitalized patients and outpatients with a diagnosis of heart failure. The project was launched on April 2, 2022, and patient recruitment was completed on March 27, 2024.
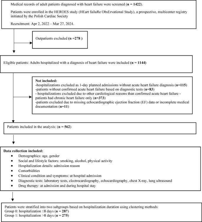
Initially, medical records of 1422 adult patients diagnosed with heart failure were screened. Outpatients (n = 278) were excluded, resulting in a cohort of 1144 hospitalized patients. For the purposes of this analysis, only hospitalizations due to acute heart failure were considered. Therefore, hospitalizations for other cardiac causes unrelated to acute heart failure (n = 373) and cases without confirmed acute heart failure based on diagnostic tests (n = 83) were excluded. Additionally, one-day planned admissions without acute heart failure diagnosis (n = 115) and patients with missing echocardiographic ejection fraction (EF) data or incomplete medical documentation (n = 11) were excluded. Ultimately, 562 hospitalizations met all the following criteria and were included in the final analysis: confirmed diagnosis of acute heart failure, availability of echocardiographic data including EF, and complete medical records. The primary objective of this study was to identify risk factors associated with prolonged hospitalization. The 8-day threshold was determined using cluster analysis, which identified two clearly distinct groups with significantly different lengths of hospitalization: group 0—hospitalization ≤ 8 days (n = 287) and group 1—hospitalization > 8 days (n = 275). The median length of stay was 6 days (IQR 5–7) in the ≤ 8-day group and 13 days (IQR 10–18) in the > 8-day group. There is no universally accepted definition of prolonged hospitalization in heart failure; many analyses use thresholds close to the median length of stay (typically 7–9 days in Europe). The > 8-day threshold adopted in our study reflects the distribution observed in our cohort and is consistent with data from the ESC-HF-LT Registry17. A schematic representation of the patient selection process is presented in Fig. 1.
Flowchart of study participant inclusion.
Analyzed variables
Patients were divided into two groups based on the duration of hospitalization. hospitalized for no longer than 8 days (≤ 8 days) and those hospitalized for more than 8 days (> 8 days).The study evaluated a comprehensive range of categories, including demographic and clinical data, laboratory parameters, imaging studies, electrocardiographic features, and pharmacological and interventional treatments administered before admission and during hospital stay.
Demographic and clinical variables included age, gender, body mass index (BMI), systolic and diastolic blood pressure, heart rate, and New York Heart Association (NYHA) functional class. The clinical profile on admission was categorized as cold-dry, cold-wet, warm-dry, or warm-wet. Lifestyle factors included alcohol consumption and cigarette smoking, each categorized as current, former, or never. Medical history encompassed a comprehensive list of comorbidities and etiological factors for heart failure: arterial hypertension, atrial fibrillation, diabetes mellitus, chronic kidney disease (including dialysis dependence), anemia, iron deficiency, thyroid disorders, history of myocardial infarction, stable angina, stroke, transient ischemic attack (TIA), peripheral arterial disease, cancer, and depression and etiological factors included: ischemic heart disease, arterial hypertension, significant valve disease, cardiomyopathies (including inherited genetic, presumed drug-induced, presumed toxic, confirmed infective, and congenital heart defects), and arrhythmias.
Hospitalization characteristics included the total length of hospital stay and length of stay in the Intensive Cardiac Care Unit (ICCU), as well as whether the current hospitalization was the first due to heart failure or a recurrent admission.
Symptoms and signs on physical examination included ascites, elevated jugular venous pressure (JVP), positive hepatojugular reflux, hepatomegaly, laterally displaced apical impulse, peripheral edema (ankle or thigh), pleural effusion, pulmonary rales, weight gain, presence of a third heart sound, dyspnea at rest, and orthopnea. The total number of clinical symptoms was also recorded, with patients categorized as having ≤ 2 or > 2 clinical symptoms.
Laboratory parameters included cardiac biomarkers such as NT-proBNP, troponin I, and troponin T; inflammatory markers including CRP and procalcitonin; hematological indices such as hematocrit, hemoglobin, ferritin and transferrin saturation; electrolytes (sodium, potassium); renal function measured by serum creatinine; glycemic parameters such as fasting glucose and glycated hemoglobin (HbA1c); liver function tests (ALT, AST, total bilirubin) and lipid profile including HDL, LDL, total cholesterol, and triglycerides. Thyroid function was evaluated via serum thyroid-stimulating hormone (TSH).
