Abstract
This paper presents a novel terahertz (THz) graphene-based tunable metamaterial that operates as a frequency-multiplexed logic device. The structure consists of a gold layer, a dielectric substrate, and an array of graphene resonators formed by two circular ring resonators per unit cell. The metamaterial is simulated and designed in CST Software. The equivalent circuit model (ECM) for the metamaterial is obtained using MATLAB code. Logical input values are set by adjusting the Fermi levels of graphene-based circular resonators, while output logic states are determined by analyzing the reflection spectrum. The proposed device operates within the THz range, enabling the realization of OR, XNOR, and NAND logic gates at three distinct frequencies. Additionally, the working frequencies of these gates can be tuned by modifying the graphene’s Fermi level. The highest extinction ratios (ERs) achieved for the OR, XNOR, and NAND gates are 36.93, 65.66, and 22.38 dB, respectively. Owing to its simple design and versatility, this metamaterial shows strong potential for use in THz digital systems.
Similar content being viewed by others
Introduction
Terahertz (THz) waves show strong potential for technological advancement, which makes them suitable for designing next-generation optoelectronic devices1,2. They are promising for applications such as imaging3, wireless communications4, and other technological areas. However, THz waves interact weakly with naturally occurring materials; engineered metamaterials are necessary to enhance these interactions5. Metamaterials are artificially engineered materials designed to exhibit properties not found in naturally occurring substances, typically by manipulating their structure at the subwavelength scale. Unlike natural substances, they exhibit unusual physical behaviors, including negative refraction6, electromagnetic cloaking7, and tunable absorption8. These distinctive features have led to their use in various applications, such as imaging9,10, sensing11, detection12, energy harvesting13, perfect absorption14,15,16, and logic operations17,18,19.In recent years, graphene—a two-dimensional material—has been incorporated into metamaterials because of its remarkable optical characteristics20,21. Composed of a single layer of carbon atoms arranged in a flat, hexagonal lattice, graphene offers unique electronic and optical properties that surpass conventional materials. One of its key advantages is the ability to dynamically tune its behavior using external stimuli such as an applied voltage. This tunability allows precise control over its reflection spectra, making it highly adaptable for optical applications22. As a result, graphene-integrated metamaterials can be engineered for adjustable performance22,23,24. This capability makes them especially suitable for creating advanced and reconfigurable logic devices25,26. These devices are critical for the progress of next-generation optical computing and intelligent photonic systems.
Recently, researchers have proposed and developed logic devices using metamaterials. The logic devices serve as essential building blocks in optical computing and digital electronics, with promising applications in next-generation optical computers and ultra-fast communication systems17,25,26,27. The optical logic device based on metamaterials has a compact and subwavelength design. For instance, metamaterials constructed from alternating layers of graphene and silicon dioxide can implement basic logic gates such as NOT, NOR, and NAND28. Additionally, logic gates like AND, OR, and XOR can be realized in the terahertz (THz) range using metamaterials that employ coherent perfect absorption17. Logic states for input can be controlled by adjusting the phase difference between two incoming light beams or by modifying the properties of specific materials via external influences. As for the output, logic levels “1” and “0” are typically determined by evaluating the signal based on a set threshold within the transmission or reflection spectrum. Consequently, by leveraging tunable perfect reflectors or absorbers—whose reflective or absorptive peaks shift in response to external changes—various logic operations can be effectively executed.
The graphene-based THz metamaterials performing as some logic gates reported in17,25,26 have limited extinction ratios, different material structure (but all have graphene layer(s)), different dimensions, different operating frequencies, and different ECMs. In response to this need, we present and analyze a frequency-multiplexed tunable logic device based on a graphene-integrated metamaterial, capable of performing OR, XNOR, and NAND logic operations at three distinct frequencies, which shows much enhanced extinction ratios in comparison to17,25,26 with different material structure and different dimensions operating in different frequency ranges, simpler resonator geometry compared to25,26, containing equivalent circuit model (ECM) which is not reported for17,26. The structure comprises a gold substrate, a dielectric layer, and a graphene-based resonator array, with two circular ring resonators within each unit cell. The device’s tunability arises from the adjustable conductivity of graphene, which is controlled by varying its Fermi level. As the Fermi level changes, the position of the reflection peak shifts, allowing modulation of reflectivity. Different logic operations can be achieved by tracking the reflectivity at selected frequencies while altering the Fermi level (similar to25 but with fewer layers: one graphene and one dielectric layer instead of two each). Input signals in17,26 are respectively defined by phase difference between two input signals and difference in rotation angle of the resonators. The OR, XNOR, and NAND gates are each realized at unique frequencies, with maximum extinction ratios of 36.93 dB, 65.66 dB, and 22.38 dB, respectively. Due to its straightforward design and ability to perform multiple logic functions, this metamaterial holds significant promise for use in optical digital systems.
Metamaterial and study methods.
