Abstract
To address the dual challenges of improving strength and reducing permeability in solidified soils produced from excavated waste mud, this study develops a sustainable stabilization method using industrial by-products. A ternary solid waste-based cementitious material (SWC), consisting of ground granulated blast furnace slag (GGBS), steel slag (SS), and desulfurization gypsum (DG), was optimized through an extreme vertex mixture design. The results demonstrate that, under appropriate mix proportions, the solidified soil using SWC can achieve comparable unconfined compressive strength (UCS) at 7 d and superior strength at 28 d compared to ordinary Portland cement (OPC). Specifically, the mixture containing 60 wt% GGBS, 30 wt% SS, and 10 wt% DG, referred to as G60S30D10, achieved a 28 d UCS of 3.22 MPa, representing an increase of approximately 105% over OPC, and a permeability coefficient of 1.94 × 10⁻⁸ m/s, an order of magnitude lower than that of OPC, which indicates excellent water resistance. Microstructural analysis, including X-ray diffraction, thermogravimetric analysis, scanning electron microscopy, and mercury intrusion porosimetry, reveals that the primary hydration products in the SWC solidified soil include ettringite (AFt), C-S-H, C-A-H, and C-A-S-H. Compared to OPC, the AFt content increased by 22–83%, and the combined action of expansive AFt crystals and dense C-(A)-S-H gels effectively fill interconnected pores, leading to a substantial reduction in detrimental macropores (> 1 μm) from 15% in OPC to 2–3% in the SWC matrix. This refined pore structure substantially contributed to the observed reduction in permeability. These findings offer valuable insights into the performance and mechanisms of low-carbon, high-efficiency solidified soils using industrial by-products.
Similar content being viewed by others
Introduction
Urban construction activities generate substantial quantities of abandoned soil, particularly excavated waste mud produced during shield tunneling and foundation pit excavation, characterized by a soft, sticky, and semi-fluid consistency. These rheological properties impede natural sedimentation and separation processes, posing challenges to sustainable waste management1,2. Conventional disposal methods, such as direct dumping or landfilling, not only neglect the potential reusability of waste mud but also cause serious environmental hazards, including groundwater contamination, soil pollution, and land occupation, thereby contributing to widespread environmental degradation and inefficient land utilization3,4. Furthermore, inadequate geotechnical oversight at landfill sites may lead to critical safety failures. A representative example is the 2015 landfill failure in Shenzhen, China, involving the collapse of more than 100,000 m3 of deposited material, resulting in substantial fatalities and economic disruption5. To address this issue, cement and lime have been widely adopted for solidifying mud into backfill materials or foundation supports6,7,8. However, such practices are inherently unsustainable, as the production of each ton of cement clinker and lime emits approximately 0.815 tons and 1.12 tons of CO29,10, respectively, significantly aggravating global carbon footprints. Given these drawbacks, attention has increasingly turned to the resource potential of large-scale industrial solid wastes, which can be repurposed as alternative binders for stabilizing mud.
According to the statistical data from the Ministry of Ecology and Environment of China, the output of conventional industrial solid waste reached 4.11 billion tons in 202211, primarily composed of metallurgy waste residues, desulfurization gypsum, fly ash, and other by-products. This vast amount of industrial solid waste not only occupies valuable land resources but also results in the loss of secondary resources. The challenge of managing both mud and industrial solid waste has led to a new approach: ‘treating waste with waste,’ developing solid waste-based cementitious materials (SWC) as alternatives to traditional cement.
Recent studies have validated industrial by-products as cement substitutes, leveraging their pozzolanic reactivity under alkaline and sulfate activation12,13. Suksun et al. (2013)14 demonstrated that calcium carbide residue (rich in Ca(OH)2) and fly ash (pozzolanic) synergistically stabilize silty clay, which acheived performance comparable to cement. Similarly, Shen et al. (2019)15 utilized a composite binder of desulfurization gypsum (DG), steel slag (SS), and furnace slag to solidify muddy clay, reporting a 28 d unconfined compressive strength of 1441 kPa—surpassing cement-stabilized soil (1335 kPa) at a 15% dosage. Sargent et al. (2016)16 further highlighted the potential of sodium hydroxide-activated GGBS, which stabilized alluvial soil with strength and durability exceeding CEM-I cement. He et al. (2020)17 also confirmed the robustness of SWC systems (soda residue-carbide slag-GGBS) under harsh conditions, and showed no strength degradation in dredged soil after five drying-wetting cycles.