Imaging studies included echocardiography, chest X-ray, and lung ultrasound. Echocardiographic parameters included left ventricular ejection fraction (LVEF) to classify patients into HFpEF, HFmrEF, and HFrEF subgroups, as well as left ventricular end-diastolic diameter and inferior vena cava respiratory variability. Chest X-rays were analyzed for signs of pulmonary edema, pleural effusion, and signs of infection. Lung ultrasound was analyzed for evidence of interstitial pulmonary edema and pleural effusion.
Electrocardiographic analysis included assessment of rhythm (sinus, atrial fibrillation, atrial flutter, atrial pacing), presence of left ventricular hypertrophy (LVH), pathological Q waves, conduction abnormalities (QRS prolongation, left or right bundle branch block, intraventricular conduction delay), as well as ventricular rate and rhythm (spontaneous, paced, ventricular tachycardia, or ventricular fibrillation).
Cardiological drug treatment was assessed both pre-hospital and during hospitalization. Pre-admission therapy assessment included use of angiotensin-converting enzyme inhibitors (ACEIs), angiotensin receptor blockers (ARBs), angiotensin receptor neprilysin inhibitors (ARNIs), beta-blockers, diuretics, ivabradine, mineralocorticoid receptor antagonists (MRAs), sodium-glucose co-transporter 2 (SGLT2) inhibitors, and statins. The assessment of pharmacotherapy during hospital treatment included the use of intravenous and oral iron supplementation, diuretics intravenous with consideration of the duration of treatment, inotropic drugs (dobutamine, dopamine, epinephrine, levosimendan, milrinone, noradrenaline) and the total number of concomitantly administered drugs to assess polypharmacy.
Furthermore, data were collected on implantable devices, including cardiac resynchronization therapy (CRT), implantable cardioverter-defibrillators (ICDs), and pacemakers (PMs). Mechanical circulatory support methods included extracorporeal membrane oxygenation (ECMO), intra-aortic balloon pump (IABP), Impella device, left ventricular assist devices (LVADs), and respiratory support, including active and passive oxygen supplementation and mechanical ventilation.
Statistical analysis
Statistical analysis was performed using Statistica software, version 13.3 (TIBCO Software Inc., 2017, Palo Alto, CA, USA, http://statistica.io), under the license of the Poznan University of Medical Sciences. Categorical variables were presented as counts and percentages, while continuous variables were expressed as means and standard deviations (SD) for normally distributed data or as medians with interquartile ranges (25th and 75th percentiles) for non-normally distributed data. The Shapiro-Wilk test was used to assess the normality of data distribution. The chi-square (χ2) test was used to compare categorical variables between groups. For continuous variables, the Student’s t-test was applied when the assumption of normality was met; otherwise, the nonparametric Mann-Whitney U test was used. Correlations between continuous variables were assessed using Spearman’s rank correlation coefficient, to identify potential risk factors for prolonged hospitalization (defined as a hospital stay exceeding 8 days). For clarity, the correlation results were categorized and presented according to the strength (strong, moderate, weak) and direction (positive, negative) of association. Multivariable logistic regression analysis was performed using the enter method (all selected variables were entered simultaneously) to identify independent predictors of extended length of stay (LOS). Odds ratios (ORs) with 95% confidence intervals (CIs) were calculated for each variable. The area under the receiver operating characteristic (ROC) curve (AUC) was used to assess the performance of the final model. A p value of < 0.05 was considered statistically significant.
Research ethics
Data were collected using an electronic case report form (eCRF), in accordance with data protection regulations, including the General Data Protection Regulation (GDPR). The study protocol was approved by the Bioethics Committee of the Medical University of Lodz (approval no. RNN/316/20/KE, with amendment KE/762/23) and was funded by the Polish Cardiac Society (contract no. CRU0120-KCKB-2023). Written informed consent was obtained from all participants.
Results
Table 1 presents the demographic, lifestyle, and functional, clinical state, laboratory and imaging test results, echocardiography, ECG findings, pharmacotherapy and treatment in-hospital characteristics of the patients stratified by hospital stay length (≤ 8 days vs. > 8 days). There were no statistically significant differences between groups in age (mean 67.17 ± 13.71 vs. 67.4 ± 14.74 years; p = 0.5766) or gender distribution (female 29.27% vs. 26.54%; p = 0.4724), confirming baseline comparability. Lifestyle factors such as smoking status (current 17.42% vs. 14.18%; p = 0.2972) and alcohol consumption (current 5.92% vs. 4.36%; p = 0.2166) did not differ significantly between groups.
