Abstract
Less information is available on the physicochemical properties conferring groundwater quality in the ancient Capital of the Pundranagar region, Bangladesh. This study preliminarily evaluates the quality of groundwater beneath rivers, ponds, and rice fields in northern Bangladesh. Probable causes of heavy metals contamination in groundwater, health hazards, and spatial variations were evaluated. The concentration of nitrate nitrogen (NO3-N) was observed as 74.05, 82.87, and 53.90 mg/L, respectively, for the field, pond, and river site, which was higher than the World Health Organization’s recommended limit (50 mg/L). The amounts of heavy metals in groundwater, such as As, Cd, Pb, Cr, Ni, Cu, Mn, and Zn, ranged from 0.012 to 0.25, 0.012–0.087, 0.015–0.097, 0.014–0.098, 0.012–0.304, 0.006–0.086, and 0.015–0.996 mg/L, individually. Based on the estimated value of water quality index (WQI), the quality of the analyzed groundwater was classified as “excellent” to “poor”, which varied from 48.57 to 58.88. The pollution status of groundwater followed in the descending order of field site > river site > pond site. Severe contamination from manufacturing and farming operations was indicated for heavy metals enrichment in groundwater. Ingestion and skin contact with Cd and As through groundwater provide the greatest danger to residents for both non-carcinogenic and carcinogenic health impacts. The results demonstrate that the groundwater quality is insufficient for sustaining aquatic life and is unsafe for human consumption, thereby posing health hazards to the local population.
Similar content being viewed by others
Introduction
Because groundwater is easily accessible to the developing globe, its use is increasing. The groundwater resource has gotten worse recently as a result of contamination by harmful materials brought on by intensive farming methods, fast urbanization, shifting land use patterns, and the consequences of climate change1,2. Because of this, 844 million people across the world struggle to get safe drinking water for household, agricultural, and fishing purposes3,4. More than 80% of Bangladesh’s nation is despicable to get their access for clean groundwater due to pollution of groundwater by Ni, Cr, Pb, As, Cu, Cd, and other elements5which makes it impossible to achieve SDG-66. Thus, determining the quality of groundwater is crucial to preserving it so that developing countries can provide water that is safe to drink.
If As, Cr, Pb, Cd, Cu, Ni, Cl,− NO3−, HCO3−, SO42−, Na, Ca, etc., are left in water for an extended time, they can have harmful effects on human health, including cancer, liver cirrhosis, kidney damage, aging, syndromes in neurology, and cardiac disease7,8. As a result, it is imperative to track the superiority of groundwater for secure intake and other uses by the Bangladeshi nation. The quality of groundwater assets is assessed based on contaminants present in it using multivariate methods such as the index of water quality (WQI), cluster analysis (CA), and principal component analysis (PCA)9,10,11. According to Zotou et al.12the WQI is used to combine different groundwater quality indicators into a particular variable that captures the distinct excellence of groundwater. Furthermore, health risk evaluations of trace metals exposed from groundwater, the US Environmental Protection Agency (USEPA) advises utilizing quotients to hazard (HQ) and hazard indexes (HI)13,14.
Safe and clean groundwater is severely lacking in the nation of Bangladesh15,16. Bangladesh’s ancient Capital, Pundranagar, is currently having a lot of trouble getting clean groundwater because of its heavy reliance on groundwater supplies and the presence of contaminants17,18. To obtain groundwater, the locals established shallow tube wells on the pond or riverbank, as we observed while sampling. These locations are the most susceptible to groundwater resource contamination from trace elements because of the movement of trash from homes, businesses, fish farms, and agricultural areas18,19. Anthropogenic interventions such as massive traffic interference, disposal of solid and liquid wastes containing hazardous substances, and untreated sludge from the waste treatment plants are playing an essential role in releasing heavy metals to the surrounding ecosystem7,18,21,22,56. These activities are everyday in the case of Bangladesh, especially in the surrounding environment of the ancient Capital of Bangladesh, Pundranagar, which jeopardizes the natural environment through pollution by heavy metals21,22,56,69. In the ancient Capital of Bangladesh, Pundranagar, several earlier reports have discussed the total amounts of heavy metals in the terrestrial and aquatic environment7,18,21,22,56,69. However, none of those studies have assessed heavy metals in the groundwater from rivers, ponds, and agricultural field sites with their specific source and impacts on the surrounding ecosystems and human health. So far, understanding the author’s knowledge, the variations of heavy metals in groundwater from diverse soil systems and their toxicity in the ecosystem of the ancient Capital of Bangladesh have rarely been reported, and substantial research gaps exist, which makes the necessity in conducting such type of research in the study area. Therefore, to identify pollution sources, control pollution, and guarantee a high-quality water supply, it is essential to produce baseline information regarding the quality of groundwater.
This study assessed the level of risk to human health and groundwater quality at several locations (field, pond, and river). No such thorough investigation has been conducted to date on groundwater contamination in Bangladeshi agricultural fields, ponds, and rivers, despite the fact that numerous studies have shown heavy metals contamination in the surface of the compartment of aquatic environment18,20,21,22. As a result, this is the baseline investigation of trace elements and other physicochemical characteristics in groundwater resources in Bangladesh’s historic capital, Pundranagar. The study’s goals are to: (1) estimate the physicochemical properties of groundwater collected from the beneath of the ponds, farm, and river area; (2) evaluate the origins of heavy metals such as Cr, As, Ni, Cd, Pb, Cu, Mn, and Zn in groundwater; and (3) assess the quality of groundwater and the risks on human health posed by heavy metals using multivariate statistical methods (PCA/CA).
Methodology
Study area information
The research area is located in the northern part of Bangladesh and it lies between 23° 20′ 10.02′′ and 25° 14′ 11.45′′ N and 88° 17′ 29.50′′ and 90° 22′ 45.21′′ E (Fig. 1). Bogra district has the historic Pundranagar, the former capital of Bangladesh, which is roughly 71.56 km2 and has 350,397 residents20,23. The study area is characterized by an altitude of about 25 m above sea level and is categorized by gently sloping terrain (1–3%) and level upland landscapes. The climate in the study area is tropical, which experiences monsoons and occasional thunderstorms during the summer months (May-August). The rainy season (April-August) is typically scorching and humid, while the dry season (September-March) tends to be cooler (5–20 °C). Rainfall varies between 10.5 and 249 mm/year. The soil types are mostly loamy, silty clay loam, and sandy loam textures24. Total agricultural land spans 29,838 hectares, encompassing 72.63% of the entire area, while the drought-prone region covers 113.23 square kilometers25.
Study area map showing the sampling sites at the capital of ancient Pundranagar, Bangladesh. The figure was adopted from the study by Islam et al.56.
Groundwater sampling was conducted at the sites of a river, ponds, and agricultural fields in the ancient Pundranagar, Bangladesh. The river Korotoa is one of the rivers that has changed over the years and is connected to the Teesta and Kosi rivers. Originating from Bhutan, the Korotoa River enters Bangladesh through Darjeeling and Jalpaiguri districts, India, and forms the boundary between Dinajpur and Rangpur districts in Bangladesh. The capital of ancient Pundranagar, i.e., the Mohasthangarh is still remains at the bank of the Korotoa River as a witness to history in Bangladesh. Many visitors visit this historic site as a recreational activities, which create pollution at this site. In the study region, thousands of towns, villages, and tourist attractions have been built. The income sources for the residents of the research area are agro-farming, fishing, and aquaculture; they rely entirely on groundwater resources for their everyday needs. Numerous industries have emerged in recent years, including brickfields, clothing, dye-chemical, steel and battery manufacture, feed and agrochemical, food packaging, etc18. The Korotoa River is now used as a means of waste dumping channel from various industries, water supply for agriculture, and fishing. Around the Mohasthangarh, some ponds have been established to conserve moisture. The natural ponds have increased the beauty of this historic place. Bogura district is very important for the socioeconomic development of Bangladesh because of the diverse agricultural activities and crop production19. In the study area, the farmers cultivate various crops, especially rice, banana, spices, and others23,26,27. However, effluents from municipalities, tourists, chemicals from agro-farming, and untreated industrial wastes can cause trace elements pollution in the river, ponds, and farm sites in the study area.
In recent times, the river Korotoa is using a channel for waste dumping where the city dwellers discharge mostly polluted sewage every day. Additionally, pollution in the river, ponds and agricultural fields in this area originates from various sources, including waste from sugar mills, paper mills, jute mills, and sewage drains from Bogura district urban area21,22,56,69. The Ichamati River is connected with the Korotoa River also receives pollutants from industrial sources like the steel manufacturing factories, glass industries, agro machinery industries, and other cottage industries. Unfortunately, these industries often release untreated waste through the river channel, introducing harmful chemicals and trace elements into the rivers. These pollution sources collectively harm the river’s ecosystem, endanger aquatic life, and pose serious health risks to communities reliant on the river. Based on this vital issue, this study seeks to comprehensively analyze heavy metals in groundwater from diverse sites i.e., ponds, river, and agricultural fields in this area, identifying sources, quantifying pollution levels, and evaluating ecological and societal impacts (Fig. 1).