Despite growing interest in utilizing SWC for soil stabilization, several critical challenges limit their engineering application. A major issue is delayed strength development, as SWC solidified soils often exhibit insignificant curing strength at 7 d compared to conventional cement-treated soils15,18. This delay in strength development is primarily attributed to the sluggish pozzolanic activity of SWC systems, which undermines early-age load-bearing capacity essential for rapid construction projects. Concurrently, many geo-environmental applications, such as compacted clay liners (CCLs), cut-off walls for earth-rock dams, and hydraulic barriers in deep excavations, demand ultra-low permeability, often below 1 × 10− 9 m/s19,20,21. However, most existing SWC solidified soils fail to simultaneously meet both mechanical strength and permeability benchmarks, largely due to limited insight into the effects of hydration processes and pore structure evolution on water transport properties. This dual limitation highlights the need for integrated SWC design strategies that optimize both structural strength and hydraulic performance, based on a robust mechanistic framework.
To meet this need, the present study investigates a ternary SWC system composed of GGBS, SS, and DG, aiming to enhance both strength development and permeability control of solidified soil. An extreme vertex mixture design was employed to systematically investigate the influence of binder composition on the strength and permeability behavior of the solidified soils. To elucidate the underlying mechanisms governing strength development and permeability reduction, multi-scale microstructural characterization was conducted, including X-ray diffraction (XRD) for phase identification, thermogravimetry and differential thermogravimetry (TG-DTG) for thermal analysis, scanning electron microscopy (SEM) for morphological observation, and mercury intrusion porosimetry (MIP) for pore structure evaluation. This research also aims to enhance the fundamental understanding of solid waste-based binders and provide actionable guidelines for sustainable geotechnical construction.
Experimental procedures
Raw materials
The excavated waste mud used in this study was collected from a construction site in the Xinbei District, Changzhou City, Jiangsu Province, China. It exhibited a plastic limit of 19%, a liquid limit of 31%, and a plasticity index of 12. The initial water content of the mud was 23%. Before experimental use, the mud was air-dried and sieved through a 2-mm mesh to ensure uniformity. The dry density of the mud was determined to be 1.79 g/cm3.
The stabilizer used for mud solidification comprised ground granulated blast-furnace slag (GGBS), steel slag (SS), desulfurization gypsum (DG), and a small amount of ordinary Portland cement (OPC). The GGBS, meeting the S95 standard, was procured from a local supplier in Changzhou, with a Blaine fineness of 486 m2/kg and a density of 2.81 g/cm3. The SS was obtained from Zhongtian Iron and Steel Company, with a specific surface area of 458 m²/kg and a density of 3.62 g/cm3. The DG is predominantly composed of CaSO4·2H2O. OPC was included, featuring a specific surface area of 351 m2/kg and a density of 3.09 g/cm3. The chemical compositions of all raw materials were analyzed using X-ray fluorescence (XRF) and are detailed in Table 1, and the mineralogical compositions of solid wastes are shown in Fig. 1. The excavated mud primarily consists of SiO2 and Al2O3, accounting for 82.92 wt%. The GGBS, SS and DG each contain approximately 40 wt% CaO. GGBS is mainly amorphous, with minor amounts of crystalline phases such as calcite and gehlenite. SS contains various crystalline phases, including portlandite, larnite, and the RO phase, which is a solid solution commonly enriched in FeO22. DG mainly consists of calcium sulfate hydrate and provides a rich source of SO3, which plays a crucial role in activating the pozzolanic reactions of GGBS and SS. These solid wastes collectively supply reactive oxides such as CaO, SiO2 and Al2O3, which are essential for the formation of C-(A)-S-H gels and ettringite during hydration. In comparison, OPC contains a total of 88.72 wt% CaO, SiO2, Al2O3, reflecting its high hydraulic reactivity.
X-ray diffraction (XRD) pattern for solid waste materials.
Sample preparation
The mud stabilizers were prepared by mechanically mixing the solid waste components using a planetary ball mill. Initially, the prepared stabilizers were mixed with water for 120 s, followed by the addition of dried mud to the mixture, which was further mixed for another 120 s to form solidified soil slurries as shown in Fig. 2. These slurries were then poured into molds and cured in a standard cement curing chamber (20 ± 2℃, ≥ 95% RH) for 7 d and 28 d.
Experimental procedure for the preparation and testing of specimens.
The mix proportions of the stabilizers were determined using the extreme vertex design method as shown in Fig. 3, which is derived from mixture design methodology. This method establishes the relationship between component ratios and performance parameters based on experimental data. The total proportion of solid waste in the stabilizer was set at 100%, with the individual dosage ranges controlled as follows: GGBS (40–60 wt%), SS (30–50 wt%), and DG (10–20 wt%), based on previous research23. OPC (5 wt%) was added to increase initial alkalinity, thus accelerating the early-age hardening process. The binder to the sum of soil and water ratio is 0.125. The specific mix proportions of the stabilizer components and the corresponding test results for the solidified soil are detailed in Tables 2 and 3, respectively.
