Fig. 2
From: Enhanced value of chest computed tomography radiomics features in breast density classification

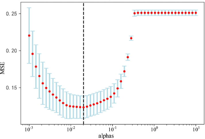
Curve of loss function value with parameter variation.
From: Enhanced value of chest computed tomography radiomics features in breast density classification

Curve of loss function value with parameter variation.