Fig. 6
From: Sex-specific differences in performance and pacing in the world’s longest triathlon in history

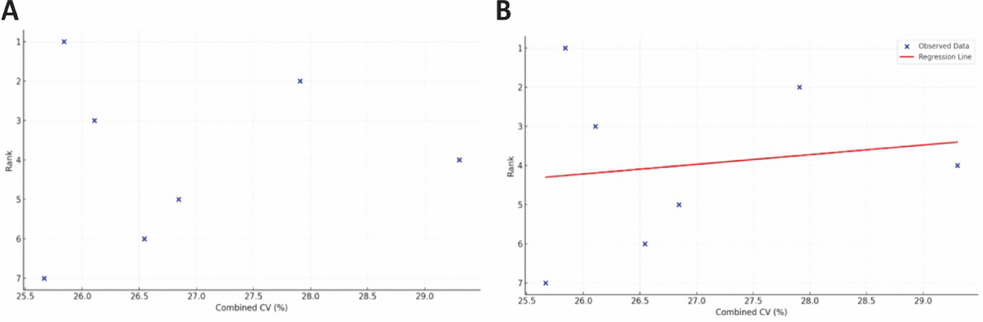
Relationship between participant rank and combined coefficient of variation in cycling and running. (A) Correlation between rank and combined coefficient of variation. The scatter plot shows the relationship between participant rank (y-axis) and their combined coefficient of variation (%) for cycling and running (x-axis). (B) Regression analysis: rank vs. combined coefficient of variation. The scatter plot illustrates the relationship between participant rank (y-axis) and their combined coefficient of variation (%) for cycling and running (x-axis), with a regression line included.