Ternary composition diagram of the SWC binder.
Test methods
Unconfined compressive strength
The unconfined compressive strength (UCS) of the specimen was measured using a computer-controlled universal testing machine, following the JTG 3441 − 2024 “Test Method of Materials Stabilized with Inorganic Binders for Highway Engineering”24. Three parallel specimens were tested, and the average value was taken as the UCS of each sample. If the strength of any specimen deviated by more than 15% from the average value, that specimen was discarded to ensure accuracy, and the UCS was recalculated using the remaining specimens.
Permeability coefficient
The permeability coefficient was determined in accordance with the JTG 3430—2020 “Test Methods of Soils for Highway Engineering” (T 0130–2007 Variable Head Permeability Test)25. Cured specimens at 7 d and 28 d were saturated using the falling head permeameter. Pure water was poured into the inlet pipe to a predetermined height. Once the water level stabilized, the water source was cut off, and the inlet pipe clamp was opened to allow water to pass through the specimen. When water began to overflow at the outlet, the initial head height H1 and time t1 were recorded. Changes in water head H2 and time t2 were subsequently recorded at predetermined intervals. The variable head permeability coefficient Kt is calculated as follows:
where Kt is the permeability coefficient at water temperature t°C; a is cross-sectional area of the variable head tube (cm2); L is the infiltration diameter (sample height, cm); A is the cross-sectional area of the specimen (cm2); t1, t2 are the initial and final time (s); H1, H2 is the initial and final head heights (cm); 2.3 is conversion factor between ln and lg.
XRD
The crystalline phases present in the solidified soil were investigated using a Rigaku SmartLab X-ray powder diffractometer (Rigaku, Japan) equipped with nickel-filtered CuKα radiation. The instrument was operated at 40 kV and 40 mA. Fractured samples were immersed in anhydrous ethanol to stop further hydration, dried at 40 ℃ in a vacuum oven, and subsequently ground into a fine powder that passed through a 200-mesh sieve using an agate mortar. XRD data were collected over a 2θ range of 5° to 70°with a scanning speed of 5°/min and a step size of 0.02°.
TG-DTG
Thermogravimetric (TG) and derivative thermogravimetric (DTG) analyses were conducted to investigate the thermal stability and decomposition characteristics of hydration products in the solidified soil samples. The tests were performed using a comprehensive thermal analyzer (STA409C, NETZSCH, Germany) under a nitrogen (N₂) atmosphere. The temperature was increased from 30 to 800℃ with a heating rate of 20℃/min.
SEM
Scanning electron microscopy (SEM) was conducted to examine the hydration products and microstructure of solidified soil samples. The analysis was performed using a TESCAN MIRA LMS instrument operating at an accelerating voltage of 10 kV. For SEM observation, small fragments were selected from the core of specimens cured for 28 d. The samples were dried at 40℃ to a constant weight and subsequently sputter-coated with gold to enhance electrical conductivity before imaging. A Bruker Quantax 200 XFlash 6|60 energy dispersive spectroscopy (EDS) detector in point scanning mode was employed to analyze the elemental composition of the reaction products.
MIP
The pore size distribution and porosity of the solidified soil samples were analyzed using a fully automatic mercury intrusion porosimeter (Micromeritics AutoPore IV 9500). The device operates through a two-stage process: low-pressure mercury intrusion and high-pressure mercury intrusion, covering a pressure range from 0.5 psia to 33,000 psia and a pore size range from 5 nm to 350 μm, fully reflecting the pore distribution within the solidified soil.
Results and discussion
Unconfined compressive strength
Figure 4a illustrates the unconfined compressive strength of solid waste-based cementitious materials (SWC) solidified soils cured for 7 d. The compressive strength ranged from 0.73 MPa to 1.39 MPa, with 7/9 of the ternary mixtures surpassing the 0.93 MPa of the OPC control group. Mixtures with higher GGBS content, such as G60S30D10, exhibited notably higher compressive strengths, being 35% higher than the OPC benchmark. This can be attributed to the high hydraulic properties of GGBS compared to SS in the GGBS-SS-DG system26. Additionally, an appropriate amount of SS contributes to rapid hydration due to the presence of portlandite and free CaO in the original SS, which increases the basicity of the slurry and enhances GGBS dissolution27, ultimately improving compressive strength. In contrast, mixtures with excessive SS content, such as G40S50D10, exhibited reduced strength due to the limited hydration activity of SS resulting from the RO phase and the weak hydraulic properties of β-C2S28. Optimal compressive strengths were observed in balanced mixtures, such as G48S33D17 and G47S37D15, with values of 1.39 MPa and 1.29 MPa, respectively.