The periodic and unit cell views of the proposed and designed frequency-multiplexed tunable logic device based on graphene-integrated metamaterial in the terahertz (THz) region are shown in (Fig. 1). The metamaterial from the top to the bottom is made of three layers, respectively: graphene resonator array, dielectric layer, and gold layer. The resonator array is made of two graphene-based circular ring resonators per unit cell.
Numerical simulations were performed by the finite element method (FEM) in the frequency domain solver of CST Microwave Studio 2018. To model the metamaterial, periodic (unit cell) boundaries were set in the x and y directions, while Zmin = electric (Et = 0) and Zmax = open (PML) were applied along the z-axis. The metamaterial was discretized using a tetrahedral mesh29,30.
(a) Periodic and (b) unit cell views of the designed frequency-multiplexed tunable logic device based on graphene-integrated metamaterial, which consists of two circular ring resonator array in the terahertz region. The layers making the metamaterial are graphene, dielectric, and gold. Graphene is modeled as surface conductivity. We have used graphene nanostrips with a width of 100 nm to bias the ring resonator array and a gold layer at the bottom of the metamaterial to prevent the transmission of electromagnetic waves. The two logical input values are set by adjusting the Fermi levels of the two graphene-based circular resonators. Inputs states and their logic definition are also determined in the table. Relection of the metamaterial is considered as the output of the logic gates.
Logical input values are set by adjusting the Fermi levels of the resonators. We have used nanostrips with a width of 100 nm to connect the ring resonators for biasing31. The left rings are connected. The right rings are connected. Input 1 is the Ef of the left rings (Ef1). Input 2 is the Ef of the right rings (Ef2). Different inputs states and their logic definition are also determined in the table. We have designed and optimized the metamaterial to achieve the highest extinction ratios for logic gate operations using conventional dimensional optimization based on parametric variation. Parameters were systematically varied within predefined ranges using CST Microwave Studio to maximize the extinction ratios of the logic gates. This method allows for intuitive exploration of the design space and provides full control over the electromagnetic behavior of the structure. While this approach proved effective for our design goals, recent studies have demonstrated that machine learning (ML)-based intelligent optimization techniques can offer enhanced performance in more complex designs30. Incorporating such advanced optimization techniques will be considered in our future research. The Ef of 0.6 eV is considered as ‘0’ Boolean value, and the Ef of 1 eV is assumed as ‘1’ Boolean value. The relaxation time τ is considered as 2 ps. However, for CVD-grown or epitaxial graphene at room temperature, experimental studies have reported relaxation times ranging from below 1 ps to approximately 3 ps, depending on fabrication quality, doping levels, and substrate interactions32. In this work, a relaxation time of τ = 2 ps was chosen to represent an idealized high-quality graphene layer, enabling the assessment of the upper-bound theoretical performance of the proposed metamaterial. This approach is consistent with several previous simulation-based studies that adopted idealized conditions to investigate device potential under optimized scenarios33,34. The dielectric layer is made of polytetrafluoroethylene (PTFE) with a thickness of dsub = 10 μm. It has a permittivity of 2.1 and a loss tangent of 0.000335. The metamaterial is backed by a gold layer with a thickness of dgold = 0.5 μm. The gold layer conductivity is referenced by its DC value, σ = 4.56 × 107 S/m, while its frequency-dependent variation is modeled using the Drude dispersion model to accurately capture the behavior in the THz simulated range30. The gold layer is used to block the transmission of the electromagnetic waves to the other side of the metamaterial30,36,37. Graphene is modeled as surface conductivity38. The unit cell dimensions in the x and y directions are shown as Px and Py considered as 13.2 and 6.2 μm, respectively. The inner and outer radius of the ring resonators, r and R, are 2.5 and 3 μm. The distance between the two rings in one unit cell is t = 1 μm. The temperature T of the environment is considered as 300 K.
The proposed graphene-based metamaterial, consisting of a graphene resonator layer, a PTFE dielectric layer, and a gold reflector, is compatible with standard fabrication processes. Although experimental fabrication is beyond the scope of this work, a potential process could involve depositing the PTFE layer onto a gold substrate via thermal evaporation, followed by graphene transfer using chemical vapor deposition (CVD). The graphene resonator array can then be patterned using electron beam lithography (EBL)39,40. In this study, all layers are assumed to be ideal and free of imperfections. The simulation results provide precise geometric and physical parameters that can guide future fabrication and facilitate faster realization of the metamaterial.
We have also performed the equivalent circuit model (ECM) for this metamaterial. The ECM for the graphene resonator layer, not considering other layers in transverse magnetic (TM) mode (E-field along the x direction) is given in (Fig. 2a). Each ring is modeled by admittance Y. The ECM for the whole metamaterial is given in (Fig. 2b). The graphene resonator layer is modeled as a point load because its thickness is much smaller than the minimum wavelength in the designed frequency range41,42.
