Fig. 1
From: Numerical solutions for norovirus epidemic spread: implications for public health control

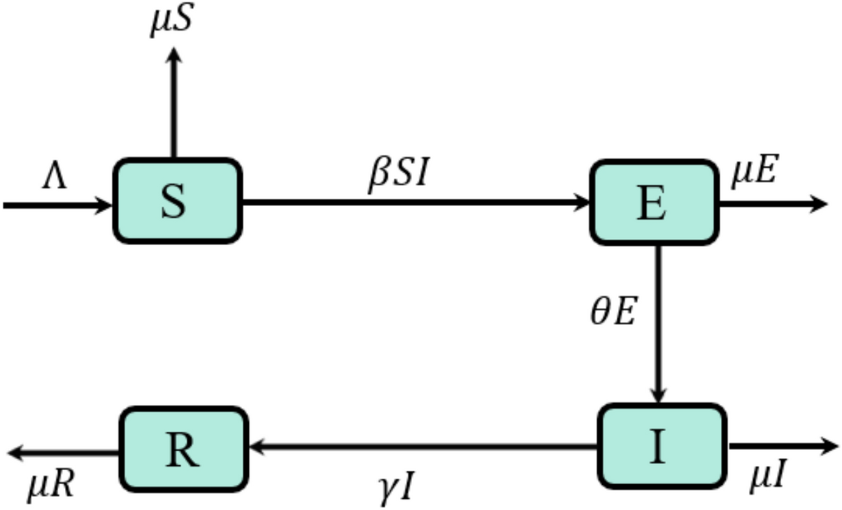
Flow diagram of norovirus model.
From: Numerical solutions for norovirus epidemic spread: implications for public health control

Flow diagram of norovirus model.