All mixtures exhibited significant strength gains at 28 d, as shown in Fig. 4b, with compressive strength ranging from 1.02 MPa to 3.22 MPa. Notably, G60S30D10 achieved the highest compressive strength, reaching 3.22 MPa at 28 d, more than twice the strength of the OPC group (1.57 MPa). This substantial increase can be attributed to the prolonged hydration of GGBS, which led to the formation of a denser microstructure and increased compressive strength. However, mixtures with high SS content, such as G40S50D10, achieved only 1.02 MPa at 28 d, further confirming the limited hydration activity of SS and the reduced availability of reactive silica and alumina necessary for secondary pozzolanic reactions. Compared to previous studies, the strength of the current GGBS–SS–DG system demonstrates a notable improvement in solidified mud. For example, Shen et al. (2019)15 reported that using 8–20% of similar system yielded negligible strength at 7 d and at least 10% lower strength at 28 d than OPC under equivalent dosages. Wu et al. (2023)29 employed a calcium carbide slag (CCR)–GGBS–fly ash (FA) system to solidify silt, most mixtures achieved higher 7 d strength than OPC. However, mixtures with CCR content above 60% exhibited slow strength gain after 28 d and ultimately failed to surpass OPC in long-term performance. These results demonstrate that optimizing the mix ratio of SWC to achieve a balanced ion supply (such as Ca2+, SO42−, SiO42−, and AlO2−) can significantly enhance the strength of solidified soils, achieving strengths comparable to or even exceeding those of OPC.
The relationship between the mix proportions of SWC and the unconfined compressive strength of solidified soil was determined through regression analysis, as shown in Eq. (2) and Eq. (3):
where \(\:{\upalpha}_{\text{GG}}\), \(\:{\upalpha}_{\text{SS}}\) and \(\:{\upalpha}_{\text{DG}}\) represent the percentages of GGBS, SS, and DG, respectively. \(\:{\text{C}}_{\text{7d}}\) and \(\:{\text{C}}_{\text{28d}}\:\)denote the unconfined compressive strength at different curing ages, MPa. The regression models achieved high R2 values of 0.943 and 0.967 for \(\:{\text{C}}_{\text{7d}}\) and \(\:{\text{C}}_{\text{28d}}\), indicating a strong fit between experimental data and predicted values.
The regression analysis results highlight the dominant role of GGBS (\(\:{\upalpha}_{\text{GG}}\)) in both 7 d and 28 d strength development of solidified soil. The high positive coefficients for GGBS in Eq. (2) and Eq. (3) (0.114 and 0.190, respectively) confirm its crucial contribution to strength development, whereas the contribution of SS is comparatively less pronounced at 28d, suggesting its role is primarily in the initial hydration stage. DG, however, exerts a negative effect on compressive strength, as reflected by its large negative coefficients in both equations. The interaction terms (\(\:{\upalpha}_{\text{GG}}{\upalpha}_{\text{SS}}\), \(\:{\upalpha}_{\text{GG}}{\upalpha}_{\text{DG}}\), \(\:{\upalpha}_{\text{SS}}{\upalpha}_{\text{DG}}\)) reflect the synergistic or antagonistic effects between GGBS, SS, and DG on the compressive strength. The positive coefficient of \(\:{\upalpha}_{\text{GG}}{\upalpha}_{\text{DG}}\) and \(\:{\upalpha}_{\text{SS}}{\upalpha}_{\text{DG}}\) in Eq. (2) suggests a cooperative contribution of GGBS and DG in enhancing early strength development, while the negative coefficient of \(\:{\upalpha}_{\text{GG}}{\upalpha}_{\text{SS}}\:\)indicates a minor inhibitory interaction.
Unconfined compressive strengths of solidified soil at (a) 7 d (b) 28 d.
Permeability coefficient
The permeability coefficients of solidified soils prepared with various GGBS-SS-DG systems are presented in Fig. 5a and b for the 7 d and 28 d curing periods, respectively. The results reveal significant variations in permeability based on both the mix proportions and curing time, demonstrating the effectiveness of SWC in achieving low-permeability solidified soils.