Patients with longer hospital stays (> 8 days) had significantly lower Kansas City Cardiomyopathy Questionnaire-12 (KCCQ-12) scores across all domains, with median overall summary score of 26.82 (IQR 17.44–46.09) versus 39.58 (23.18–57.81) in the ≤ 8 days group (p < 0.0001). Scores for physical limitation, quality of life, symptom frequency, and social limitation domains were all significantly lower (all p < 0.0001). Visual Analogue Scale (VAS) scores were also significantly lower (median 44 [30–55] vs. 50 [40–60; p < 0.0001).
In-hospital mortality was higher among patients with longer stays (28% vs. 16.28%; p = 0.0006). They also had a higher median number of comorbidities (4 [2–5] vs. 3 [2–5]; p = 0.0019), longer median total hospital stay (13 [10–18] vs. 6 [5–7] days; p < 0.0001), and longer stay in the intensive cardiac care unit (median 0 [0–6] vs. 0 [0–0] days; p < 0.0001). Specific comorbidities were more prevalent, including anemia (21.09% vs. 10.45%; p = 0.0005), iron deficiency (13.09% vs. 7.66%; p = 0.0347), and chronic kidney disease (40% vs. 2.78%; p = 0.0013).
Clinical examination at admission revealed significantly lower systolic (124.18 ± 25.87 mmHg vs. 131.29 ± 24.42 mmHg; p = 0.0004) and diastolic (76.26 ± 15.56 mmHg vs. 79.3 ± 14.14 mmHg; p = 0.0065) blood pressure in the prolonged-stay group. NYHA class was significantly more advanced (p < 0.0001), with higher proportions in class III–IV. Congestion and volume overload signs were also more frequent: ascites (9.09% vs. 4.53%; p = 0.0315), hepatojugular reflux (19.64% vs. 8.36%; p = 0.0001), laterally displaced apical impulse (14.91% vs. 9.06%; p = 0.0326), peripheral oedema (65.09% vs. 52.26%; p = 0.0021), pleural effusion (27.27% vs. 16.72%; p = 0.0025), weight gain (32.73% vs. 21.60%; p = 0.003), orthopnea (39.27% vs. 29.62%; p = 0.0161), and a higher median number of symptoms per patient (4 [2–7] vs. 3 [1–5]; p < 0.0001).
Laboratory findings in the > 8 days group included significantly higher NT-proBNP (median 5352 [2785–10737] vs. 2996 [1112–7025] pg/ml; p < 0.0001), procalcitonin (0.09 [0.05–0.25] vs. 0.055 [0.02–0.155] ng/mL; p = 0.03), creatinine (1.33 [1.05–1.86] vs. 1.145 [0.95–1.53] mg/dL; p = 0.0002), and fasting glucose (107 [89.25–13.50] vs. 98 [83.50–120] mg/dL; p = 0.002). Lower hematocrit (40% vs. 41%; p = 0.014), hemoglobin (13.20 g/dL vs. 13.70 g/dL; p = 0.004), ferritin (median 131.24 vs. 108 ng/mL; p = 0.0337), sodium (139 vs. 140 mmol/l; p = 0.0325), and HDL cholesterol (37 vs. 40 mg/dL; p = 0.0449) were also observed.
Imaging and echocardiography differences included higher frequency of pleural effusion (35.64% vs. 24.39%; p = 0.0036), inflammatory changes on chest X-ray (12% vs. 5.23%; p = 0.0041), and lower respiratory variation of the inferior vena cava (mean 0.55 ± 0.50 vs. 0.67 ± 0.47; p = 0.0008).
