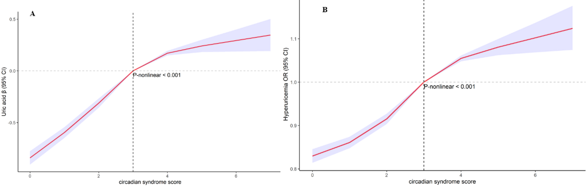
Fig. 2

Restricted cubic spline regression explores the potential nonlinear relationships between circadian syndrome score and serum uric acid levels (A) and hyperuricemia (B). The β coefficient (solid lines) and 95% confidence levels (shaded areas) were adjusted for gender, age, race/ethnicity, household poverty ratio, household poverty ratio, education level, BMI, eGFR, albumin, ALT, AST, alcohol, smoking, and medical history of cancer, coronary heart disease, and stroke. OR: odds ratio; 95%CI, Confidence Interval.