The permeability coefficients of SWC solidified soil ranged from 6.71 × 10− 8 m/s to 1.65 × 10− 7 m/s at 7 d. The OPC group exhibited a permeability coefficient of 1.47 × 10− 7 m/s, which was higher than most of the SWC mixtures. Mixtures with higher GGBS content, such as G60S30D10, demonstrated significantly lower permeability coefficients (8.12 × 10− 8 m/s), which is consistent with the observed increase in compressive strength. In contrast, mixtures with high DG content, such as G40S40D20, exhibited higher permeability coefficients (1.58 × 10− 7 m/s). This can be attributed to the role of DG in enhancing initial hydration. However, excessive DG may result in the formation of larger, interconnected pores30, which in turn increase permeability.
By 28 d, all mixtures exhibited a significant reduction in permeability coefficients compared to the 7 d, with values ranging from 1.94 × 10− 8 m/s to 9.01 × 10− 8 m/s. The OPC group exhibited permeability values that were an order of magnitude higher than the SWC groups. The lowest permeability was observed in G60S30D10 (1.94 × 10− 8 m/s), while mixtures with balanced proportions, such as G47S37D15, exhibited moderate permeability coefficients (4.04 × 10− 8 m/s). It is worth noting that G40S50D10, despite having a lower compressive strength, exhibited a lower permeability coefficient than the OPC, indicating that a lower permeability coefficient does not necessarily correspond to a higher compressive strength. Other factors, such as the balance of active phases and pore structure evolution, may contribute to improved permeability.
The relationship between the mix proportions of SWC and the permeability coefficient of solidified soil was determined through regression analysis, as shown in Eqs. (4) and (5):
where \(\:{\upalpha}_{\text{GG}}\), \(\:{\upalpha}_{\text{SS}}\) and \(\:{\upalpha}_{\text{DG}}\) represent the percentages of GGBS, SS, and DG, respectively. \(\:{\text{P}}_{\text{7d}}\) and \(\:{\text{P}}_{\text{28d}}\:\)denote the permeability coefficient at different curing ages, 10− 8 m/s. The regression models achieved R2 values of 0.812 and 0.608 for \(\:{\text{C}}_{\text{7d}}\) and \(\:{\text{C}}_{\text{28d}}\), indicating moderate fit, particularly for early-age performance. The reduced accuracy at 28 days may be related to the increasingly complex pore structure evolution during extended curing, which is governed by factors such as secondary hydration reactions and microcrack development. These effects are not fully captured by linear regression.
Permeability coefficients of solidified soil at (a) 7 d (b) 28 d.
To determine the optimal mix proportions for achieving both high compressive strength and low permeability in SWC solidified soils, a numerical optimization was performed using Design-Expert 12 software. As illustrated in Fig. 6, the predicted optimal formulation comprises 59.48% GGBS, 30.00% SS, and 10.52% DG, yielding a 7 d UCS of 1.39 MPa and a 28 d strength of 3.17 MPa, along with a 7 d permeability coefficient of 7.11 × 10− 8 m/s and a 28 d coefficient of 3.34 × 10− 8 m/s. The desirability value, calculated by Design-Expert based on the geometric mean of individual desirability functions, is used to assess the overall quality of multi-objective optimization. It ranges from 0 (least desirable) to 1 (most desirable). In this study, an overall desirability value of 0.942 indicates a well-balanced performance across all target indicators. Notably, the predicted mix proportions closely match the experimentally validated G60S30D10 formulation, which achieved the best overall performance in this study. This strong agreement between predicted and empirical results confirms the reliability of the regression-based model in guiding mix design for strength–permeability optimization in SWC solidified soils.
Optimization of parameters for the maximum of the response.
X-ray diffraction (XRD)
Figure 7 illustrates the hydration products of solidified soil at different curing ages, highlighting the distinct hydration phases in both OPC and SWC systems. For OPC solidified soil, the primary hydration products at 3 d (Fig. 7a) include calcium silicate hydrates (C-S-H), calcium aluminate hydrates (C-A-H), and calcium aluminate silicate hydrates (C-A-S-H). These products play a crucial role in filling the pore spaces, reducing pore connectivity, and enhancing soil densification31. Notably, residual minerals such as quartz, muscovite, and kaolinite, which originate from the original mud, remain detectable. However, portlandite (CH), a typical product in OPC hydration, is absent in the XRD results. This absence may be attributed to the highly alkaline environment in the solidified soil, which promotes the dissolution of silica and alumina32. The reactive SiO2 and Al2O3 in the soil then consume CH, forming secondary hydration products such as C-S-H and C-A-H, as supported by previous research33.