In-hospital pharmacological treatment also differed significantly between groups. Patients with longer stays received intravenous diuretics more often (75.27% vs. 56.10%; p < 0.0001) and for a longer duration (median 8 [5–11] vs. 4 [3–5] days; p < 0.0001). Inotropic support was more common: dobutamine (15.64% vs. 7.32%; p = 0.0022), dopamine (7.4% vs. 0.70%; p < 0.0001), epinephrine (2.55% vs. 0%; p = 0.0069), norepinephrine (6.55% vs. 0.35%; p = 0.0001), and levosimendan (1.82% vs. 0%; p = 0.0226). Polypharmacy was also more frequent, with a higher mean number of medications (5.98 ± 2.38 vs. 5.51 ± 2.14; p = 0.0291) and a larger proportion receiving > 5 medications (9.82% vs. 0.70%; p < 0.0001). Mechanical circulatory support use was significantly higher, including IABP (1.45% vs. 0%; p = 0.0415), LVAD (2.18% vs. 0%; p = 0.0124), and invasive mechanical ventilation (2.18% vs. 0%; p = 0.0124).
These results indicate that prolonged hospitalization was associated with worse functional status, higher symptom burden, more severe laboratory and imaging abnormalities, and more complex and intensive in-hospital cardiological management.
In the analysis performed using Spearman’s rank correlation coefficient, only statistically significant associations were included between the length of hospitalization and clinical parameters, subjective health status, laboratory test results, and administered therapies. A strong positive correlation was observed between hospitalization duration and the duration of intravenous diuretic therapy (r = 0.603; p < 0.0001), suggesting that longer IV diuretic treatment is associated with longer hospital stays. A moderate positive correlation was found for procalcitonin levels (r = 0.335; p = 0.0001), indicating an association between elevated inflammatory markers and prolonged hospitalization. Weak positive correlations were identified for clinical parameters such as length of stay in the Intensive Cardiac Care Unit, number of reported symptoms per patient, peripheral oedema, weight gain, dyspnea at rest, hepatojugular reflux, and displaced apical impulse. Laboratory values with weak positive correlations included NT-proBNP, ferritin, and creatinine. Imaging and exam findings such as chest X-ray pleural effusion and signs of pleural effusion on examination also demonstrated weak positive associations. Use of inotropic agents (norepinephrine, epinephrine, dopamine, dobutamine, levosimendan) and mechanical circulatory support (IABP, ECMO, LVAD) as well as invasive mechanical ventilation were also positively correlated with longer hospitalizations. Conversely, weak negative correlations were observed for the overall KCCQ-12 score and its domains (physical limitations, quality of life, social limitations, symptom frequency), indicating that better patient-reported health status was associated with shorter stays. Lower Visual Analogue Scale scores were similarly associated with longer hospitalization. Blood pressure values (systolic and diastolic), hemoglobin, hematocrit, sodium levels, and inferior vena cava respiratory variation also showed weak negative correlations with length of stay. These findings highlight that prolonged hospitalization is associated with more severe clinical status, volume overload symptoms, renal dysfunction, systemic inflammation, hematologic and electrolyte disturbances, and the need for advanced pharmacological and mechanical support. A detailed summary of the significant correlation results is presented in Table 2.
Multivariate logistic regression analysis identified several independent predictors of prolonged hospitalization among patients admitted due to decompensated heart failure. The strongest risk factor was the use of norepinephrine infusion during hospitalization (OR = 18.41; p = 0.0049), followed by dopamine infusion (OR = 8.62; p = 0.0043) and oral iron therapy (OR = 3.25; p = 0.0045). In-hospital use of diuretics (OR = 2.15; p = 0.0001), death during follow-up (OR = 2.47; p = 0.0006), and signs of inflammation on chest X-ray (OR = 2.24; p = 0.0152) were also significantly associated with longer hospitalization. Other clinical variables significantly associated with prolonged hospital stay included the presence of anemia (OR = 1.88; p = 0.0162), chronic kidney disease (OR = 1.58; p = 0.0151), hepatojugular reflux on admission (OR = 2.18; p = 0.0075), and a higher number of symptoms on admission (OR = 1.60; p = 0.0498). In addition, longer duration of diuretic therapy and longer stay in the intensive cardiac care unit were associated with increased odds of prolonged hospitalization (p < 0.01 for both). Conversely, protective factors associated with a reduced risk of prolonged hospitalization included higher KCCQ-12 scores (OR = 0.98; p < 0.0001 for total score and all subscales of physical limitation, social limitation, symptom frequency, and quality of life), higher systolic blood pressure at admission (OR = 0.99; p = 0.0243), and prior statin use (OR = 0.63; p = 0.0102). The performance of the final multivariable logistic regression model was further evaluated using the receiver operating characteristic (ROC) curve. The area under the ROC curve (AUC) was 0.82 (95% CI 0.76–0.88), indicating good discrimination ability of the model. The distribution of odds ratios with corresponding confidence intervals for all significant variables is visualized in the forest plot (Fig. 2).