The admittance of the graphene resonator array is calculated by43:
in which Y0, θin, εd, θout, and r™ represent the vacuum admittance, angle of the incidence, the relative permittivity of the dielectric substrate, the angle of transmission, and the reflection coefficient of the graphene resonator array under TM polarization, rspectively. The angles θin and θout are related through Snell’s law:
As shown in Fig. 2a, YTM is equal to 2Y, so:
The impedances of the various sections of the metamaterial are calculated by41:
where \(\:{Z}_{d}^{TM}\) and βd are the impedance and the propagation constant of the THz electromagnetic waves in the dielectric substrate, respectively. Zgold is zero. So:
where \(\:{Z}_{d}^{TM}\)is:
where θd is the electrical length of the substrate calculated by:
where ω and c are the angular frequency and the speed of light, respectively. βd is calculated by:
The input impedance of the metamaterial is:
The scattering parameter in TM mode for the whole metamaterial is calculated by:
The reflection coefficient of the metamaterial is calculated by:
The extinction ratio (ER) which evaluates the performance of the logic gates is calculated by:
where RON and ROFF are the reflection values in ‘1’ and ‘0’ logic states.
Results and discussion
The designed metamaterial of Fig. 1 operates as a frequency-multiplexed tunable logic device. It can work as OR, XNOR, and NAND logic gates at three frequencies. These logic gates have two inputs and one output. We consider the Ef of the left rings as input 1 (Ef1) and the EF of the right rings as input 2 (Ef2). ‘0’ Boolean value is when the Ef is 0.6 eV and ‘1’ Boolean value is when the Ef is 1 eV. The reflection of the metamaterial is the output. This schematic is given in (Fig. 3). The unit cell of the metamaterial is composed of two similar circular rings.
Frequency-multiplexed tunable logic device (metamaterial of Fig. 1) with two inputs and one output.
Figure 4 shows the reflection spectra of the metamaterial of Fig. 1 at ‘00’ (both rings connected to 0.6 eV), ‘01’ (left ring connected to 0.6 eV and right ring to 1 eV), ‘10’ (left ring connected to 1 eV and right ring to 0.6 eV), and ‘11’ (both rings connected to 1 eV) states. Since the two ring resonators in the unit cell are similar, the reflection spectra for ‘01’ and ’10’ states are equal. As shown, three resonances happen in 1.66, 1.8, and 2.08 THz. The reflection values in these three resonances show that the metamaterial operates as OR, XNOR, and NAND gates. The reflection values for each logic operation are given in (Fig. 5a–c).
In this work, the output logic states values are defined based on the reflection values obtained from simulations. To ensure robustness against potential noise and variations, logic states are assigned using threshold ranges rather than a single fixed value for the threshold. Reflection values less than or equal to 20% are designated as logic ‘0’, while values greater than or equal to 70% are designated as logic ‘1’ as the logic state of the output. The intermediate range between 20% and 70% is treated as a threshold region to avoid erroneous switching caused by fluctuations. In this way, the stability and reliability of logic gate operations under practical considerations will be enhanced.
Reflection spectra of the metamaterial structure shown in Fig. 1 for different input logic states under TM wave illumination. The logic states correspond to different combinations of Fermi levels applied to the left and right graphene rings: Input 1 = 0; Input 2 = 0: both rings connected to 0.6 eV. Input 1 = 0; Input 2 = 1: left ring connected to 0.6 eV, right ring to 1 eV. Input 1 = 1; Input 2 = 0: left ring connected to 1 eV, right ring to 0.6 eV. Input 1 = 1; Input 2 = 1: both rings connected to 1 eV. Logic ‘0’ corresponds to 0.6 eV, and logic ‘1’ corresponds to 1 eV.
Reflection values (%) in different input states for (a) OR (1.66 THz), (b) XNOR (1.8 THz), and (c) NAND (2.08 THz) logic gates by use of (Fig. 4). The Boolean output is defined as ‘1’ if the reflection is above 70%, and ‘0’ if below 20%. The determined region between 20% and 70% represents the threshold range, where the output state is retained to prevent false switching due to noise or fluctuations.
The results are summarized in Table 1. Extinction ratios are also calculated for each logic operation based on Eq. (12).
The field distributions at the three resonance frequencies of 1.66, 1.8, and 2.08 THz for all four input states of ‘00’, ‘01’, ‘10’, and ‘11’ are respectively given in (Fig. 6a–c). As shown in Fig. 4, at 1.66 THz, the reflection related to ‘00’ input states (blue curve) resonates while other curves are not resonating. At 1.8 THz, the reflections related to ‘01’ and ‘10’ input states (dashed red and dashed green curves) resonate, and the two other curves are not resonating. At 2.08 THz, the reflection related to ‘11’ input states (purple curve) resonates while other curves are not resonating. The color bar is the same in all figures.
