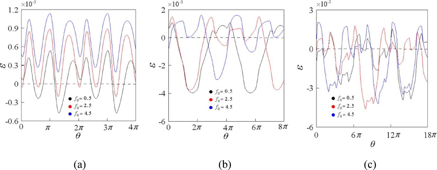
Fig. 3
From: Dynamics analysis of a cam with flat-bottomed follower system

Displacement changes of the follower and the cam corresponding to three sets of pressure \({f_0}\) at different rotational speeds. (a) \(\omega =1.0\). (b) \(\omega =3.0\). (c) \(\omega =5.0\).