Forest Plot Illustrating Independent Risk and Protective Factors Associated with Prolonged Hospitalization in Patients with Acute Decompensated Heart Failure—Multivariate Logistic Regression Analysis. Blue color: protective factors, red color: risk factors, Statistical significance indicated by p-value. CI, Confidence Interval; ECG—Electrocardiography; KCCQ-12—Kansas City Cardiomyopathy Questionnaire; OR-Odds Ratio.
Discussion
The multicenter HEROES study makes an important contribution to the literature by providing new data on factors associated with prolonged hospitalization due to acute decompensated heart failure. We analyzed a large European cohort of 562 patients with a mean age of 67 years, using a cluster-based approach to divide them into two clinically meaningful groups based on length of stay (≤ 8 days vs. > 8 days), consistent with ESC recommendations for defining prolonged hospitalization1,18. Such a large study population ensures strong statistical power and good representativeness of results, reflecting real-world inpatient care challenges and allowing us to identify risk factors that warrant particular attention in managing extended hospital stays.
Unlike studies such as Sricharoen et al.19, which focused on predictors identified in the emergency department, or Ignatavičiūtė et al.10, which emphasized NT-proBNP, eGFR, and discontinuation of chronic therapies, our analysis combined the assessment of a broad spectrum of clinical parameters with a detailed evaluation of in-hospital management and multivariate modeling (Fig. 2) that incorporated both the prevalence and strength of influence of individual factors on the risk of prolonged hospitalization. Our study included a wide range of variables (Table 1), from patient-reported functional status (KCCQ-12) to symptoms at admission, laboratory and diagnostic results, and detailed data on in-hospital therapies.
In analyzing factors associated with length of stay (Table 1), we observed significantly higher in-hospital mortality, longer mean hospitalization duration, and longer mean stays in the intensive cardiac care unit, as well as a greater burden of comorbidities such as anemia, iron deficiency, and chronic kidney disease in patients hospitalized for more than 8 days. These findings are consistent with prior studies by Gheorghiade et al.20 and Gyalai-Korpos et al.21, which noted that longer hospitalizations are often associated with more severe clinical presentations, higher mortality, multimorbidity, and more advanced stages of disease—particularly advanced chronic kidney disease.
Our clinical parameter analysis (Table 1) demonstrated that patients hospitalized for more than 8 days had lower diastolic blood pressure, more advanced NYHA class, and more symptoms on admission, including more frequent findings such as ascites, hepatojugular reflux, laterally displaced apical impulse, peripheral oedema, pleural effusion, weight gain, third heart sound, dyspnea at rest, and orthopnea. We also observed a higher frequency of radiographic signs of pulmonary infection among patients with longer stays (Table 1). These findings align with Tarekegn et al.6, who identified clinical congestion markers such as jugular venous distention, third heart sound, ankle edema, hepatomegaly, and pleural effusion as significant predictors of prolonged hospitalization in an Ethiopian cohort. Similarly, Gyalai-Korpos et al.21 highlighted the key role of advanced NYHA class and comorbidities in extending length of stay in older Romanian patients. In contrast, Tigabe et al.22 identified not only orthopnea, paroxysmal nocturnal dyspnea, and the number of comorbidities, but also the presence of infection as a factor associated with length of hospital stay.
In our study, we observed significant correlations between length of stay and laboratory parameters such as elevated NT-proBNP, procalcitonin, and creatinine levels (Table 2), confirming the relationship between systemic inflammation, volume overload, renal dysfunction, and disease severity. These results are consistent with earlier observations by Ignatavičiūtė et al.10 and Deng et al.23. Additionally, negative correlations with parameters such as hemoglobin, hematocrit, and sodium levels (Tables 1 and 2) emphasize the impact of anemia and electrolyte disturbances as factors worsening prognosis and prolonging hospitalization24. Similarly, Sricharoen et al.19 identified anemia and hypoalbuminemia as important prognostic factors for prolonged hospital stays in patients with acute heart failure. Future analyses could also benefit from incorporating additional biomarkers and predictive factors suggested in the literature, such as hypoalbuminemia and novel heart failure biomarkers linked to length of stay and mortality25,26.