Field distributions of the metamaterial of Fig. 1 for all four input states of ‘00’, ‘01’, ‘10’, and ‘11’; at the three resonance frequencies of (a) 1.66, (b) 1.8, and (c) 2.08 THz. As shown in Fig. 4: In 1.66 THz, the reflection related to ‘00’ input states (blue curve) is resonating. In 1.8 THz, the reflections related to ‘01’ and ‘10’ input states (dashed red and dashed green curves) are resonating. In 2.08 THz, the reflection related to ‘11’ input states (purple curve) is resonating. The color bar is the same in all figures.
The modulation speed of the proposed logic device is primarily governed by the dynamics of electrostatic gating applied to the graphene rings in the metamaterial, which alter their Fermi levels. Based on previous experimental reports44, electrostatic gating of graphene can achieve switching speeds on the order of ⁓ 1–5 picoseconds. Additionally, since logical state transitions are induced via resonance shifts, the response time RT can be estimated as the inverse of the resonance bandwidth RT ≈ 1/Δf. It is worth noting that since the numerical simulations in this work were performed in the frequency domain, the estimated switching time is inferred from the resonance bandwidth (RT ≈ 1/Δf) rather than obtained from a direct time-domain transient analysis. The resonance bandwidth of the metamaterial is ~ 0.13 THz (when rings connecting to 0.6 eV: blue curve in Fig. 4) and 0.2 THz (when rings connecting to 1 eV: purple curve in Fig. 4), the estimated switching response time is about RT ≈ 1/(0.13 × 1012) ≈ 7.7 ps (for 0.6 eV), RT ≈ 1/(0.2 × 1012) ≈ 5 ps (for 1 eV). So, this metamaterial is suitable for ultrafast logic modulation.
We estimate the energy required per logic operation using the capacitive charging model E = CV2, where C is the effective gate capacitance and V is the applied voltage. Assuming an effective capacitor area of approximately 8.64 × 10− 12 m2 calculated by 2×pi×(R2-r2)), a PTFE dielectric layer with thickness of dsub = 10 μm, and relative permittivity εr = 2.1, the capacitance is calculated as C ≈ ε0εrA/d ≈ 1.6 × 10− 17 F. For 0.6 eV, the gating voltage is 2.9 V, and for 1 eV, the gating voltage is 4.8 V. So, the switching energy is approximately E = CV2 = 1.6 × 10− 17 × (2.9)2 ≈ 1.35 fJ and 1.6 × 10–17 × (4.8)² ≈ 3.7 fJ. This low energy cost per logic transition is favorable for low-power, high-speed THz applications.
While experimental realization of the proposed logic device is beyond the scope of this work, numerous studies have demonstrated successful integration of graphene-based metamaterials with silicon photonics and CMOS-compatible fabrication methods. Vertical gating structures, cavity-enhanced designs, and scalable lithography techniques have all contributed to the feasibility of incorporating such devices into established semiconductor platforms45.
Surface current distributions of the graphene-based metamaterial of Fig. 1 at 1.66 THz on the graphene resonator layer and the gold layer are given in (Fig. 7a,b), respectively. Similar surface current distributions are also observed at the other resonance frequencies of 1.8 and 2.08 THz. As shown, each ring acts as two electric dipoles with the current direction from right to left. So, in each unit cell, we have four electric dipoles with direction from right to left. The surface currents on the gold layer are from left to right. Considering the whole metamaterial, the currents make a closed loop showing a magnetic dipole and a magnetic resonance.
Surface current distributions of the graphene-based metamaterial shown in Fig. 1 at 1.66 THz on: (a) the graphene resonator layer, and (b) the gold layer. Similar surface current distributions are observed at the other resonance frequencies of 1.8 and 2.08 THz as well.
To start the ECM procedure, the graphene resonator layer, when located on the half-space slab (to minimize the slab effect on the reflection of the graphene resonator layer), is simulated (shown in Fig. 8a). Then, the TM reflection spectrum (r™ in Eq. (1)) is obtained and the result is given in (Fig. 8b). The thickness of the half-space slab should be λmax in the simulated frequency range (1-2.6 THz) which corresponds to fmin = 1 THz. So, the half-space slab has a thickness of 300/fmin = 300 μm. The real and imaginary parts of the admittance of the graphene resonator layer are calculated by Eq. (1), and the results are given in (Fig. 8c,d), respectively. Admittance of each graphene ring (Y) is calculated by Eq. (3). The real and the imaginary parts of Y are respectively given in (Fig. 8e,f). The reflection spectra of the whole metamaterial obtained by CST simulation and ECM (Eq. (11)) are given in (Fig. 8g).
(a) Graphene resonator layer on the half-space slab, (b) reflection spectrum of the graphene resonator layer in TM mode when located on a half-space slab (r™ in Eq. 1). (b) Real and (c) imaginary parts of the TM admittance (Eq. 1) of the graphene resonator layer consisting of both rings. (d) Real and (e) imaginary parts of the TM admittance (Eq. 3) of each graphene ring. (f) TM reflection spectra of the whole metamaterial of Fig. 1 obtained by CST simulation and ECM Eq. (11).
