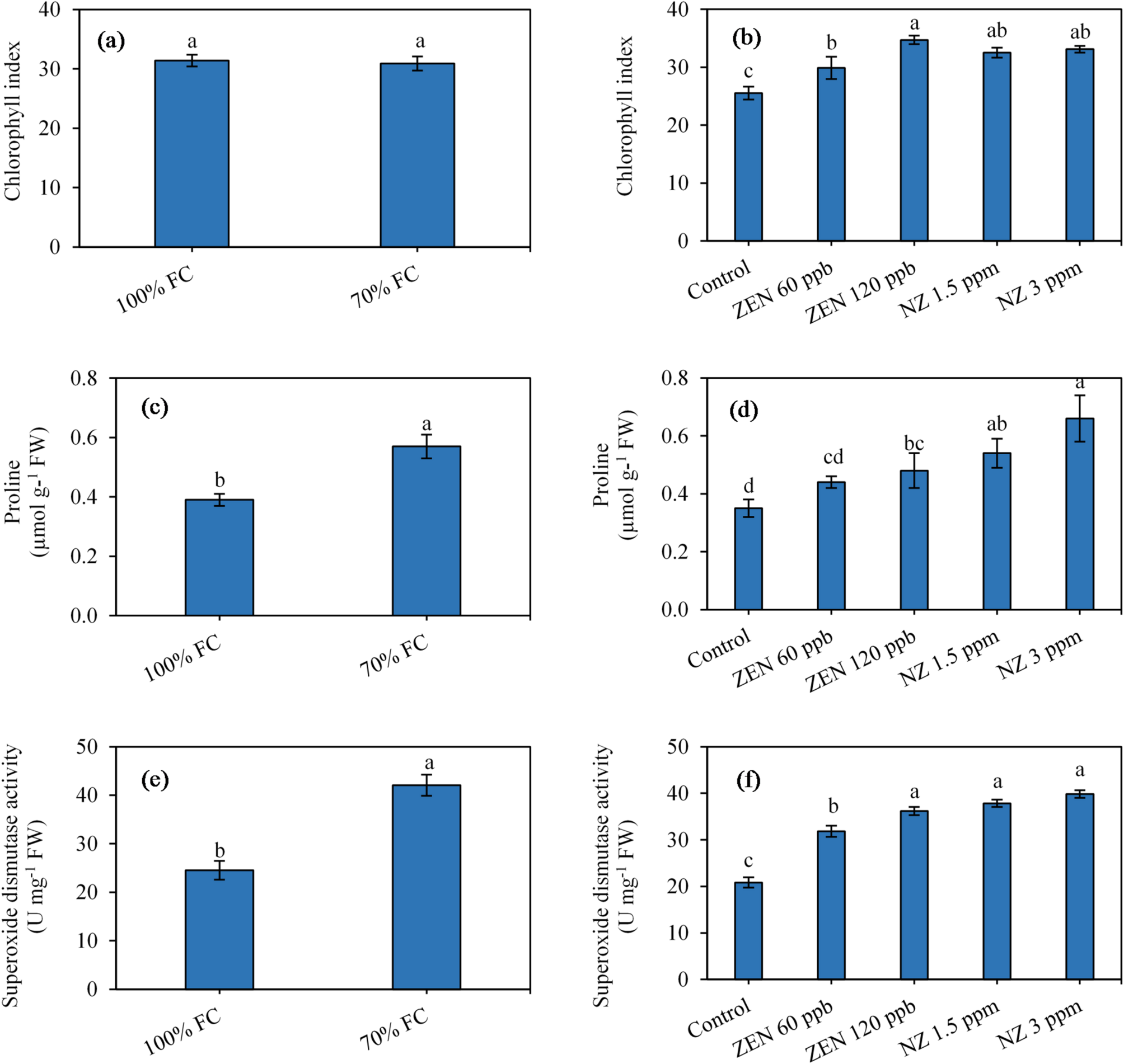
Fig. 5

Effects of zearalenone (ZEN) and nanozeolite (NZ) on chlorophyll index (a), proline (c), superoxide dismutase activity (e), and simple effects of regulated deficit irrigation at 100% FC and 70% FC on chlorophyll index (b), proline (d), superoxide dismutase activity (f). Values are means of three replicates ± SE.