Pharmacologic management, especially prolonged intravenous diuretic therapy and the use of inotropic agents, was strongly associated with longer hospital stays, reflecting more severe clinical trajectories in patients requiring advanced treatment (Table 2). Our analysis specifically examined the use of intravenous diuretics, inotropic therapy (norepinephrine, dopamine), and oral iron supplementation, demonstrating their association with prolonged hospitalization in both correlation and multivariate analyses. The association with oral iron therapy may reflect pre-existing chronic anemia managed with continued inpatient treatment. Correlation analysis allowed us to identify not only strong risk factors such as duration of intravenous diuretic therapy and procalcitonin levels but also weaker yet statistically significant associations (Table 2). The more frequent need for mechanical circulatory support and invasive mechanical ventilation (Table 1) further confirmed the complexity and severity of clinical status in the group with prolonged hospitalization27.
Importantly, our study is among the first to identify independent protective predictors against prolonged hospitalization, such as higher systolic blood pressure at admission, prior statin use, and better functional status as assessed by KCCQ-12 (Fig. 2). KCCQ-12 results demonstrated significant associations with length of stay, with patients hospitalized longer exhibiting significantly lower scores across all domains (Table 1). Similarly, lower subjective quality of life assessed by the Visual Analogue Scale was significantly associated with longer hospitalizations. These findings are consistent with those of Nguyen et al.28, who showed that poorer patient-reported health status correlates with longer hospital stays and adverse clinical outcomes. Moreover, Kakutani et al.29 demonstrated that early mobilization is associated with shorter hospital stays and improved activities of daily living (ADL) outcomes in patients with acute heart failure.
In summary, the HEROES study provides a comprehensive, multifactorial assessment of risk factors for prolonged hospitalization in patients with acute decompensated heart failure. Our findings emphasize the need to consider not only traditional markers of disease severity and comorbidities but also in-hospital treatment strategies and patient-reported functional status. Such an approach enables better identification of patients at higher risk of extended stays, supports personalized care planning, and optimizes healthcare resource allocation. Ultimately, this may improve the quality of care for heart failure patients and help reduce hospital lengths of stay.
Limitations
Despite the multicenter design of the study and the involvement of multiple investigators, certain limitations must be acknowledged. Organizational factors that could affect the length of hospitalization—such as the delay between symptom exacerbation and the initiation of diagnostic procedures (e.g., timing of echocardiography)—were not evaluated. Additionally, detailed pharmacotherapy parameters, including treatment duration and administered dosages, were not collected. The absence of these data may limit the full assessment of the therapeutic impact on hospitalization course. Future studies should incorporate these elements to allow more accurate identification of risk factors and to support optimization of individualized treatment strategies.
Conclusions
An extended length of hospital stay exceeding 8 days was associated with worse clinical status at admission, a higher burden of comorbidities, anaemia, chronic kidney disease, the need for vasoactive support, and radiological signs of inflammation. Predictive factors linked to shorter hospitalizations included higher systolic blood pressure at admission, prior statin therapy, and better functional status, as reflected by higher KCCQ-12 scores. Identification of risk factors for prolonged hospitalization highlights the need for further research evaluating targeted interventions and organizational strategies that may reduce hospital stay duration and improve patient outcomes, as well as emphasizing the importance of early risk stratification.
Data availability
The data presented in this study are available on request from the first author. The data are not publicly available due to ethical restrictions. The availability of the data underpinning this study can be accessed upon request from the corresponding author.
Abbreviations
- ADHF:
-
Cute decompensated heart failure
- HEROES:
-
HEart failure Risk factOrs and patiEnt Stratification
- LOS:
-
Length of stay
- KCCQ-12:
-
Kansas city cardiomyopathy questionnaire-12
- NT-proBNP:
-
N-terminal pro-B-type natriuretic peptide
- OR:
-
Odds ratio
References
McDonagh, T. A. et al. 2021 ESC Guidelines for the diagnosis and treatment of acute and chronic heart failure. Eur. Heart J. 42(36), 3599–3726 (2021).
Tromp, J. et al. Age-related characteristics and outcomes of patients with heart failure with preserved ejection fraction. J. Am. Coll. Cardiol. 74(5), 601–612 (2019).
Conrad, N. et al. Temporal trends and patterns in mortality after incident heart failure: A longitudinal analysis of 86 000 individuals. JAMA Cardiol. 4(11), 1102–1111 (2019).