This study was conducted in compliance with ethical standards and guidelines by following the approval from the Institutional Ethical Committee (Reference Number: PSTU/IEC/DoSS/2025/01/112). All experimental protocols were approved by the research cell of Patuakhali Science and Technology University, Bangladesh. The study did not involve the use of any animal models or human participants. All experimental procedures were carried out according to institutional and international ethical standards for laboratory-based research, and informed consent was obtained from the subject matter of the institute.
Survey for data collection on various sector-based impacts
This study collected preliminary data on various sector-based impacts of heavy metals contaminated groundwater using a semi-structured questionnaire by Kobo Toolbox home surveys. On March, 2022, 102 families completed 20-minute questionnaires. The researcher addressed several questions based on a questionnaire during the field survey. The reliability and validity of the collected data were documented. In addition, a focus group discussion (FGD) was held with men and women to obtain information and perspectives on the use of groundwater for various purposes and their impacts.
Sample collection
Using manual pumps and underground wells (from the sites of river, pond, and agricultural field), groundwater samples were gathered during March-August 2022 (summer season) and September-February 2023 (winter season). Depending on the seasonal variation of rainfall, temperature, and waste dumping activities, we have selected two seasons for sampling. The average depth of the wells was 65 m, and the wells were located beside the river bank, rising ground bordering the ponds, and inside the fields. The distance between the wells and the river and/or pond was around 5–10 m. A total of 150 Groundwater samples (60 from the field site, 30 from the pond site, and 60 from the river site wells) were collected in 1.0 L pre-cleaned acid-washed polyethylene terephthalate (PET) bottles. 75 samples were collected during the summer season and 75 samples were collected during the winter season considering at least 12 samples from each month. The water was left to be pumped from the well for 10 min, and then the water sample was collected, so that the sample represents the groundwater. The concentrated ultrapure HNO3 (90%) was used to acidify the collected samples for trace element analysis (pH < 2). Following collection, the bottles containing the samples were appropriately labeled and transported to the laboratory. Until they underwent additional chemical analysis, all water samples were preserved in a refrigerator at 4 °C.
Physicochemical analysis
Heavy metals such as copper Cu, As, Cr, Pb, Ni, Cd, Mn, and Zn were examined in groundwater samples, along with other physicochemical properties such as pH, electrical conductivity (EC), temperature, total dissolved solids (TDS), turbidity, dissolved oxygen (DO), biological oxygen demand (BOD), sodium (Na), calcium (Ca), magnesium (Mg), ammonium nitrogen (NH4-N), nitrate nitrogen (NO3-N), total phosphorus (TP), chloride (Cl−), sulfate (SO4=), and bicarbonate (HCO3−). Water temperature, pH, dissolved oxygen, EC, TDS, and turbidity were all measured throughout the sampling process using a multi-parameter pH meter, Hach HQ40dTM, YSI Inc., USA. NH4-N, NO3-N, TP, Cl−, and SO4= concentrations were measured with the help of a spectrophotometer. Heavy metals in samples were measured using an inductively coupled plasma mass spectrometer (ICP-MS, 7800, Agilent Technologies, California, USA). Total suspended solids (TSS) and biochemical oxygen demand (BOD) were measured after five days28. Total dissolved solids (TDS) were calculated using the following formula by APHA292005) based on the elemental concentrations:
TDS (mg/L) = ∑Cations + ∑ Anions (except HCO3−) + 0.6× HCO3− (1).
Water quality index
WQI was calculated using the mean values of the parameters that were studied. The assigned weight (AW) of Cl−, SO42−, HCO3−, EC, pH, TSS, Turbidity, TDS, DO, BODs, NO3-N, NH4-N, TP, Na, Ca, Mg, As, Cd, Pb, Cr, Ni, Cu, Mn, and Zn were 3, 4, 3, 3, 4, 1, 2, 3, 4, 4, 5, 3, 5, 4, 4, 4, 3, 4, 2, 1, 2, 4, 5, and 1, respectively, and the relative weight (RW) was calculated using the formula below:
RW=\(\:\text{A}\text{W}/{\sum\:}_{i=1}^{n}\text{A}\text{W}\) (2).
By dividing the measured characteristics (Ci) by the drinking water values (Si) allowed by the international norms30,31,32and then multiplying the result by 100, the quality rating (Qi) was determined.
Qi= \(\:\frac{Ci}{Si}\times\:100\) (3).
Sub-indices (SI) were then calculated {Eq. (4)} and WQI were calculated by adding to the sub-indices {Eq. (5)}
SIi=RW×Qi (4).
WQI=\(\:{\sum\:}_{i=1}^{n}\text{S}\text{I}\text{i}\) (5).
There are five ways to classify groundwater quality: Water quality is classified according to values of WQI as: 0–25 excellent, 26–50 good, 51–75 poor, 76–100 very poor, and > 100 unsuitable14,27,33.
About the quality assessment, most studies used the water pollution index34,35 to evaluate the level of groundwater pollution in the study area. A coupling of approaches was used to appraise the pollution of heavy metals in groundwater. Contamination factor (CF)36Nemerow’s pollution index (NPI)37degree of contamination (Cdeg)36modified degree of contamination (mCd)38and pollution load index (PLI)39.
The CF of heavy metals in groundwater was calculated according to Eq. (1).
where, Celement is heavy metals concentration in groundwater and Cbackground is the background concentration of the respective heavy metal. According to Håkanson36the CF value was classified into four grades such as CF < 1 (low contamination), 1 ≤ CF < 3 (moderate contamination), 3 ≤ CF < 6 (considerable contamination), and CF ≥ 6 (very high contamination).
The pollution load index (PLI) was calculated based on the following equation:
According to Tomlinson et al.39 three grades of water quality were categorized as, PLI = 0 (perfection), PLI < 1 (baseline level), and PLI > 1 (high degree of contamination).
Nemerow’s pollution index (NPI) was calculated using the following equation:
2.
CFmax = maximum contamination factor for heavy metals in each sample; CFave = average of the contamination factor. Dan et al.37 stated four grades of water quality as per the value of NPI as 0 ≤ NPI ≤ 1 (good quality), 1 ≤ NPI ≤ 5 (slightly polluted), 5 ≤ NPI ≤ 10 (moderately polluted), and NPI ≥ 10 (heavily polluted).
The degree of contamination (Cdeg) was calculated by the following equation:
Cdeg=\(\:\sum\:_{i=1}^{i=n}CF\) (9).
where, CF is the contamination factor. Håkanson36 classified four grades of contamination degree as Cdeg < 8 (low degree of contamination), 8 ≤ Cdeg < 16 (moderate degree of contamination), 16 ≤ Cdeg < 32 (considerable degree of contamination), and Cdeg > 32 (high degree of contamination).
Modified degree of contamination (mCdeg) was calculated by the following equation:
According to Abrahim and Parker38seven classes of water quality were categorized as: mCdeg< 1.5 (uncontaminated), 1.5 ≤ mCdeg < 2 (slightly contaminated), 2 ≤ mCdeg < 4 (moderately contaminated), 4 ≤ mCdeg < 8 (moderately to heavily contaminated), 8 ≤ mCdeg < 16 (heavily contaminated), 16 ≤ mCdeg < 32 (severely contaminated), and mCdeg > 32 (extremely contaminated).
Human health risks
Non-carcinogenic risk
Trace elements’ non-carcinogenic health risk was determined using the hazard quotients (HQs). The carcinogenic risk (CR) was evaluated only for As with carcinogenic slope factors (CSF)40,41. Health risks of trace elements through ingestion and skin absorption of groundwater for both adults and children were calculated using the following formulas41,42,43,44:
where, ‘HQ’ indicates hazard quotient, ‘Cw’ is metals concentration in water (mg/L), ‘IRW’ is ingestion rate of water (2.0 and 0.64 L/day for adults and children), EV’ is exposure events (1.0), ‘EF’ is exposure frequency (350 days/year), ‘ED’ is exposure duration (70 and 6 years for adult and children), ‘BW’ is body weight (70 and 15 kg for adult and children), ‘AT’ is average time for non-carcinogens (25550 and 2190 days for adult and children), ‘RfDo’ is oral reference dose (mg/kg-day), and ‘GIABS’ is gastrointestinal absorption (unitless).
Hazard index (HI) was calculated by summing the HQs in each exposure pathway.
While HQs and HI values < 1 suggest that non-carcinogenic health consequences are not anticipated, HQs and HI values > 1 suggest that there may be a chance for negative non-carcinogenic health impacts45,46,47.
Carcinogenic risks of as
Total cancer risk (TCR) was obtained by the sum of cancer risks (CRs).
where, ‘IFW’ Resident water ıngestion rate (L/kg), ‘CSFo’ oral cancer slope factor (µg/kg/day)−1, ‘DFW’ is resident water dermal contact factor (cm2 -event/kg), and ‘SA’ is exposed skin area (cm2).
The risk is within an acceptable level when the CR and TCR fall between 10−4 and 10−6. Risk is considered minimal when the CR and TCR values are less than 10−6, and unacceptable when they are larger than 10−4 proposed by USEPA48,49. All of the terms, measurements, and units associated with the Regional Screening Level risk for health are listed in Table S1.