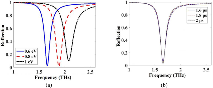
Figure 9a,b show the reflection spectra of the metamaterial of Fig. 1 for three different values of Ef and τ, while other parameters are kept constant. As illustrated in Fig. 9a, increasing Ef causes the resonance to shift to higher frequencies, representing a blueshift. Additionally, the reflection at the resonances increases with the increase of Ef, as the minimum reflection in the resonance occurs when Ef is 0.6 eV. The analysis aligns with the findings presented in our recent study46.
As demonstrated in Fig. 9a, the logic behavior of the proposed metamaterial can be reconfigured by adjusting Ef of the graphene resonators. While this tunability enables dynamic logic control in theory, implementing such functionality in practical devices presents several challenges. Experimental reports show that techniques such as electrostatic gating, chemical doping, and optical pumping can be used to modulate the Fermi level of graphene47,48. However, these approaches come with limitations regarding speed, precision, integration complexity, and scalability—particularly in the terahertz domain. Further investigation is required to develop compact, high-speed control circuits and system-level integration strategies. This theoretical platform can be translated into a physical prototype in future studies. This effort will be essential for realizing reconfigurable and scalable THz digital systems based on graphene metamaterials.
Creating perfect graphene patterns is difficult due to graphene’s extremely thin structure with a thickness of 0.335 nm, and imperfections can reduce its mobility (or relaxation time)49. To assess how different relaxation times affect the device’s performance, reflection spectra are obtained and analyzed for three values of relaxation time (τ = 1.6, 1.8, and 2 ps) when Ef = 0.6 eV, as presented in Fig. 9b, while all other parameters remained constant. The results indicate that changes in τ do not alter the resonance frequency of the reflection spectrum. However, increasing τ leads to a slight reduction (around 1–2%) in the depth of the reflection dips. This small decrease occurs because higher τ (which corresponds to increased mobility µ) enhances the contribution of charge carriers to plasma oscillations, thereby lowering the reflection50,51. Overall, the designed metamaterial shows very low sensitivity to variations in τ, meaning graphene defects have minimal impact on their reflective properties. These observations suggest that the proposed metamaterial exhibits strong tolerance to fabrication-related imperfections in graphene. This robustness makes the design promising for real-world terahertz applications, where high-quality, defect-free graphene is often difficult to achieve.
Moreover, the proposed three-layer planar metamaterial structure, composed of graphene, a dielectric spacer, and a gold layer, demonstrates strong potential for scalability and integration into practical devices. Its planar and compact architecture is compatible with standard fabrication techniques such as chemical vapor deposition (CVD) and photolithography, which facilitate the production of large-scale arrays. Recent advances in large-area CVD-grown graphene and solution-based nanomaterial placement techniques further support the feasibility of fabricating multilayer metamaterial devices suitable for terahertz communication and optical computing platforms. Although challenges such as graphene uniformity and defect control persist, ongoing progress in material processing is steadily mitigating these limitations, bringing such designs closer to real-world applications52,53,54
Reflection spectra of the metamaterial of Fig. 1 for three different values of (a) Ef and (b) τ, while other parameters are kept constant.
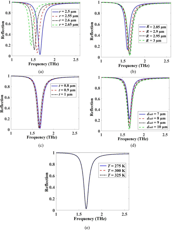
Figure 10 illustrates the reflection spectra of the proposed metamaterial under variations of five parameters: inner ring radius r, outer ring radius R, distance between the rings t, dielectric substrate thickness dsub, and temperature T. r was varied at 2.5 μm, 2.55 μm, 2.6 μm, and 2.65 μm, resulting in substantial shifts in the resonance frequency from approximately 1.66 THz to 1.45 THz (Fig. 10a). This demonstrates a high sensitivity of the device to changes in r. In contrast, variations in R (2.85 μm, 2.9 μm, 2.95 μm, 3 μm) and t (0.8 μm, 0.9 μm, 1 μm) led to minor resonance frequency changes and variations in dsub (7 μm, 8 μm, 9 μm, 10 μm) led to no change in the resonance frequency, as presented in Fig. 10b–d, respectively. For dsub (Fig. 10d), while the resonance frequency remained nearly constant, the dip depth decreased from approximately 23–2%, indicating a reduction in resonance strength. T variations between 275 K and 325 K produced negligible changes in the reflection spectra (Fig. 10e), confirming the excellent thermal stability of the metamaterial.
These findings confirm that the proposed metamaterial is highly sensitive to the inner ring radius but exhibits strong robustness against variations in other geometric parameters and environmental conditions, supporting its practical applicability in terahertz logic devices.