Similarly, no CH phase is observed in SWC solidified soil. This phenomenon may be attributed to the rapid consumption of CH generated from the hydration of larnite and hatrurite in SS, which subsequently activates the pozzolanic reaction of GGBS to form C-(A)-S-H gels34. In contrast, ettringite (AFt, 2θ = 9.091°) formation is detected as early as 3 d, with a notable enhancement in AFt peak intensities at 7 and 28 d (Fig. 7b and c). This accelerated AFt crystallization is primarily driven by the synergistic activation of GGBS and SS by DG, which provides essential SO42− and Ca2+ to promote AFt nucleation23,35. The formation of a single AFt molecule consumes 32 water molecules36, and its significant swelling property enhances early strength and reduces permeability by filling pores in the solidified soil. Among the tested mixtures, G48S33D17 exhibits the most prominent AFt peaks, likely due to its high DG content, which significantly accelerates AFt formation kinetics. The progressive accumulation of AFt from 3 to 7 d in this mixture closely correlates with its notable strength gain at 7 d, being 49% higher than OPC.
Additionally, XRD analysis reveals that G60S30D10 exhibits a higher C-A-H peak intensity than OPC, attributable to the activation of Al2O3 in GGBS through alkaline dissolution37. The elevated GGBS content in this mixture ensures an adequate supply of Al2O3 for continuous C-A-H polymerization during curing. However, the C-S-H intensity in G60S30D10 remains lower than that in OPC, indicating that the contribution of C-S-H to strength development may be less pronounced in SWC systems. Nevertheless, the superior compressive strength of G60S30D10 at 28 d, which is accompanied by higher contents of both C-A-H and C-S-H, underscores the roles of these phases in the strength development.
Hydration products of solidified soil at (a) 3 d (b) 7 d (c) 28 d. (SiO2, PDF#46-1045; Muscovite, PDF#07–0042; Kaolinite, PDF#29-1488; Ettringite, PDF#41-1451; Calcium silicate hydrates, PDF#33–0306; Calcium aluminate hydrates, PDF#33–0254; Calcium aluminate silicate hydrates, PDF#29–0290)
TG-DTG
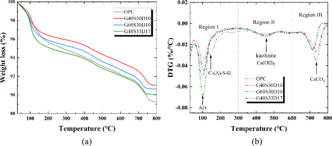
The chemical composition and content changes in solidified soil were further investigated through thermal analysis. Figure 8a and b presents the TG/DTG curves of OPC and SWC solidified soil at 28 d. Based on the DTG results, the weight loss of the solidified soil can be divided into three distinct stages as the temperature increases, with the specific weight losses in each region summarized in Table 4. The weight loss observed between 30 and 90 °C corresponds to the evaporation of free water38,39, and is therefore excluded from further analysis. The main findings for each region are as follows:
Region I (90–300℃): This region primarily corresponds to the decomposition of the hydration products40. Distinct endothermic peaks and weight losses for OPC are observed at 90–120℃ and 120–200℃, which are attributed to the dehydroxylation of AFt41 and C-(A)-S-H gel29, respectively. In contrast, SWC solidified soils exhibit 22–83% higher AFt-related weight loss, with G48S33D17 mixture achieving the highest value of 2.03% at 90–120℃, which aligns with its high AFt peak intensity in XRD results. It is worth noting that, despite having the highest AFt content, G48S33D17 did not exhibit the highest strength or the lowest permeability at 28 d. This may be attributed to excessive AFt formation, which induces expansion and leads to the development of microcracks42, ultimately compromising the overall performance of the solidified soil. The higher content of GGBS in this mixture also contributes to the formation of AFt, as increasing GGBS from 40 to 60% elevates AFt decomposition from 1.36 to 1.46%. In contrast, the peak related to C-(A)-S-H is less prominent, suggesting AFt as the predominant hydration product in the SWC system.
Region II (300–550℃): This temperature range is primarily associated with the decomposition of CH into calcium oxide (CaO) and water43. However, this range also overlaps with the dehydroxylation of kaolinite present in the original soil. As Deju et al. (2021)44 reported that kaolinite undergoes conversion to metakaolinite at around 450℃, the reaction equation is shown in Eq. (6). Given the absence of CH diffraction peak in the XRD patterns and the similar weight loss trends between OPC and SWC in this region, the observed weight loss is likely attributed to the thermal transformation of kaolinite rather than CH decomposition.