Statistical analysis
SPSS program (Version-20, IBM-Corporation, NY, USA) was used to statistically evaluate the parameters. Multivariate statistical techniques, including principal component analysis (PCA), cluster analysis, and Pearson correlation analysis, were used to assess possible correlated relationships and source evaluations of detected parameters in groundwater.
Results and discussion
Physicochemical characteristics
Table 1; Fig. 2 show the concentrations of trace elements (As, Pb, Cr, Cd, Ni, Mn, Cu, and Zn) and other chemical parameters associated with the quality of analyzed groundwater. Considering all samples from field, pond, and river sites, the mean temperature was 20.41 ± 2.01 °C, with a range of 15.0–25.5 °C (Table 1). Considering the specific site, the mean temperature was observed as 20.81 ± 1.90, 18.91 ± 1.44, and 20.7 ± 2.07 °C, respectively for the field, pond, and river sites. The ionic concentrations, such as Cl−, SO42−, and HCO3− were ranged 12.5-202.1, 1.51–19.13, and 154.6-569.9 mg/L for all samples. However, the mean values of Cl− (83.64, 93.63, and 45.5 mg/L), SO42− (11.52, 10.67, and 3.71 mg/L), and HCO3− (388.8, 387.6, and 306.0 mg/L) were observed for the for the field, pond, and river sites (Table 1). Elevated amounts of HCO3− and Ca2+ ions indicate that the dissolution of carbonate minerals may be affecting groundwater quality50. Groundwater samples had HCO3− values of 356.1 mg/L, which was more than the allowed water quality acceptable limit of 200 mg/L31 (Table 1), indicated that the present situation of HCO3− in groundwater might create a problem to the consumers. The primary sources of carbonate are carbonate-rich rocks such as crystal limestone and dolomitic limestone. According to Subramani et al.51the HCO3− found in these minerals may have been dissolved and added to the groundwater during irrigation, water infiltration, and circulation of groundwater.
WQI values in sampling sites in the capital of ancient Pundranagar, Bangladesh. Bar indicates standard deviation. Horizontal dot lines indicate the quality class of water based on the water quality index value.
A mean pH was observed as 6.78 ± 0.47, 6.77 ± 0.42, and 6.58 ± 0.55, respectively, for the field, pond, and river sites, indicating slightly acidic to marginally alkaline. Slightly higher pH in water is much more likely to change the pH of potting mixes since pots are watered much more frequently than plants in the ground. In the study area, municipalities often used sodium hydroxide in drinking water treatment, which could result in higher pH after the reverse osmosis process. However, the present investigation is consistent with those of Rahman et al.52who found similar conditions of groundwater in the northwest part of Bangladesh (pH was 5.70–8.60; acidic to slightly alkaline). WHO31 states that the drinking water standards should be within this optimal range (pH value falls between 6.5 and 8.5). The mean EC value was observed as 148.7 ± 202.5, 138.7 ± 45.89, and 112.4 ± 42.6 µS/cm for the field, pond, and river sites (Table 1). Because of the intensive farming operations, groundwater samples from the crop fields had the highest EC value (range: 49.20–1205 µS/cm, mean 148.7 ± 202.5 µS/cm)53.
The turbidity in groundwater is attributable to suspended matter such as clay, silt, fine fragments of organic matter, and similar material. The turbidity value of groundwater at the river site was 1.67 ± 0.52 NTU, while the highest water turbidity was recorded as 2.07 ± 0.93 NTU from the pond area (Table 1). Turbidity is closely related to total suspended solids (TSS), where in the pond area, large suspended dissolved solids via leaching to the underground water might cause elevated turbidity. Turbidity, also known as anthropogenic turbidity, can result from human activities. These can originate from a variety of sources, such as mining, deforestation, industrial discharges, construction, agricultural activities, or runoff from the urban area. Turbidity levels in natural water bodies can increase due to human activity. Total dissolved solids (TDS) are all water-soluble mineral salts that are largely accumulated in in underground water, where stagnant water i.e., in the pond area, is leached for the long time. In addition to trace amounts of organic components, TDS are dissolved in groundwater with the anions and cations like Ca, Mg, K, Na, HCO3−, Cl−, and SO42− stated by WHO32. The mean TDS value was recorded as 55.15 ± 20.95, 39.78 ± 14.54, and 44.3 ± 14.0 mg/L, respectively for the field, pond, and river sites (Table 1). Considering all samples, the TDS value was observed as mean: 47.75 ± 18.13; range: 19.8-108.3 mg/L, which was far lower than the WHO-recommended TDS limit (600 mg/L) in groundwater, indicated that the groundwater from the study area was safe for human consumption. However, it is not recommended that drinking water have more than 1000 mg/L of TDS32. Aquatic life is not restricted by the oxygenation parameters of DO and BOD values, as seen in Table 1. In samples, the mean levels of DO were observed as 0.99 ± 0.34, 1.37 ± 0.31, and 1.71 ± 0.43 mg/L and BOD were observed as 0.39 ± 0.31, 0.83 ± 1.31, and 0.56 ± 0.37 mg/L, respectively for the field, pond, and river sites (Table 1). There were no discernible differences in DO and BOD amongst the samples collected from three different areas, such as the farm, pond, and river. Taş et al.54 states that DO in groundwater are influenced by biological activity, concentration of salt, water temperature, and ambient gas partial pressure.
Groundwater has higher concentrations of nitrogenous compounds, especially NO3-N, for field (74.05 ± 40.33), pond (82.87 ± 45.40), and river site (53.9 ± 23.7 mg/L, respectively), than the necessary international requirements of 50 mg/L31 (Table 1). Nitrate can get into water directly as a result of the runoff of fertilizers containing nitrate from the agricultural fields and aquaculture ponds. Some nitrate enters water from the atmosphere, which carries nitrogen-containing compounds derived from automobiles and other sources. Since nitrogen contamination is more of a problem in shallow aquifers55it is worthwhile to be aware that the groundwater resource in the pond and farm area in the study area of Bangladesh would be more at risk for nitrogen contamination56. Na, Ca, and Mg in water samples varied largely among the field, pond, and river sites. The mean levels of Na (145.3 ± 73.22, 119.3 ± 62.14, and 143.4 ± 47.7 mg/L), Ca (30.78 ± 7.31, 17.63 ± 4.48, and 17.7 ± 4.2 mg/L), and Mg (61.59 ± 27.65, 69.67 ± 19.56, and 59.7 ± 13.9 mg/L), respectively for the field, pond, and river sites (Table 1). The field site had the highest amount of Na (145.3 ± 73.22 mg/L) and Ca (30.78 ± 7.31 mg/L), while the pond site had the highest concentration of Mg (69.67 ± 19.56 mg/L), and the observed Mg value exceeded the water quality standard of 30 mg/L stated by WHO31. Singh et al.57 explained that carbonates of calcium and magnesium and sulfate of magnesium are most likely the primary sources of magnesium in the underground water.
Heavy metal concentration
The mean value of Cd was observed as 0.033 ± 0.018 mg/L for the agricultural farm site, 0.038 ± 0.011 mg/L for the pond site, and 0.046 ± 0.020 mg/L for the river site. Cd concentrations in water samples were 11–15 times higher than the WHO limit of Cd (0.003 mg/L) in groundwater, indicating severe contamination by Cd (Table 2). Among three sites, higher level of Cd was observed in the pond sites (0.046 mg/L), which might be due to the leaching of Cd with the dumped waste in the nearby ponds. The mean Pb level was observed as 0.053 ± 0.018, 0.048 ± 0.010, and 0.048 ± 0.015 mg/L, respectively for the field, pond, and river sites (Table 1), which was higher than the water quality standard of WHO30 (0.01 mg/L) (Table 2), indicating severe contamination by Pb and might cause risk to the consumers. Considering all samples from all sites, the mean value of Cr was observed as 0.042 ± 0.021, 0.053 ± 0.021, and 0.040 ± 0.016 mg/L, respectively for the field, pond, and river sites, which was lower than the WHO30 recommended limits (0.05 mg/L) (Table 2). However, site specific consideration, groundwater from the pond site’s wells had a Cr concentration of 0.053 ± 0.021 mg/L, which was marginally above the recommended limits (0.05 mg/L, WHO30 and (0.01 mg/L, USEPA58 (Table 2), indicating severe contamination of groundwater at the pond site. Ni had an average concentration of 0.076 ± 0.029, 0.068 ± 0.046, and 0.083 ± 0.058 mg/L at the field, pond, and river sites, respectively (Table 1), which was higher than the water quality standard for Ni (0.02 mg/L) (WHO30. The samples’ mean heavy metal concentrations were followed in the decreasing order: Zn > Mn > Ni > Pb > As > Cr > Cd > Cu. The heavy metals found in groundwater samples from this study align with those reported in other studies worldwide and in Bangladesh59,60,61,62,63,64 (Table 2).