Table 2 Presents a comparison between the proposed frequency-multiplexed tunable logic device and recent related works. In this work, the minimum and maximum extinction ratios respectively reach 22.38 and 65.66 dB, which is higher than previous reports. The temperature of the environment is considered as 300 K in this work and also other references of the table.
Reflection spectra of the metamaterial under variations of (a) inner ring radius r (2.5–2.65 μm), (b) outer ring radius R (2.85–3 μm), (c) distance between the rings t (0.8–1 μm), (d) dielectric substrate thickness dsub (7–10 μm), and (e) temperature T (275–325 K), while other parameters are kept constant.
The proposed device demonstrates three fundamental logic operations—OR, XNOR, and NAND—each realized at a distinct resonance frequency. This frequency-multiplexed design allows simultaneous logic processing at different THz frequencies within a compact structure, enabling concurrent operation without spatial crosstalk between unit cells. As illustrated in Fig. 11, by cascading a basic NOT gate at the output of each of the implemented logic gates, three additional logic operations—NOR, XOR, and AND—can be derived. This highlights the inherent reconfigurability and modular potential of our metamaterial, providing a wider logic functionality set within the same design.
It is worth noting that previous studies on graphene-based metamaterial logic gates [17, 25, 26] also primarily focus on limited gate demonstrations, without addressing cascading, gate-level connectivity, or scalable logic circuit integration. These results not only expand the logic set achievable by the current device but also serve as a preliminary demonstration of gate-level interoperability in the THz region. This conceptual demonstration not only illustrates the ability to extend logic functionalities within the proposed design, but also suggests a clear pathway towards more complex, interconnected THz logic systems, which will be explored in future studies.
Expansion of logic operations through cascading. The outputs of the proposed metamaterial-based logic gates (OR, XNOR, NAND), implemented at three distinct resonance frequencies, are cascaded with a NOT gate, resulting in three additional logic functions: NOR, XOR, and AND, respectively. This demonstrates the potential scalability and functional versatility of the proposed frequency-multiplexed metamaterial design.
Conclusion
In this paper, a novel frequency-multiplexed tunable logic device based on a graphene-based metamaterial consisting of a two-circular-ring resonator array is proposed and designed in the terahertz (THz) range by use of CST simulation and equivalent circuit modeling (ECM) in MATLAB. Based on the tunability of graphene, tunable frequency-multiplexed logic functions are obtained. The Fermi levels of the two graphene ring resonators are used as the input logic signals, and the reflectivity is used as the output logic signal. As a result, the OR, XNOR, and NAND logic functions are realized at three different frequencies. Furthermore, the operating frequencies of the three logic functions mentioned above can be adjusted by changing the Fermi level of graphene. The maximum extinction ratios of OR, XNOR, and NAND are 36.93 dB, 65.66 dB, and 22.38 dB, respectively. The proposed metamaterial has great potential in digital optoelectronic devices and systems.
Data availability
The datasets generated and/or analyzed during the current study are available from the corresponding author on reasonable request.
References
Xu, C., Ren, Z., Wei, J. & Lee, C. Reconfigurable terahertz metamaterials: From fundamental principles to advanced 6G applications, iScience 25, 103799 (2022).
Koenig, S. et al. Wireless sub-THz communication system with high data rate. Nat. Photon Vol. 7, 977–981 (2013).
Stantchev, R. I., Yu, X., Blu, T. & Pickwell-MacPherson, E. Real-time Terahertz imaging with a single-pixel detector. Nat. Commun. Vol. 11, 2535 (2020).
Nagatsuma, T., Ducournau, G. & Renaud, C. C. Advances in Terahertz communications accelerated by photonics. Nat. Photon Vol. 10, 371–379 (2016).
Yen, T. J. et al. Terahertz magnetic response from artificial materials. Sci. Vol. 303, 1494–1496 (2004).
Houck, A. A., Brock, J. B. & Chuang, I. L. Experimental observations of a left-handed material that obeys snell’s law. Phys. Rev. Lett. Vol. 90, 137401 (2003).
Schurig, D. et al. Metamaterial electromagnetic cloak at microwave frequencies. Science 314, 977–980 (2006).
Landy, N. I., Sajuyigbe, S., Mock, J. J., Smith, D. R. & Padilla, W. J. Perfect metamaterial absorber. Phys. Rev. Lett. Vol. 100, 207402 (2008).
Li, W. et al. Single-frame wide-field nanoscopy based on ghost imaging via sparsity constraints, Optica 6, 1515–1523 (2019).
Kim, K. et al. Ultrathin arrayed camera for high-contrast near-infrared imaging. Opt. Express Vol. 29, 1333–1339 (2021).
Xu, Y. et al. Optical refractive index sensors with plasmonic and photonic structures: promising and inconvenient truth. Adv. Opt. Mater. Vol. 7, 1801433 (2019).