Region III (550–800℃): This region corresponds to the decomposition of calcite into CaO and CO241. The OPC group exhibits the highest weight loss of 2.60%, likely due to the high permeability of the solidified soil, which facilitates CO2 diffusion, thereby accelerating the carbonation of CH. This is consistent with the hydration characteristics of OPC, where approximately 20–25% of the volume of solids in the hydrated paste consist of CH45. The presence of CH creates a favorable environment for the formation of calcite through carbonation. In contrast, the SWC based systems exhibit lower weight losses, attributed to the consumption of CH in pozzolanic reactions with active silica and alumina from the solid waste materials, which limits its availability for carbonation. Among the SWC samples, G40S50D10 shows a slightly higher weight loss (2.08%) compared to G60S30D10 and G48S33D17. This can be explained by the higher SS content in G40S50D10, as SS inherently contains calcite and other carbonated phases, as evidenced in Fig. 1.
The thermal gravimetric analysis of solidified soil (a) TG (b) DTG.
Scanning electron microscope (SEM)
The microstructural morphology of the solidified soil is shown in Fig. 9. In the OPC solidified soil, the primary hydration product is the C-(A)-S-H gel, which exhibits a characteristic flake-like morphology with three-dimensional, non-directional distribution, consistent with the typical morphology of C-(A)-S-H gels in the literature46. The gel wraps around the soil particles, forming a dense network structure. Additionally, rod-shaped AFt crystals are detected in the OPC solidified soil, and CH was not observed under SEM, which is consistent with the absence of CH diffraction peaks in the XRD patterns. This further supports that the major mass loss in the 300–550 °C range is primarily attributed to the dehydroxylation of kaolinite rather than the decomposition of CH in the solidified soil.
For SWC solidified soil, as shown in Fig. 9b–d, a substantial quantity of needle-like AFt crystals is observed. The EDS spectrum analysis of point A in G40S50D10, as presented in Fig. 9e, reveals high contents of Ca (27.70 wt%), Al (11.93 wt%), and S (2.95wt%), consistent with the elemental composition of ettringite (Ca6Al2(SO4)3(OH)12·26H2O)47. Although a notable amount of Si (17.21 wt%) is also detected. This is likely attributed to the signal overlap from adjacent phases, particularly C-(A)-S-H gel and residual soil particles. These AFt crystals effectively fill the pore spaces, enhancing matrix densification compared to the PC group. Among the mixtures, G60S30D10 (Fig. 9c) exhibits a more optimized structure. Flocculent C-(A)-S-H gel, confirmed by the EDS spectrum in Fig. 9f, with high contents of Ca (25.15 wt%), Si (20.95 wt%), and Al (11.11wt%), is deposited on the surface of irregularly shaped soil particles and bridges the inter-particle gaps. Meanwhile, AFt crystals are interwoven with gel clusters to form a dense and continuous skeleton, contributing to superior microstructural compactness. In contrast, the G48S33D17 mixture exhibits the most pronounced AFt formation, with coarse, overlapping crystals creating a highly interconnected network. Although this structure improves the compressive strength, the reduction in permeability is less pronounced than expected. This may be due to excessive formation of oversized AFt, which disrupts the pore structure48, thereby limiting the permeability reduction.
SEM images of solidified soil: (a) OPC (b) G40S50D10 (c) G60S30D10 (d) G48S33D17 (e) and (f) EDS analysis of point A and B.
Mercury intrusion porosimetry (MIP)
The pore structure critically governs the compressive strength and permeability coefficient of solidified soil. MIP analysis (Fig. 10a and b) demonstrates significant differences in pore characteristics between OPC and SWC solidified soils at 28 d. The threshold pore diameter, defined as the smallest continuous pore channel diameter allowing fluid migration throughout the sample49,50, strongly correlates with the permeability coefficient51. The MIP results show that SWC systems exhibit a notably smaller threshold pore diameter (0.9 μm) compared to the OPC system (approximately 1.6 μm), with the pore structure shifting towards finer pores, as shown in Fig. 10b. This refinement of threshold pores significantly restricts fluid migration, directly correlating with the reduced permeability coefficients observed in the SWC mixtures. Table 5 summarizes the porosity and pore diameter characteristics, indicating that SWC solidified soils exhibit 5% higher total porosity and 4–28% larger average pore diameters compared to the OPC samples. The cumulative pore volume results shown in Fig. 10a confirm the total porosity of SWC solidified soil is slightly higher than that of OPC. While the OPC generates a high proportion of amorphous C–S–H, which densely fills particle voids and significantly minimizes pore volume, SWC mixtures produce substantial AFt during crystallization. These AFt crystals, when not adequately encapsulated by C–(A)–S–H, may displace surrounding particles and form localized crystalline voids, contributing to elevated cumulative porosity52. Furthermore, increasing the GGBS content in SWC promotes pore structure refinement by strengthening pozzolanic reactions and generating denser C-(A)-S-H. Conversely, excessive DG activation can lead to oversized AFt shown in Fig. 9d and weaker hydration from excessive SS, which are less effective at filling pores, resulting in higher pore volume, similar results can be found by Hao et al.(2025)53.