Nonetheless, groundwater extracted from the pond site contained notable concentrations of toxic heavy metals such as Cr, Cd, As, and Pb. Groundwater from the pond site was high in Cr, Cd, As, and Pb, indicating that its groundwater was polluted compared to the other selected sites. An increased amount of these elements may be caused by industrial effluents, fertilizer infiltration, soil leaching, rock weathering, residential and agricultural pollution, and municipalities in ponds and the surrounding area64,65. Therefore, the high concentrations of these toxic heavy metals from the groundwater resource can cause a dangerous risk for the residents in the study area.
Water quality assessment
The WQI approach was employed in this work to appraise the physicochemical features of groundwater that is quickly affected by noticeable environmental changes66. The results are shown in Fig. 2. Each sampling site’s WQI was computed for water quality estimation, and the parameter’s weight values were established (Table 3). The corresponding WQI values were calculated as 58.88 (field site), 48.57 (pond site), and 55.97 (river site) (Fig. 2). While drinking quality of groundwater from the pond site showed good and groundwater from the field and river sites was noted as poor quality of water for drinking purpose. This makes it is not possible to collect groundwater from the tube wells in the field and river areas whereas, possible from the pond site. Since WQI has been broadly used to evaluate the quality of water, the results will be essential for managing Bangladesh’s groundwater resources66,67,68.
The groundwater quality also assessed due to the contamination factor (CF), pollution load index (PLI), Nemerow’s pollution index (NPI), degree of contamination (Cdeg), and modified degree of contamination (mCdeg) of the field (GWF), pond (GWP), and river (GWR) area is shown in Figs. 3 and 4A, B, C and D. Considering all sites, As from the pond site and Cd from the river site showed very high contamination levels of groundwater (CF > 6.0). As, Cd, and Pb from the other sites showed considerable contamination, whereas, other elements showed low to moderate contamination (Fig. 3). As a whole, the mean CF values were 1.81, 2.16, 1.06, 5.29, 5.57, 3.56, 2.49, and 1.45 for Cr, Ni, Cu, As, Cd, Pb, Fe, Mn, and Zn, respectively. High CF values for Cd in the river area and As in the pond area could be attributed to waste dumping in ponds and the application of arsenical pesticides in agricultural fields18,23,26,56.
Contamination factor (CF) of heavy metals in groundwater collected from the field (GWF), pond (GWP), and river (GWR) in the capital of ancient Pundranagar, Bangladesh. Horizontal red dot lines indicate the standard limit of contamination level.
Risk index value for assessing groundwater quality. (A) Pollution load index (PLI), (B) Nemerow’s pollution index (NPI), Degree of contamination (Cdeg), and (D) Modified degree of contamination (mCdeg) due to heavy metal contamination in groundwater collected from the field (GWF), pond (GWP), and river (GWR) in the capital of ancient Pundranagar, Bangladesh. Horizontal red dot lines indicate the level of contamination in groundwater for different risk index.
The PLI values of heavy metals in groundwater are presented in Fig. 4A. The PLI values were observed as 2.16, 1.99, and 2.13, respectively, for the field, pond, and river site. The water from the studied area showed a high degree of pollution due to heavy metal contamination (PLI > 1). The calculated mean values of NPI were observed as 17.36, 15.38, and 17.36, respectively for the field, pond, and river site, indicated heavily polluted of groundwater (NPI ≥ 10) (Fig. 4B). The Cdeg values of heavy metals in groundwater were 23.41, 21.50, and 23.28, respectively, which indicates considerable degree of contamination (16 ≤ Cdeg < 32) (Fig. 4C). For evaluating water quality due to heavy metals contamination, the mCdeg was used and groundwater from the field, pond, and river sites contained groundwater that surpassed the contamination threshold limit (mCdeg=1.5). The calculated mean values of mCdeg were observed as 2.93, 2.75, and 2.91, respectively, which indicates moderately contaminated groundwater (2 ≤ mCdeg < 4) (Fig. 4D). The descending order of the pollution status of the study area is in the order of field > river > pond. Elevated levels of water quality indices values were observed in the field and river sites, which might be due to the severe application of chemicals and fertilizers in the study area, waste burning near the farm and river sites, and establishment of agro-industries around the farm area18,23,26,56,69.
Statistical exploration
Correlation analysis
The characteristics assessed in water samples were used to create the Pearson correlation matrix, which is shown in Table 4. Among the correlations, strong positive and negative relationships were observed such as Cl−-SO42− (r = 0.478**), Cl−-TSS (r = 0.341**), Cl−-DO (r=−0.264*), and Cl−-Ca2+ (r = 0.274*); SO42−-TSS (r = 0.443**), SO42−-DO (r = 0.453**), and SO42−-Ca2+ (r = 0.424**), EC-TSS (r = 0.250*); pH-TP (r=−0.274*); TSS-Ca2+ (r = 0.233*) and TSS-Mg2+ (r=−0.238*); TDS-Na+ (r = 0.276*) and TDS-Ca2+ (r = 0.231*); DO-NH4N (r=−0.283*) and DO-Ca2+ (r=−0.630**); and NH4N-TP (r=−0.306**) and NH4N-Na+ (−0.244*) (Table 4). Cl−, SO42−, and Mg2+ have positive associations with soluble salts, and similar results were also observed by Varol and Sen70. The groundwater taken from the pond location (93.63 mg/L) and agricultural land (83.64 mg/L) had the greatest Cl− level. Groundwater taken from identical reservoirs likewise had the highest SO42− level (11.52 mg/L in the field site and 10.67 mg/L in the pond site). However, groundwater taken from the river site had the lowest levels of both criteria. These findings demonstrated that human activities in the pond and crop field aquifers have an effect on the salinity and electrical conductivity of the groundwater. Both temperature and TP showed significant correlations (negative) with pH (Table 4). TSS, turbidity, and DO showed negative correlations with NO3-N, whereas, NO3-N exhibited a slight positive association with the majority of the measured chemical parameters in groundwater.
Overall, the water quality parameters’ correlation coefficients showed a substantial relationship, i.e., Ca2+-Cl− (r = 0.274*) and Ca2+-SO42 (r = 0.424**). This result indicated that these parameters might be caused by human activities, industrial effluents, and runoff from the surrounding farmlands71,72. Since oxygen solubility increased in cooler water, it was not surprising that DO and water temperature had a negative correlation73. Additionally, Table 4 shows negative correlation such as DO-Cl−(r=−0.264*), DO-SO42−(r = 0.453**), DO-NH4N (r=−0.283*) and DO-Ca2+ (r=−0.630**). The rising trend of Cl−, SO42−, NH4-N, and Ca2+ in groundwater might be due to the respiration and organic matter degradation, which would lower the DO concentration74. TSS and TP had positive correlations (r = 0.133) (Table 4), suggesting that suspended particles may be the cause of the phosphorus adsorbed in samples75.
Principal component analysis
Table S2 and Fig. 5 display the results of PCA and CA with the relative eigenvalues, variance, and cumulative percentage of Initial eigenvalues. After being extracted, three independent factors with eigenvalues greater than one explained 57.287% of the variation (Table S2). The factor loadings were categorized as “strong: > 0.75,” “moderate: 0.75–0.50,” and “weak: 0.50–0.30” based on the absolute loading values that were obtained by Gao et al.76. The PC1 which accounted for 20.263% of the rotation loadings of sums squared and it had strong negative loading with Cr (−0.682), a moderate loading with Cu (0.503), and high positive loading with Cd (0.603) (Table S2). In the current investigation, PC 1 was ascribed to the impacts of human activities due to elevated amounts of Cu, Cd, and Cr levels in groundwater under the current study77,78.
Principal component analysis (PCA) of the analyzed trace elements by scree plot of the characteristic roots (eigenvalues) and component plot in rotated space.
The PC 2 had a positive correlation with Mn (0.511) and Ni (0.766), and it accounts for 16.761% of the total variation (Table S2). Parent materials and rock weathering may be the cause of these metals in groundwater79. With negative loadings of Zn (−0.442) and positive correlations with As (0.674) and Pb (0.465), the PC 3 accounts for 14.806% of the overall variation (Table S2). As, Zn, and Pb may be found in groundwater as a result of corrosion from galvanized iron, synthetic chemical fertilizers and pesticides, the manufacturing of chlorine and sodium hydroxide, and alloy industries80,81.
Following the Ward linkage method associated with Euclidean distance, the hierarchical cluster analysis (HCA) was employed to identify the relationship among the sampling sites as well as the concentrations of heavy metals in samples82. We have used a hierarchical cluster analysis to observe the spatial similarities of heavy metals from different sampling sites within the study area (Q-mode) (left panel of Fig. 6A) and the similarities of heavy metals in groundwater samples (R-mode) (right panel of Fig. 6B). We vividly observed that heavy metals in field 4, field 5, and field 10, river 2, river 6, and river 7, and pond 2, pond 3, and pond 4 were in cluster 1; field 3, field 6, field 7, field 8, and field 9, pond 1 and pond 5, and river 1, river 3, river 4, river 5, river 9, and river 10 were in cluster 2; and field 1 and field 2 and river 8 were in cluster 3 (Fig. 4A). As, Cr, Cd, Pb, Cu, and Ni were in cluster 1, Mn in cluster 2 and Zn in cluster 3 (Fig. 6B). The HCA was in line with the explored PCA, indicating a similar source of heavy metals in groundwater of the study area. Moreover, the findings of HCA denote the more or less similar accumulative characters of heavy metals in groundwater from different sites of fields, pond and river area83,84. The PCA result, which validates the conclusion, is mostly supported by the analyzed elements in groundwater or clustered from the sampling sites in each of the created cluster85.