Suen, J. Y. et al. Multifunctional metamaterial pyroelectric infrared detectors, Optica 4, 276–279 (2017).
Alkurt, F. O. et al. Enhancement of image quality by using metamaterial inspired energy harvester. Phys. Lett. A. 384, 126041 (2020).
Liu, Z., Liu, G., Fu, G., Liu, X. & Wang, Y. Multi-band light perfect absorption by a metal layer-coupled dielectric metamaterial. Opt. Express Vol. 24, 5020–5025 (2016).
Cen, C. et al. Numerical investigation of a tunable metamaterial perfect absorber consisting of two-intersecting graphene Nanoring arrays. Phys. Lett. A. 383, 3030–3035 (2019).
Wu, M. et al. A three-dimensional all-metal Terahertz metamaterial perfect absorber. Appl. Phys. Lett. Vol. 111, 051101 (2017).
Meymand, R. E., Soleymani, A. & Granpayeh, N. All-optical AND, OR, and XOR logic gates based on coherent perfect absorption in graphene-based metasurface at Terahertz region. Opt. Commun. Vol. 458, 124772 (2020).
Hu, X. & Lin, Y. S. Programmable Terahertz metamaterial with multiple logic characteristics. Results Phys. Vol. 18, 103267 (2020).
Mei, T., Meng, Z., Zhao, K. & Chen, C. Q. A mechanical metamaterial with reprogrammable logical functions. Nat. Commun. Vol. 12, 1–11 (2021).
Wang, L. et al. Dynamic and active THz graphene metamaterial devices, Nanomaterials 12, (2022). (2097).
Lin, K. T., Lin, H., Yang, T. & Jia, B. Structured graphene metamaterial selective absorbers for high efficiency and omnidirectional solar thermal energy conversion. Nat. Commun. Vol. 11, 1389 (2020).
Sheheryar, T., Tian, Y., Lv, B., Chu, X. & Shi, J. A graphene-based tunable polarization insensitive Terahertz metasurface absorber for multi-band high-efficiency applications. J. Mater. Chem. C. 13, 5545–5554 (2025).
Xiao, B. et al. Multifunctional 2-bit coded reconfigurable metasurface based on graphene-vanadium dioxide. Appl. Opt. Vol. 63, 2882–2891 (2024).
Wang, X., Ma, C., Xiao, L. & Xiao, B. Dual-band dynamically tunable absorbers based on graphene and double vanadium dioxide metamaterials. J. Opt. 53, 596–604 (2023).
Tan, J. et al. Tunable perfect absorber and multifunctional logic device based on graphene metamaterial. Results Phys. 50, 106599 (2023).
Zuh, J. & Xiong, J. Logic operation and all-optical switch characteristics of graphene surface plasmons. Opt. Express Vol. 31, 36677–36690 (2023).
Yang, R. et al. Theoretical investigation of a multi-functional logic device based on plasmonic Mach-Zehnder interferometer waveguides. Opt. Laser Technol. Vol. 151, 108076 (2022).
Liu, H. et al. Ultracompact electro-optical logic gates based on graphene–silica metamaterial. J. Nanophotonics. 10, 026004 (2016).
Yu, F. Y. et al. Actively switchable polarization converter for reflection and transmission in the same Terahertz frequencies. Eur. Phys. J. D Vol. 77, 82 (2023).
Mistri, H., Ghosh, A., Sardar, A. R. & Choudhury, B. Performance enhancement of graphenebased linear to circular polarization converter for Terahertz frequency using a novel parameter prediction methodology. Plasmonics 20, 3289–3303 (2025).
Asgari, S., Granpayeh, N. & Fabritius, T. Controllable Terahertz cross-shaped three-dimensional graphene intrinsically chiral metastructure and its biosensing application. Opt. Commun. 474, 126080 (2020).
Mihnev, M. T. et al. Microscopic origins of the Terahertz carrier relaxation and cooling dynamics in graphene. Nat. Commun. 7, 11617 (2016).
Shokati, E., Granpayeh, N. & Danaeifar, M. Wideband and multi-frequency infrared cloaking of spherical objects by using the graphene-based metasurface. Appl. Opt. Vol. 56, 3053–3058 (2017).
Ma, S., Wen, S., Mi, X., Zhao, H. & Zhao, J. Bifunctional Terahertz sensor based on tunable graphene metamaterial absorber. Opt. Commun. 532, 129254 (2023).
Asgari, S. & Fabritius, T. Multiband Terahertz graphenebased anisotropic metamaterial absorber comprised of two circular split ring resonator arrays with two gaps and a connection rod. Opt. Quantum Electron. Vol. 57, 1–18 (2025).
Zhou, Q., Liu, P., Bian, L. A., Cai, X. & Liu, H. Multi-band Terahertz absorber exploiting graphene metamaterial. Opt. Mat. Express Vol. 8, 2928–2940 (2018).