McMurray, J. J. V. et al. Dapagliflozin in patients with heart failure and reduced ejection fraction. N. Engl. J. Med. 381(21), 1995–2008 (2019).
Shiga, T. et al. Clinical characteristics of hospitalized heart failure patients with preserved, mid-range, and reduced ejection fractions in Japan. ESC Heart Fail. 6(3), 475–486 (2019).
Tarekegn, G. Y. et al. Eterminant factors of prolonged hospitalization in acute heart failure patients at Jimma Medical Center, Southwest Ethiopia. Sci. Rep. 15(1), 11670 (2025).
Rao, S. V. et al. 2025 ACC/AHA/ACEP/NAEMSP/SCAI guideline for the management of patients with acute coronary syndromes: A report of the American College of Cardiology/American Heart Association joint committee on clinical practice guidelines. Circulation 13, e771–e862 (2025).
Hu, J.-B. et al. A predictive model of early readmission for patients with heart failure. J. Vasc. Dis. 1, 88–96 (2022).
Huang, X. et al. Development and validation of a clinical predictive model for 1-year prognosis in coronary heart disease patients combine with acute heart failure. Front. Cardiovasc. Med. 9, 976844 (2022).
Ignatavičiūtė, E., Žaliaduonytė, D. & Zabiela, V. Prognostic factors for prolonged in-hospital stay in patients with heart failure. Medicina 59(5), 930 (2023).
Chiong, C. J. et al. Heart failure hospitalizations: The impact of heart failure etiologies on in-patient costs length of stay, and mortality. J. Card. Fail. 30(1), 239–240 (2024).
Patel, A. H., Natarajan, B. & Pai, R. G. Current management of heart failure with preserved ejection fraction. Int. J. Angiol. 31(3), 166–178 (2022).
Harmon, D. et al. Readmission risk factors and heart failure with preserved ejection fraction. J. Am. Osteopath. Assoc. 120(12), 831–838 (2020).
Hidayaturrohman, Q. A. & Hanada, E. Predictive analytics in heart failure risk, readmission, and mortality prediction: A review. Cureus 16(11), e73876 (2024).
Stone, K., Zwiggelaar, R., Jones, P. & Mac, P. N. A systematic review of the prediction of hospital length of stay: Towards a unified framework. PLOS Digit. Health. 1(4), e0000017 (2022).
Drożdż, J. et al. Rationale, objectives, and design of the HEart failuRe ObsErvational Study of the Polish Cardiac Society (HEROES). Kardiol. Pol. 83(3), 321–324 (2025).
Sud, M. et al. Associations between short or long length of stay and 30-day readmission and mortality in hospitalized patients with heart failure. JACC Heart Fail. 5(8), 578–588 (2017).
Heidenreich, P. A. et al. 2022 AHA/ACC/HFSA guideline for the management of heart failure: A report of the American College of Cardiology/American Heart Association joint committee on clinical practice guidelines. Circulation 145(18), e895–e1032 (2022).
Sricharoen, P. et al. Clinical predictors influencing the length of stay in emergency department patients presenting with acute heart failure. Medicina 56(9), 434 (2020).
Gheorghiade, M., Vaduganathan, M., Fonarow, G. C. & Bonow, R. O. Rehospitalization for heart failure: Problems and perspectives. J. Am. Coll. Cardiol. 61(4), 391–403 (2013).
Gyalai-Korpos, I., Ancusa, O., Dragomir, T., Tomescu, M. C. & Marincu, I. Factors associated with prolonged hospitalization, readmission, and death in elderly heart failure patients in western Romania. Clin. Interv. Aging. 10, 561–568 (2015).
Tigabe Tekle, M., Bekalu, A. F. & Tefera, Y. G. Length of hospital stay and associated factors among heart failure patients admitted to the university hospital in northwest Ethiopia. PLoS ONE 17(7), e0270809 (2022).
Deng, Y. et al. N-terminal pro-B-type natriuretic peptide in risk stratification of heart failure patients with implantable cardioverter-defibrillator. Front. Cardiovasc. Med. 9, 823076 (2022).
Zhu, X. et al. Long-term prognostic value of inflammatory biomarkers for patients with acute heart failure: Construction of an inflammatory prognostic scoring system. Front. Immunol. 13, 1005697 (2022).