Dendrogram obtained by hierarchical clustering analysis for the sampling sites (Q-mode) (A) and Dendrogram obtained by hierarchical clustering analysis for the chemical elements (R-mode) (B).
Health risk
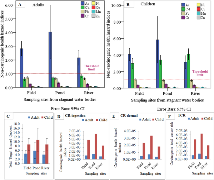
Non-carcinogenic and carcinogenic health issues related to heavy metals are depicted in Fig. 7A, B, C, D, and E. While As for adults (Fig. 7A) and As and Cd for children (Fig. 7B) were above the limit of threshold for creating health hazard (HQ > 1) for just the intake pathway (HQing=1.14), HQing and HQder health risk for other heavy metals was lower than the unity (HQ < 1), indicating less risk. From the ingestion pathway, the HQ value was observed as 2.78 for adults, and it was surpassed for As through groundwater ingestion. As > Cd > Pb > Cr > Mn > Ni > Cu > Zn was the general downward trend of the estimated HI (Fig. 7A, B). Considering the sum of HQ, the HI value for As exposure was observed as 2.80 for adults and 4.03 for children, which exceeded the safe limit (HI < 1.0), suggesting that it could cause As-related health risk. Numerous health hazards, including neurotoxicity, reproductive failure, and cardiovascular disease it might be brought on by slightly elevated As concentrations86. Larger HI values for Cd and As may indicate a larger risk for youngsters than for adults. Chromosome abnormalities87allergic inflammation88and other skin conditions may be connected to this.
Estimated health risk indices for the groundwater from three stagnant water bodies (pond, river, and crop field) at the capital of ancient Pundranagar, Bangladesh. Non-carcinogenic: (A) health hazard indices for adults; (B) health hazard indices for children; (C) total target hazard quotient (TTHQ); Carcinogenic: (D) health hazard indices for ingestion, (E) health hazard indices for dermal contact and (F) total carcinogenic risk estimation through ingestion and dermal exposure from the elements dissolved in groundwater for children and adults.
Also, adverse effect was observed for the water ingestion pathway on the health of the residents, and were more than the dermal contact pathway (Fig. 7A, B). It is noteworthy that total non-carcinogenic risk values for ingestion pathway for both the adult and child residents were higher than those for dermal contact, indicating that water ingestion for the residents were more sensitive and the data is in line with the results of previous studies40,72,89,90,91. The exposure of adults and children, especially to As and Cd, was considerably elevated by groundwater samples taken from the pond site. Considering the ingestion and dermal contact pathways for heavy metals exposure, the HQ or HI for individual metal such as Cr and Pb were identical to the threshold limit, which indicated that these elements may pose a serious health risk after long-term consumption of groundwater from the same source. Furthermore, among all tested trace elements, the total target hazard quotient (TTHQ) (Fig. 7C) of which HQ > 1 indicates potential non-carcinogenic health impacts86. A potential health risk was indicated by the TTHQ values were 4.58, 5.88, and 4.11 for adults and 8.69, 10.86, and 8.78 for children (Fig. 7C). The risk was larger by ingesting the soil particles than the touching of soil particles by skin, as indicated the values for TTHQingestion and TTHQdermal in adults (4.62 and 0.023) and children (5.09 and 0.042).
CR from the various sites exceeded the threshold level for both the exposure routes, i.e., ingestion and skin contact, and Fig. 7D, E showed the daily dose of As and its cancer slope factor. According to Fig. 7D, the CR value for adults and children for all sites exceeded the USEPA-recommended limit of 1 × 10−4, especially for the water ingestion route. Considering dermal contact, the CR value was observed for adults as 5.05 × 10−6 in the field site, 7.21 × 10−6 in the pond site, and 3.88 × 10−6 in the river site. and children (2.36 × 10−5 in the field site, 3.37 × 10−5 in the pond site, and 1.81 × 10−5 in the river site (Fig. 7E). Based on the As exposure from groundwater, calculated value of total cancer risk was also higher than the USEPA-recommended limit of (1 × 10−4) for both adult (range: 7.32 × 10−4 − 1.36 × 10−3) and children (range: 3.42 × 10−3 − 6.35 × 10−3) (Fig. 7F). This suggested that frequent groundwater use in Bangladesh’s ancient Pundranagar capital would raise the risk of bladder, skin, and lung cancer and that long-term arsenic toxicity could result in keratosis and pigmentation92. The skin lesions has been observed due to As exposure at the range of As 5–10 µg/L in drinking waters93. Other diseases like skin cancers, internal cancers such as bladder, kidney, and lung also occurred due to the As contamination in groundwater94. Therefore, sensitive group especially children should be paid more attention with the exposure of As in groundwater from the field, pond, and river area in the former capital of Bangladesh. Using the US Environmental Protection Agency standard value of As 50 mg/L in water, it has been estimated that the lifetime cancer risk of As, while a person drink groundwater 1 L/day containing As at this concentration could be as high as 3–6 per 1000 children and 1–7 per 10000 adult persons exposed to As.
Sector-based impacts of groundwater
This study analyzed Likert scale data on various sector-based factors such as crop damage, loss of livestock, damage on the loss of aquaculture, damage to industries, and changes in soil properties, and data are presented in Fig. 8A, B,C, D,E, and F. The mean scores revealed a consensus on the severity of the crisis, while the median scores indicated a broad understanding of the impact on various sector-based activities. The mode scores showed the most frequently selected response options, with numbers 4 and 5 appearing across various factors, indicating the dominant opinions and concerns among the participants who are using groundwater for their daily activities. The mean scores (4–37%) for “Crop Damage” indicated a consensus on the severity of the crisis and the apprehensions among the population (Fig. 8A). Around 37% of the respondents reported the medium risk level of crop damage due to the use of groundwater, while the high to very high crop loss was minimum (Fig. 8A), which indicated that the farmers in the study area not only use the ground water for irrigation but also they used surface river water for crop production.
Various sector-based impacts of heavy metals contaminated groundwater at the capital of ancient Pundranagar, Bangladesh. (A) Percent damage on crops, (B) percent damage on the loss of livestock, (C) percent damage on human health, (D) percent damage on the loss of aquaculture, (E) percent damage on industries, and (F) percent damage on soil properties change due to the use of polluted groundwater in the study area.
The measures of variance facilitated comprehension of the distribution of responses in the study area within each factor related to the survival of humans in the area. Livestock loss was also a significant issue, with 40% respondents were high and 37% were very high within the groundwater using to nourish their livestock such as cattle, ducks, cows, goats, and chickens (Fig. 8B). About high (37%) to very high (41%) responded thought that heavy metals contamination in groundwater were the problems for health in the study area (Fig. 8C). Furthermore, from field survey, it revealed that, 48% of respondents reported an increase the aquaculture loss under very high level due to groundwater pollution by heavy metals, while another 37% experienced a higher rate of aquaculture loss due to the use of metals contaminated groundwater (Fig. 8D). This highlighted the negative impact of environmental issues on people’s lives and the need for further action to prevent additional harm to the water body95,96,97,98,99.
Aquaculture production was severely affected by heavy metals pollution, with 48% of respondents being severely affected (very high) and 37% highly affected. Fisheries losses were also a significant concern, where the local people used groundwater for aquaculture (Fig. 8D). The industrial activities was also affected by heavy metals pollution, with 34% of respondents being medium affected and 23% were affected as low level (Fig. 8E). Heavy metals contamination in groundwater also had impact on the change of soil properties, where 29% were in medium level and 34% responded mentioned high change of soil properties (Fig. 8F). This highlighted the importance of foods from aquaculture and income for local communities, leading to financial difficulties and increased demand for fish100. Poor sanitation and polluted waters negatively impacted a significant portion of the population; with 41% experienced very high levels of negative effects and 37% being highly impacted (Fig. 8C). This highlighted the urgent need for improved groundwater resource to mitigate the harmful effects on public health and well-being.
