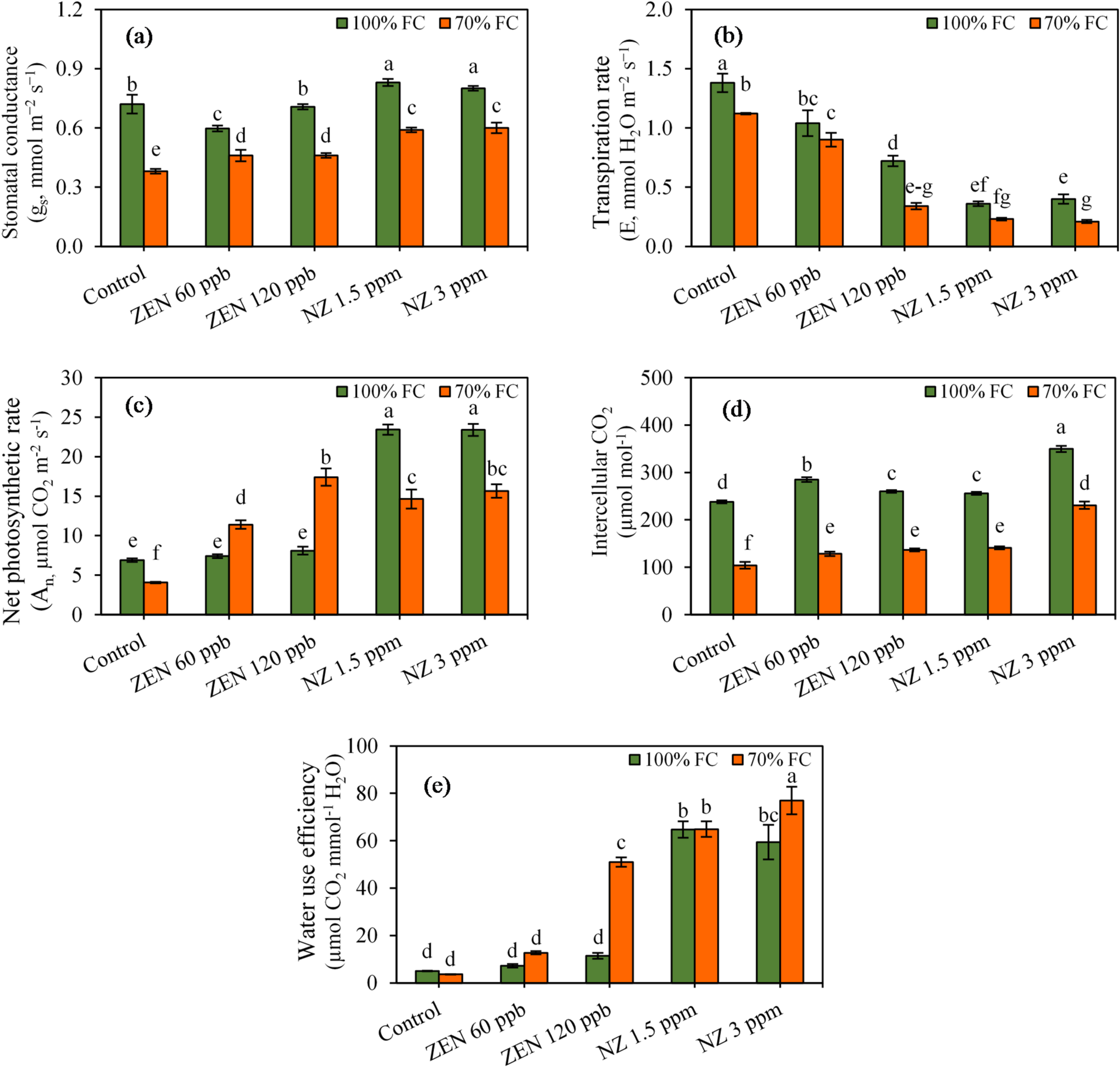
Fig. 2

Effects of zearalenone (ZEN) and nanozeolite (NZ) on the stomatal conductance (a), transpiration rate (b), net photosynthetic rate (c), and intercellular CO2 (d), water use efficiency (e) under regulated deficit irrigation at 100% FC and 70% FC. Values are means of three replicates ± SE.