Zhou, Q. et al. Graphene based controllable broadband terahertz metamaterial absorber with transmission band, Materials 11, 2409 (2018).
Rahmanzadeh, M., Khavasi, A. & Rejaei, B. Analytical method for diffraction analysis and design of perfect-electric-conductor backed graphene ribbon metagratings. Opt. Express Vol. 29, 28935–28952 (2021).
Kang, J., Shin, D. & Bae, S. Hong, graphene transfer: key for applications. Nanoscale 4, 5527–5537 (2012).
Astorino, M. D. et al. Polarization-maintaining reflection-mode THz time-domain spectroscopy of a polyimide based ultra-thin narrow-band metamaterial absorber. Sci. Rep. Vol. 8, 1985 (2018).
Cheng, D. K. Field and Wave Electromagnetics (Pearson Education, 1989).
Andryieuski, A. & Lavrinenko, A. Graphene metamaterials based tunable Terahertz absorber: effective surface conductivity approach. Opt. Express Vol. 21, 9144–9155 (2013).
Rahmanzadeh, M., Rajabalipanah, H. & Abdolali, A. Multilayer graphene-based metasurfaces: robust design method for extremely broadband, wide-angle, and polarization-insensitive Terahertz absorbers. Appl. Opt. Vol. 57, 959–968 (2018).
Liu, M. et al. A graphene-based broadband optical modulator. Nature 474, 64–67 (2011).
Shalaginov, M. Y. et al. Reconfigurable all-dielectric Metalenses with diffraction-limited performance. Nat. Commun. Vol. 12, 2393 (2021).
Shakiba, L., Salehi, M. R. & Emami, F. Design of a graphene based Terahertz perfect metamaterial absorber with multiple sensing performance. IEEE Trans. Nanotechnol. 23, 741–747 (2024).
Lee, H., Paeng, K. & Kim, I. S. A review of doping modulation in graphene. Synth. Met. 244, 36–47 (2018).
Gan, X., Englund, D., Thourhout, D. V. & Zhao, J. 2D materials-enabled optical modulators: from visible to Terahertz spectral range. Appl. Phys. Rew. 9, 021302 (2022).
Zhao, Y., Huo, Y., Man, B. & Ning, T. ‘Grating-assisted surface plasmon resonance for enhancement of optical harmonic generation in graphene,’ Plasmonics, vol. 14, 1911–1918 (2019).
Nickpay, M. R., Danaie, M. & Shahzadi, A. A tripleband metamaterial graphene-based absorber using rotated split-ring resonators for THz biomedical sensing. Opt. Quantum Electron. Vol. 55, 193 (2023).
Li, H., Niu, J. & Wang, G. Dual-band, polarization-insensitive metamaterial perfect absorber based on monolayer graphene in the mid-infrared range. Results Phys. Vol. 13, 102313 (2019).
Engel, M. et al. Graphene-enabled and directed nanomaterial placement from solution for large-scale device integration. Nat. Commun. Vol. 9, 4095 (2018).
Lin, H., Lin, K. T., Yang & Jia, B. Graphene multilayer photonic metamaterials: fundamentals and applications. Adv. Mater. Technol. Vol. 6, 2000963 (2021).
Shao, L. & Zhu, W. Graphene-derived microwave metamaterials and meta-devices: Emerging applications and properties, Electron 3, e60 (2025).
Author information
Authors and Affiliations
Contributions
Design, analysis, and investigation: SA, Writing—original draft preparation: SA, Review and editing: SA and TF, Supervision: TF.
Corresponding author
Ethics declarations
Competing interests
The authors declare no competing interests.
Additional information
Publisher’s note
Springer Nature remains neutral with regard to jurisdictional claims in published maps and institutional affiliations.
Rights and permissions
Open Access This article is licensed under a Creative Commons Attribution-NonCommercial-NoDerivatives 4.0 International License, which permits any non-commercial use, sharing, distribution and reproduction in any medium or format, as long as you give appropriate credit to the original author(s) and the source, provide a link to the Creative Commons licence, and indicate if you modified the licensed material. You do not have permission under this licence to share adapted material derived from this article or parts of it. The images or other third party material in this article are included in the article’s Creative Commons licence, unless indicated otherwise in a credit line to the material. If material is not included in the article’s Creative Commons licence and your intended use is not permitted by statutory regulation or exceeds the permitted use, you will need to obtain permission directly from the copyright holder. To view a copy of this licence, visit http://creativecommons.org/licenses/by-nc-nd/4.0/.
About this article
Cite this article
Asgari, S., Fabritius, T. Frequency-multiplexed tunable logic device based on terahertz graphene-integrated metamaterial composed of two circular ring resonator array. Sci Rep 15, 28920 (2025). https://doi.org/10.1038/s41598-025-14311-6
Received:
Accepted:
Published:
Version of record:
DOI: https://doi.org/10.1038/s41598-025-14311-6