Conclusions
In this study, physicochemical parameters and heavy metals in groundwater from the river, field, and pond sites in the ancient Capital of Bangladesh were assessed. The concentrations of physicochemical parameters such as HCO3−, NO3-N, Na, and Mg and heavy metals from some sites were higher than the safe recommended values, indicating that the groundwater from these sites were polluted and might create an adverse effect on this ecosystem. The drinking quality of groundwater from the pond site showed good quality level and from the field and river sites was noted as poor quality. The values of CF, PLI, NPI, Cdeg and mCdeg indicated that the groundwater were polluted by heavy metals to different levels. Considering the vulnerability among the exposure groups, children are more susceptible than adults to use the groundwater in the study area, where As and Cd contributed to cause health risks. Heavy metals especially As and Cd exposure from the ingestion and dermal contact of groundwater for adult and children were exceeded the risk threshold of unity indicated potential health risk. The CR values of As in groundwater for the residents were slightly higher than the acceptable range of 1 × 10−4 and 1 × 10−6, indicating potential carcinogenic risks. Heavy metals in ground water in the current study had a considerable impacts on the loss of livestock, aquaculture loss, health problems, and change of soil properties. Based on the current findings, this study suggested adopting sustainable water management technology by the regulatory organizations to minimize unanticipated activities that will reduce heavy metals accumulation in groundwater. Households may be advised to install reverse osmosis (RO) systems for groundwater purification, which are effective in removing heavy metals. Additionally, bioremediation and phytoremediation techniques can be followed to remove heavy metals, while constructed wetlands in the study area enhance natural purification of groundwater and ecological resilience. Strengthen environmental governance by updating the existing standards for water quality and imposing pollution taxes, fines, or environmental levies to ensure accountability and sustainable practices. In addition, local healthcare may investigate the levels of heavy metals in human beings (blood and urine) and animals of the study area to accomplish a complete scenario of risk assessment.
Data availability
All data obtained and analyzed during this study are available from the corresponding author on reason able request.
References
Rashid, M. B. et al. Salinity-induced change in green vegetation and land use patterns using remote sensing, NDVI, and GIS techniques: A case study on the Southwestern Coast of Bangladesh. Case Stud. Chem. Environ. Eng. 7, 100314. https://doi.org/10.1016/j.cscee.2023.100314 (2023).
Wang, X., Zhang, L., Zhao, Z. & Cai, Y. Heavy metal pollution in reservoirs in the hilly area of Southern china: distribution, source apportionment and health risk assessment. Sci. Total Environ. 634, 158–169 (2018).
Varol, M. Spatio-temporal changes in surface water quality and sediment phosphorus content of a large reservoir in Turkey. Environ. Pollut. 259, 113860 (2020).
WHO & UNICEF. Progress on Drinking Water, Sanitation and Hygiene: Update and SDG Baselines. Geneva. (2017). https://washdata.org
Yeazdani, S. M. G. State of drinking water and its management aspects in Dhaka City. J. Nepal. Geol. Soc. 50, 59–64 (2016).
UNICEF. Bangladesh National Drinking Water Quality Survey. Bangladesh Bureau of Statistics, Planning Division, Ministry of Planning, Government of the People’s Republic of Bangladesh. (2009). https://washdata.org/sites/default/files/documents/reports/Bangladesh-2009-MICS-water-quality-report
Islam, M. S. et al. Toxicity factors, ecological and health risk assessments of heavy metal in the urban soil: a case study of an agro-machinery area in Bangladesh. Environ. Geochem. Health. https://doi.org/10.1007/s10653-024-02213-x (2024).
Karunanidhi, D. et al. Risk of fluoride-rich groundwater on human health: remediation through managed aquifer recharge in a hard rock terrain, South India. Nat. Resour. Res. https://doi.org/10.1007/s11053-019-09592-4 (2019).
Haider, H. et al. Spatiotemporal water quality variations in smaller water supply systems: using modified CCME WQI from groundwater source to distribution networks. Water 11, 1884 (2019).
Tian, Y. et al. Using a water quality index to assess the water quality of the upper and middle streams of the Luanhe river, Northern China. Sci. Total Environ. 667, 142–151 (2019).
Ustaoglu, F., Tepe, Y. & Taş, B. Assessment of stream quality and health risk in a subtropical Turkey river system: A combined approach using statistical analysis and water quality index. Ecol. Indicat. 113, 105815 (2020).
Zotou, I., Tsihrintzis, V. A. & Gikas, G. D. Water quality evaluation of a lacustrine water body in the mediterranean based on different water quality index (WQI) methodologies. J. Environ. Sci. Health A. 55, 537–548 (2020).
USEPA. National Primary Drinking Water Regulations. (2021). https://www.epa.gov/groundwater-and-drinking-water/national-primary-drinking-water-regulations#Inorganic Accessed 8 Jan 2025.
Meng, Q., Zhang, J., Zhang, Z. & Wu, T. Geochemistry of dissolved trace elements and heavy metals in the Dan river drainage (China): distribution, sources, and water quality assessment. Environ. Sci. Pollut Res. 23, 8091–8103 (2016).
Pal, S. C. et al. Application of data-mining technique and hydro-chemical data for evaluating vulnerability of groundwater in Indo-Gangetic plain. J. Environ. Manag. 38, 115582. https://doi.org/10.1016/j.jenvman.2022.115582 (2022).
Jannat, J. N. et al. Using unsupervised machine learning models to drive groundwater chemistry and associated health risks in Indo-Bangla Sundarban region. Chemosphere (2024). https://doi.org/10.1016/j.chemosphere.2024.141217
Al Mamun, M. A. et al. Predicting groundwater phosphate levels in coastal multi-aquifers: A Geostatistical and data-driven approach. Sci. Total Environ. https://doi.org/10.1016/j.scitotenv.2024.176024 (2024).
Proshad, R. et al. Receptor model-based source apportionment and ecological risk of metals in sediments of an urban river in Bangladesh. J. Hazard. Mater. https://doi.org/10.1016/j.jhazmat.2021.127030 (2021).
Islam, A. R. M. T. et al. Optimizing coastal groundwater quality predictions: a novel data mining framework with cross-validation, bootstrapping, and entropy analysis. J. Contam. Hydrol. https://doi.org/10.1016/j.jconhyd.2024.104480 (2024).
Islam, M. S., Ahmed, M. K., Raknuzzaman, M., Habibullah-Al-Mamun, M. & Islam, M. K. Heavy metal pollution in surface water and sediment: a preliminary assessment of an urban river in a developing country. Ecol. Indic. 48, 282–291 (2015).
Zakir, H. et al. Heavy metals and major ionic pollution assessment in waters of midstream of the river Karatoa in Bangladesh. J. Environ. Sci. Nat. Res. 5, 149–160 (2012).
Zakir, H. M., Sharmin, S., Akter, A. & Rahman, M. S. Assessment of health risk of heavy metals and water quality indices for irrigation and drinking suitability of waters: A case study of Jamalpur Sadar area, Bangladesh. Environ. Adv. 2, 100005 (2020).
Islam, M. S. et al. Assessing the impact of Eucalyptus trees on soil chemical properties in rice fields. Sci. Rep. https://doi.org/10.1038/s41598-025-01220-x (2025).
SRDI (Soil Resources Development Institute). Land and soil resources utilization guide (in Bengali). Upazila Nirdeshika Series 45–63. (2005).
Mollah, T. H. Accounting Climate Induced Migration in Bangladesh: an Exploratory GIS Based Study (Unnayan Onneshan – The Innovators, 2011).
Islam, M. S. et al. Preliminary assessment of essential and potentially toxic elements in the most common spices in a developing country: health hazard implication. Biol. Trace Elem. Res. https://doi.org/10.1007/s12011-025-04625-x (2025).
Islam, M. S. et al. Assessment of trace elements in the long-term banana cultivation field’s soil. Front. Environ. Sci. 11 https://doi.org/10.3389/fenvs.2023.1272840 (2023).
Boyd, C. E. Water Quality: an Introduction (Springer, 2015). https://doi.org/10.1007/978-3-319-17446-4
APHA (American Public Health Association). Standard Methods for the Examination of Water and Wastewater 21st edn (American Public Health Association, 2005).
WHO. International Drinking Water Standards 3rd edn (World Health Organization, 2006).
WHO. Guidelines for Drinking-Water Quality (World Health Organization, 2008).
WHO. Guidelines for drinking water quality. WHO Chron. 92, 1548–1151 (2011).
Islam, A. R. M. T. et al. Analysis of self-organizing maps and explainable artificial intelligence to identify hydrochemical factors that drive drinking water quality in Haor region. Sci. Total Environ. https://doi.org/10.1016/j.scitotenv.2023.166927 (2023).
Yingran, L., Hongming, Y., Sun, Y. & Chen, J. Novel assessment method of heavy metal pollution in surface water: A case study of Yangping river in Lingbao city, China. Environ. Eng. Res. 22, 31–39 (2017).
Rosye, H. R. T. et al. Assessment of water quality and pollution index in coastal waters of mimika, Indonesia. J. Ecol. Engin. 20 (2), 87–94 (2019).
Håkanson, L. An ecological risk index for aquatic pollution control. A sedimentological approach. Water Res. 14, 975–1001 (1980).
Dan, S. F., Umoh, U. U. & Osabor, V. N. Seasonal variation of enrichment and contamination of heavy metals in the surface water of qua Iboe river estuary and adjoining creeks, South-South Nigeria. J. Oceanogr. Mar. Sci. 5, 45–54 (2014).
Abrahim, G. & Parker, R. Assessment of heavy metal enrichment factors and the degree of contamination in marine sediments from Tamaki estuary, auckland, new Zealand. Environ. Monit. Assess. 136, 227–238 (2008).