Pokhrel Bhattarai, S., Dzikowicz, D. J. & Carey, M. G. Association between serum albumin and the length of hospital stay among patients with acute heart failure. Biol. Res. Nurs. 27(1), 37–46 (2025).
Cristescu, L., Iancu, D. G., Marusteri, M. S., Tilea, I. & Varga, A. Proposed novel heart failure biomarkers and their association with length of hospital stay and mortality: A retrospective observational pilot study. Diagnostics 15(5), 589 (2025).
Feldman, E. & Kini, V. Quality measures for patients hospitalized with heart failure: Less is more?. Circ. Cardiovasc. Qual. Outcomes 17(11), e011529 (2024).
Nguyen, D. D. et al. Health status and clinical outcomes in older adults with chronic coronary disease: the ISCHEMIA trial. J. Am. Coll. Cardiol. 81(17), 1697–1709 (2023).
Kakutani, N. et al. Progressive mobilization program for patients with acute heart failure reduces hospital stay and improves clinical outcome. Circ. Rep. 1(3), 123–130 (2019).
Acknowledgements
The authors wish to thank the HEROES multicenter research team for their valuable contribution to data collection. The authors declare that there were no additional individuals or institutions to acknowledge for technical, administrative, material, or editorial support. No generative AI tools were used during the preparation of this manuscript.
Disclaimer
The authors confirm that no part of this manuscript, including the text and illustrations, has been copied or previously published, in whole or in part. The work was prepared exclusively by the authors, without involvement of external editorial agencies. No artificial intelligence tools were used in the writing or editing of this manuscript..
Funding
Open Access funding was provided and organized by the, University of Medical Science of Poznań in Poland, in accordance with the terms of the open publishing program agreement.
Author information
Authors and Affiliations
Contributions
All authors contributed significantly to the planning and design of the study. The preparation of materials, data collection, and analysis were conducted by MLu, PM., EL., MG., ESM., and MLe. RM., AKC., AG. KB. PH. IGG. AFN. DKT., AS., MG., MZ., MS., EP., MN. were responsible for collecting and organizing the database used in the study. The first draft of the manuscript was prepared by MLu, and all authors reviewed and commented on previous versions. The final editing of the manuscript was performed by MLe. MLu, EL and PM supervised the project. All authors read and approved the final version of the manuscript. All authors take full responsibility for the integrity and accuracy of the presented work.
Corresponding authors
Ethics declarations
Competing interests
The authors declare no competing interests.
Software tools and image creation
All illustrations and figures were prepared by the authors using standard office software. Tables and Fig. 2 (chart) were created using Microsoft Excel, while Fig. 1 was created using Microsoft Word. Microsoft Word was also used for formatting and preparing the entire manuscript.
Institutional review board statement
Data were collected using an electronic case report form (eCRF), in compliance with data protection regulations, including the GDPR. The study protocol was approved by the Bioethics Committee of the Medical University of Lodz (approval no. RNN/316/20/KE, with subsequent amendment KE/762/23), and the study was funded by the Polish Cardiac Society (contract no. CRU0120-KCKB-2023).
Informed consent statement
Written informed consent was obtained from all participants.
Additional information
Publisher’s note
Springer Nature remains neutral with regard to jurisdictional claims in published maps and institutional affiliations.
Rights and permissions
Open Access This article is licensed under a Creative Commons Attribution-NonCommercial-NoDerivatives 4.0 International License, which permits any non-commercial use, sharing, distribution and reproduction in any medium or format, as long as you give appropriate credit to the original author(s) and the source, provide a link to the Creative Commons licence, and indicate if you modified the licensed material. You do not have permission under this licence to share adapted material derived from this article or parts of it. The images or other third party material in this article are included in the article’s Creative Commons licence, unless indicated otherwise in a credit line to the material. If material is not included in the article’s Creative Commons licence and your intended use is not permitted by statutory regulation or exceeds the permitted use, you will need to obtain permission directly from the copyright holder. To view a copy of this licence, visit http://creativecommons.org/licenses/by-nc-nd/4.0/.
About this article
Cite this article
Lucki, M., Mitkowski, P., Lucka, E. et al. Risk factors for prolonged hospitalization in acute decompensated heart failure from the HEROES study. Sci Rep 15, 29133 (2025). https://doi.org/10.1038/s41598-025-14100-1
Received:
Accepted:
Published:
Version of record:
DOI: https://doi.org/10.1038/s41598-025-14100-1




