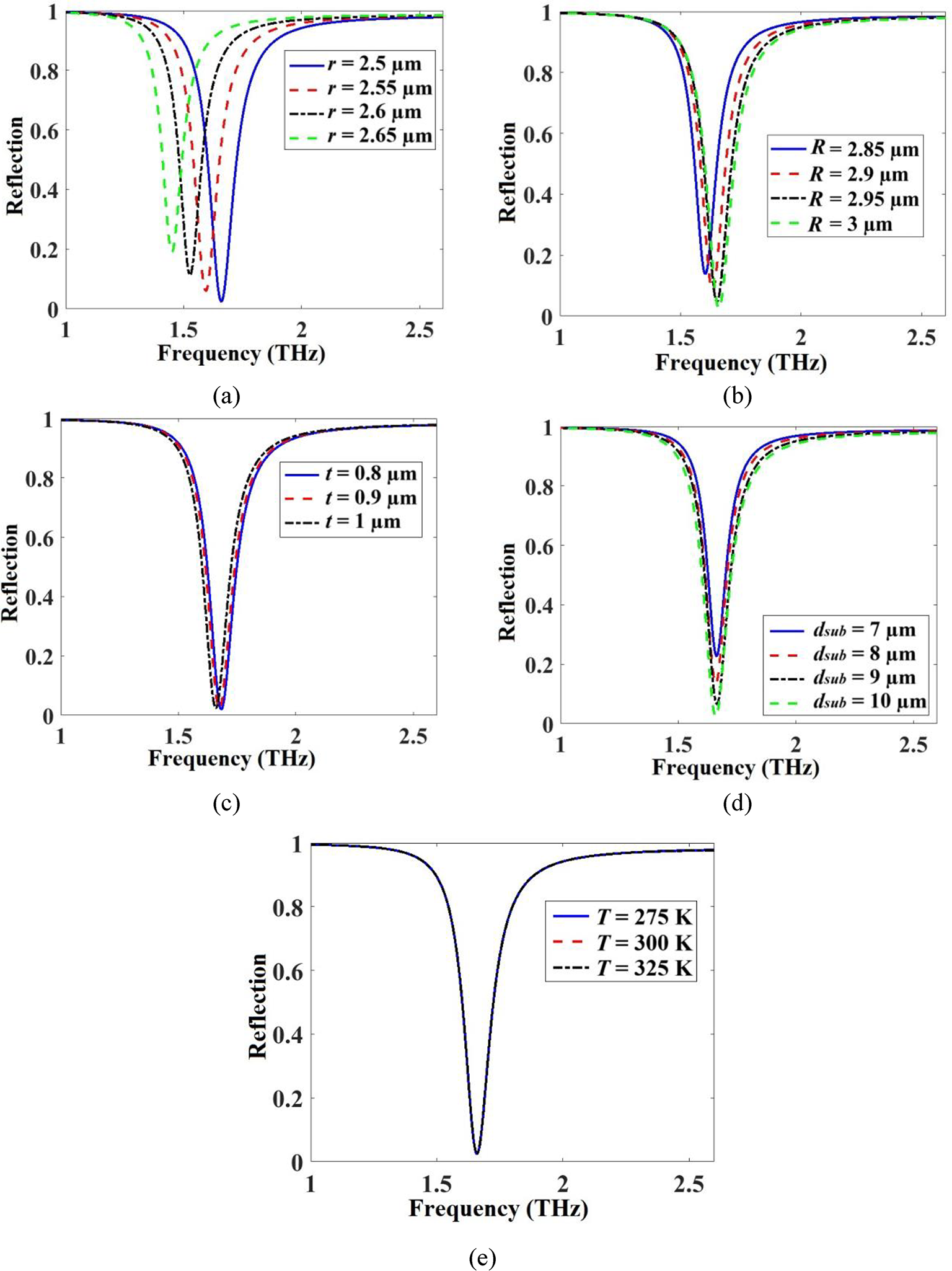
Fig. 10

Reflection spectra of the metamaterial under variations of (a) inner ring radius r (2.5–2.65 μm), (b) outer ring radius R (2.85–3 μm), (c) distance between the rings t (0.8–1 μm), (d) dielectric substrate thickness dsub (7–10 μm), and (e) temperature T (275–325 K), while other parameters are kept constant.