Tomlinson, L., Wilson, G., Harris, R. & Jeffrey, D. W. Problems in the assessment of heavy-metal levels in estuaries and formation of a pollution index. Helgol. Meeresunters. 33, 566–575 (1980).
Xiao, J., Wang, L., Deng, L. & Jin, Z. Characteristics, sources, water quality and health risk assessment of trace elements in river water and well water in the Chinese loess plateau. Sci. Total Environ. 650, 2004–2012 (2019).
USEPA. Exposure Assessment Tools by Media – Water and Sediment. (2020). https://www.epa.gov/expobox/exposure-assessment-tools-media-water-andsediment Accessed 8 Jan 2021.
USEPA. Regional Screening Levels (RSLs) – Equations. (2020). https://www.epa.gov/risk/regional-screening-levels-rsls-equations Accessed 8 Jan 2021.
USEPA. RSL Calculator. (2020). https://epa-prgs.ornl.gov/cgi-bin/chemicals/csl_search Accessed 8 Jan 2021.
USEPA. Regional Screening Levels (RSLs) - User’s Guide. (2020). https://www.epa.gov/risk/regional-screening-levels-rsls-users-guide Accessed 8 Jan 2021.
USEPA. Risk Assessment Guidance for Superfund, Volume I: Human Health Evaluation Manual (Part E). OSWER 9285.7-02EP. (2004).
USEPA. Exposure Factors Handbook 2011 Edition (Final). National Center for Environmental Assessment, Office of Research and Development, OSWER Directive 9200.1–120. (2011).
USEPA. Exposure Factors Handbook 2011 Edition (Final). National Center for Environmental Assessment, Office of Research and Development, OSWER Directive 9200.1–120. (2014).
USEPA. Risk Assessment Guidance for Superfund, Volume I: Human Health Evaluation Manual (Part A). EPA/540/1–89/002. (1989).
USEPA. Human health evaluation manual, supplemental guidance: standard default exposure factors. OSWER Directive. 9285, 6–03 (1991).
Bodrud-Doza, M. et al. Characterization of groundwater quality using water evaluation indices, multivariate statistics and geostatistics in central Bangladesh. Water Sci. 30, 19–40 (2016).
Subramani, T., Rajmohan, N. & Elango, L. Groundwater geochemistry and identification of hydrogeochemical processes in a hard rock region, Southern India. Environ. Monit. Assess. 162, 123–137 (2009).
Rahman, M. A. T. M. T. et al. Groundwater characterization and selection of suitable water type for irrigation in the Western region of Bangladesh. Appl. Water Sci. 7, 233–243 (2014).
Ustaoğlu, F. et al. Investigation of water quality and pollution level of lower melet. Alınteri Zirai Bilim Derg. 32, 69–79 (2017).
Taş, B., Gönülol, A. & Taş, E. Seasonal dynamics and biomass of mixotrophic flagellate Dinobryon sertularia Ehrenberg (Chrysophyceae) in derbent reservoir (Samsun, Turkey). Turk. J. Fish. Aquat. Sci. 10, 305–313 (2010).
Jannat, J. N. et al. Hydro-chemical assessment of fluoride and nitrate in groundwater from East and West Coasts of Bangladesh and India. J. Clean. Prod. https://doi.org/10.1016/j.jclepro.2022.133675 (2022).
Islam, M. S. Preliminary assessment of trace elements in surface and deep waters of an urban river (Korotoa) in Bangladesh and associated health risk. Environ. Sci. Pollut Res. https://doi.org/10.1007/s11356-021-12541-5 (2021).
Singh, A. K. et al. Environmental geochemistry and quality assessment of mine water of Jharia coalfield, India. Environ. Geol. 65, 49–65 (2012).
USEPA. Risk Assessment Guidance for Superfund, Volume I: Human Health Evaluation Manual (Part E). OSWER 9285.7-02EP. (2009).
Rahman, M. M., Asaduzzaman, M. & Naidu, R. Consumption of arsenic and other elements from vegetables and drinking water from an arsenic-contaminated area of Bangladesh. J. Hazard. Mater. 262, 1056–1063 (2013).
Saha, S., Reza, A. H. M. S. & Roy, M. K. Hydrochemical evaluation of groundwater quality of the Tista floodplain, rangpur, Bangladesh. Appl. Water Sci. 9, 198. https://doi.org/10.1007/s13201-019-1085-7 (2019).
Kumar, M. et al. Geospatial and multivariate analysis of trace metals in tube well water used for drinking purposes in the upper gangetic basin, india: heavy metal pollution index. Groundw. Sustain. Dev. 8, 122–133 (2019).
Zakir, H., Rahman, M. M., Rahman, A., Ahmed, I. & Hossain, M. Heavy metals and major ionic pollution assessment in waters of midstream of the river Karatoa in Bangladesh. J. Environ. Sci. Nat. Res. 5, 149–160 (2012).
Bodrud-Doza, M. et al. Groundwater quality and human health risk assessment for safe and sustainable water supply of Dhaka City dwellers in Bangladesh. Groundw. Sustain. Dev. 10, 100374. https://doi.org/10.1016/j.gsd.2020.100374 (2020).
Atashi, H., Mansoorkiai, R. & Akbari, F. Cobalt in Zahedan drinking water. J. Appl. Sci. Res. 5, 2203–2207 (2009).
Tumolo, M. et al. Chromium pollution in European water, sources, health risk, and remediation strategies: an overview. Int. J. Environ. Res. Public. Health. 17, 5438 (2020).
Sun, W. et al. Application of modified water quality indices as indicators to assess the Spatial and Temporal trends of water quality in the Dongjiang river. Ecol. Ind. 66, 306–312 (2016).
Misaghi, F., Delgosha, F., Razzaghmanesh, M. & Myers, B. Introducing a water quality index for assessing water for irrigation purposes: a case study of the Ghezel Ozan river. Sci. Total Environ. 589, 107–116 (2017).
Siddique, M. A. B. et al. Quality assessment of freshwaters from a coastal City of Southern bangladesh: irrigation feasibility and preliminary health risks appraisal. Environ. Nanotechnol Monit. Manag. 16, 100524. https://doi.org/10.1016/j.enmm.2021.100524 (2021).
Proshad, R. et al. Assessment of toxic metals contamination with ecological risk of surface water and sediment of Korotoa river in Bangladesh. Int. J. Adv. Geosci. 6, 214–221. https://doi.org/10.14419/ijag.v6i2.13742 (2018).
Varol, M. & Sen, B. Assessment of surface water quality using multivariate statistical techniques: A case study of Behrimaz stream, Turkey. Environ. Monit. Assess. 159, 543–553 (2009).
Şener, Ş., Şener, E. & Davraz, A. Evaluation of water quality using water quality index (WQI) method and GIS in Aksu river (SW-Turkey). Sci. Total Environ. 584–585, 131–144 (2017).
Wang, J. et al. Multivariate statistical evaluation of dissolved trace elements and a water quality assessment in the middle reaches of Huaihe river, anhui, China. Sci. Total Environ. 583, 421–431 (2017).
Post, C. J. et al. Monitoring Spatial and Temporal variation of dissolved oxygen and water temperature in the Savannah river using a sensor network. Environ. Monit. Assess. 190, 272 (2018).
Varol, M. & Li, S. Biotic and abiotic controls on CO₂ partial pressure and CO₂ emission in the Tigris river, Turkey. Chem. Geol. 449, 182–193 (2017).
Fox, G. A., Purvis, R. A. & Penn, C. J. Streambanks: a net source of sediment and phosphorus to streams and rivers. J. Environ. Manag. 181, 602–614 (2016).
Gao, L. et al. Distribution characteristics and sources of trace metals in sediment cores from a trans-boundary watercourse: an example from the Shima river, Pearl river delta. Ecotoxicol. Environ. Saf. 134, 186–195 (2016).
Zeng, X. et al. Spatial distribution, health risk assessment and statistical source identification of the trace elements in surface water from the Xiangjiang river, China. Environ. Sci. Pollut Res. 22, 9400–9512 (2015).
Kumar, M. et al. A study of trace element contamination using multivariate statistical techniques and health risk assessment in groundwater of Chhaprola industrial area, Gautam Buddha nagar, Uttar pradesh, India. Chemosphere 166, 135–145 (2017).
Wendland, F. et al. A procedure to define natural groundwater conditions of groundwater bodies in Germany. Water Sci. Technol. 51, 249–257 (2005).
Bhuiyan, M. A. H. et al. Assessment of groundwater quality of Lakshimpur district of Bangladesh using water quality indices, Geostatistical methods, and multivariate analysis. Environ. Earth Sci. 75, 1020 (2016).
Cartier, C., Nour, S., Richer, B., Deshommes, E. & Prévost, M. Impact of water treatment on the contribution of faucets to dissolved and particulate lead release at the tap. Water Res. 46, 5205–5216 (2012).
Hossain, M. B., Banik, P., Nur, A. A. U. & Rahman, T. Abundance and characteristics of microplastics in sediments from the world’s longest natural beach, cox’s bazar, Bangladesh. Mar. Pollut Bull. 163, 111956 (2021).
Islam, M. S. et al. Sources and management of solid litter pollution along the Bay of Bengal Coast of Bangladesh. Mar. Pollut Bull. 185, 114362 (2022).
Tokatli, C. et al. Assessment of the effects of COVID-19 lockdown period on groundwater quality of a significant rice land in an urban area of Türkiye. Environ. Sci. Pollut Res. 29, 71752–71765. https://doi.org/10.1007/s11356-022-20959-8 (2022).
Ahsan, M. A. et al. Chemical and physicochemical characterization of effluents from the tanning and textile industries in Bangladesh with multivariate statistical approach. Environ. Monit. Assess. https://doi.org/10.1007/s10661-019-7654-2 (2019).
Fakhri, Y. et al. Carcinogenic and non-carcinogenic health risks of metal(loid)s in tap water from Ilam city, Iran. Food Chem. Toxicol. 118, 204–211 (2018).
Matsumoto, S. T. et al. Genotoxicity and mutagenicity of water contaminated with tannery effluents, as evaluated by the micronucleus test and comet assay using the fish Oreochromis niloticus and chromosome aberrations in onion root-tips. Genet. Mol. Biol. 29, 148–158 (2006).
SCHER (Scientific Committee on Health and Environmental Risks). Environmental risks: Opinions and reports. European Commission. (2015). https://ec.europa.eu/health/scientific_committees/environmental_risks/opinions/index_en.htm
Giri, S. & Singh, A. K. Risk assessment, statistical source identification and seasonal fluctuation of dissolved metals in the Subarnarekha river, India. J. Hazard. Mater. 265, 305–314 (2014).
Saha, N. et al. Industrial metal pollution in water and probabilistic assessment of human health risk. J. Environ. Manag. 185, 70–78 (2017).
Saleem, M., Iqbal, J. & Shah, M. H. Seasonal variations, risk assessment and multivariate analysis of trace metals in the freshwater reservoirs of Pakistan. Chemosphere 216, 715–724 (2019).
Martin, S. & Griswold, W. Human health effects of heavy metals. Environ. Sci. Technol. Briefs Citizens. 15, 1–6 (2009).
Yoshida, T., Yamauchi, H. & Fan, S. G. Chronic health effects in people exposed to arsenic via the drinking water: dose–response relationships in review. Toxicol. Appl. Pharmacol. 198, 243–252 (2004).
Yu, G. Q., Sun, D. J. & Zheng, Y. Health effects of exposure to natural arsenic in groundwater and coal in china: an overview of occurrence. Environ. Health Perspect. 115, 636–642 (2007).
Chollathanrattanapong, C. The involvement in the Canal water pollution management. Asia Pac. J. Relig. Cult. 8, 579–593 (2024).
Tong, N. X. & Thao, N. T. T. Assessment of water quality, heavy metal pollution and human health risks in the Canal system of Ho Chi Minh city, Vietnam. Environ. Res. Commun. 6, 075007 (2024).
Singh, B. P. & Gupta, P. Assessment of Heavy Metal Pollution in Groundwater in the Hindon River Basin Using Pollution Index. E3S Web of Conferences, 596 (2024). https://doi.org/10.1051/e3sconf/202459601005
Singh, B. P. et al. Physicochemical and heavy metal pollution level in hindon river ecosystem: an implication to public health risk assessment. Environ. Qual. Manage. 34, e22263. https://doi.org/10.1002/tqem.22263 (2024).
Singh, B. P., Varshney, P., Chourasiya, S. & Vidyarthi, V. K. Assessment of physicochemical properties and heavy metal contamination in riverine system and their impacts on public health. Discover Water. 5, 50. https://doi.org/10.1007/s43832-025-00243-9 (2025).
Arun, G., Singh, D. R., Kumar, S. & Kumar, A. Canal irrigation management through water users associations and its impact on efficiency, equity and reliability in water use in Tamil Nadu. Agric. Econ. Res. Rev. 25, 409–419 (2012).
Jaboobi, M. A. et al. Evaluation of heavy metals pollution in groundwater, soil and some vegetables irrigated with wastewater in the Skhirat region Morocco. J. Mater. Environ. Sci. 5, 961–966 (2014).
Teta, C. & Hikwa, T. Heavy metal contamination of groundwater from an unlined landfill in bulawayo, Zimbabwe. J. Health Pollut. 7, 18–27 (2017).
Oyeku, O. T. & Eludoyin, A. O. Heavy metal contamination of groundwater resources in a Nigerian urban settlement. Afr. J. Environ. Sci. Technol. 4, 201–214 (2010).
Afzal, M. et al. Assessment of heavy metal contamination in soil and groundwater at leather industrial area of kasur, Pakistan. CLEAN–Soil Air Water. 42, 1133–1139 (2014).
Prasad, B. & Jaiprakas, K. C. Evaluation of heavy metals in ground water near mining area and development of heavy metal pollution index. J. Environ. Sci. Health A. 34, 91–102 (1999).
Verma, C., Madan, S. & Hussain, A. Heavy metal contamination of groundwater due to fly Ash disposal of coal-fired thermal power plant, parichha, jhansi, India. Cogent Eng. 3, 1179243 (2016).
Tiwari, A. K., Singh, P. K., Singh, A. K. & De Maio, M. Estimation of heavy metal contamination in groundwater and development of a heavy metal pollution index by using GIS technique. Bull. Environ. Contam. Toxicol. 96, 508–515 (2016).
Isa, N. M., Aris, A. Z., Lim, W. Y., Sulaiman, W. N. A. W. & Praveena, S. M. Evaluation of heavy metal contamination in groundwater samples from Kapas island, terengganu, Malaysia. Arab. J. Geosci. 7, 1087–1100 (2014).
Subyani, A. M. & Al Ahmadi, M. E. Multivariate statistical analysis of groundwater quality in Wadi ranyah, Saudi Arabia. Earth Sci. 21, 29–46 (2010).
Aris, A. Z., Abdullah, M. H., Ahmed, A. & Woong, K. K. Controlling factors of groundwater hydrochemistry in a small island’s aquifer. Int. J. Environ. Sci. Technol. 4, 441–450 (2007).
Singh, C. K., Rina, K., Singh, R. P. & Mukherjee, S. Geochemical characterization and heavy metal contamination of groundwater in Satluj river basin. Environ. Earth Sci. 71, 201–216 (2014).
Jahanshahi, R. & Zare, M. Assessment of heavy metals pollution in groundwater of Golgohar iron ore mine area, Iran. Environ. Earth Sci. 74, 505–520 (2015).
Ashraf, A., Chen, X. & Ramamurthy, R. Modelling heavy metals contamination in groundwater of Southern punjab, Pakistan. Int. J. Environ. Sci. Technol. 18, 2221–2236 (2021).
Acknowledgements
The authors are thankful to the authority of Soil Resource Development Institute, Bangladesh, for sampling and to the University of Tokyo, Japan for laboratory support.
Funding
The authors extend their appreciation to the Deanship of Research and Graduate Studies at King Khalid University for funding this work through Large Research Project under grant number RGP2/157/46.
Author information
Authors and Affiliations
Contributions
Md. Saiful Islam: Writing – original draft, Investigation, Methodology, Formal analysis. Md. Kawsar Ahmed: Writing – review & editing, Supervision, Project administration, Validation. Abdullah Al Bakky: Writing – review, editing, & Validation. Zulhilmi Ismail: Writing—reviewing, and editing. Khalid A. Ibrahim: Writing – review & editing, Validation, Supervision, Resources. Abubakr M. Idris: Writing – review & editing, Validation, Supervision, Resources.
Corresponding authors
Ethics declarations
Competing interests
The authors declare no competing interests.
Ethical responsibilities
All authors have read, understood, and have complied as applicable with the statement on “Ethical responsibilities of Authors” as found in the Instructions for Authors.
Additional information
Publisher’s note
Springer Nature remains neutral with regard to jurisdictional claims in published maps and institutional affiliations.
Supplementary Information
Below is the link to the electronic supplementary material.
Rights and permissions
Open Access This article is licensed under a Creative Commons Attribution-NonCommercial-NoDerivatives 4.0 International License, which permits any non-commercial use, sharing, distribution and reproduction in any medium or format, as long as you give appropriate credit to the original author(s) and the source, provide a link to the Creative Commons licence, and indicate if you modified the licensed material. You do not have permission under this licence to share adapted material derived from this article or parts of it. The images or other third party material in this article are included in the article’s Creative Commons licence, unless indicated otherwise in a credit line to the material. If material is not included in the article’s Creative Commons licence and your intended use is not permitted by statutory regulation or exceeds the permitted use, you will need to obtain permission directly from the copyright holder. To view a copy of this licence, visit http://creativecommons.org/licenses/by-nc-nd/4.0/.
About this article
Cite this article
Islam, M.S., Ahmed, M.K., Al Bakky, A. et al. Assessing chemical properties and heavy metals in groundwater resources in a developing country: a baseline study. Sci Rep 15, 29628 (2025). https://doi.org/10.1038/s41598-025-15128-z
Received:
Accepted:
Published:
Version of record:
DOI: https://doi.org/10.1038/s41598-025-15128-z