The pores in solidified soil are classified into gel pores (< 10 nm), small capillary pores (10–100 nm), large capillary pores (100 nm–1 μm), and macropores (> 1 μm)54. Among these pores, gel pores are generally considered beneficial for strength development, as providing interstitial spaces for crystalline hydration products55. In contrast, capillary pores, especially the large ones which more than 100 nm are typically detrimental, as they represent larger voids that can compromise strength and increase permeability56. As shown in Fig. 11b, capillary pores predominate in both OPC and SWC systems, accounting for approximately 82% and 95% of total pore volume, respectively. Notably, the SWC solidified soil exhibits a significantly lower proportion of macropores (2–3%) compared to the OPC group (15%), indicating improved pore refinement. This reduction in macropores is primarily attributed to the synergistic pore-filling action of abundant need-like AFt crystals and C-(A)-S-H, as confirmed by SEM observations (Fig. 9b). Specifically, AFt crystals effectively occupy larger voids, while dense C-(A)-S-H gels help fill and refine capillary pores, thereby disrupting pore connectivity and limiting permeability. Among the tested mixtures, G60S30D10 mixture exhibits the most refined pore structure, characterized by the transformation of large capillary pores into smaller ones, accompanied by an increased proportion of gel pores. This beneficial pore refinement is primarily attributed to the enhanced pozzolanic reactions between GGBS, SS, and DG, as confirmed by SEM and XRD analyses. These microstructural improvements are consistent with regression analysis results (Eqs. (2) and (3)), further confirming that increased GGBS content is critical for pore refinement, strength enhancement, and reduced permeability.
Pore structure analysis of the solidified soil: (a) cumulative pore volume (b) incremental pore volume.
Pore volume distribution of the solidified soil: (a) pore volume (b) pore volume fraction.
Enhancement mechanisms
Through optimization of the mix ratio, the SWC solidified soil can achieve superior unconfined compressive strength and significantly lower permeability compared to the OPC group. Figure 12 schematically illustrates the enhancement mechanisms occurring during the solidification process. In the initial stage, the hydration of SS and a minor amount of OPC initially increase the alkalinity of the slurry. Combined with dissolved SO42− from DG, this alkaline environment facilitates the dissolution of silica and alumina tetrahedra in GGBS, thus promoting pozzolanic reactions57, and leading to the early formation of C-S-H, C-A-H, C-A-S-H, and AFt, as confirmed by XRD analysis (Fig. 7). GGBS serves as the primary source of hydration products, significantly influencing both macro- and microstructural properties of the solidified soil. The consumption of Ca2+, SO42− and OH− during the continuous hydration of GGBS, further stimulating the hydration of SS and promoting the sustained dissolution of DG. As a result, a synergistic reaction between the solid wastes occurs, maintaining continuous formation of AFt and C-(A)-S-H throughout the curing process. Subsequently, as demonstrated in Fig. 11 (Stage II), the needle-like AFt crystals interlace closely with the surrounding gels, effectively filling larger pores and significantly reducing the threshold pore diameter. Simultaneously, abundant C-(A)-S-H gels progressively convert larger capillary pores into finer pores, markedly reduce the proportion of large capillary pores and limiting fluid migration pathways. Consequently, this refined pore network greatly enhances mechanical properties and significantly reduces permeability. However, it is important to note that an excessive amount of DG can promote the rapid and excessive oversized AFt crystals, potentially leading to localized structural heterogeneity due to expansive AFt crystallization, thereby negatively affecting structural uniformity and overall performance. Moreover, the use of these industrial by-products not only enhances material performance, but also contributes to the reduction of carbon emissions. By utilizing waste materials such as GGBS, SS, and DG, the overall environmental impact is minimized, aligning with sustainable construction practices.
Soil solidification mechanism of the GGBS-SS-DG system.
Conclusions
This study comprehensively investigates the influence of solid wastes based cementitious materials (SWC), specifically ground granulated blast furnace slag (GGBS), steel slag (SS), and desulfurization gypsum (DG) on the mechanical, permeability, and microstructural characteristics of solidified soils. The results provide valuable insights into the potential of SWC as a sustainable alternative to traditional cement-based materials in soil stabilization. Based on the obtained results, the following conclusions could be made:
-
1.
The SWC solidified soil exhibited comparable, or even superior unconfined compressive strength, and significantly lower permeability coefficients compared to OPC group. The performance enhancement was more pronounced with higher GGBS content, with the G60S30D10 mixture showing the best overall properties. It achieved a 28 d compressive strength of 3.22 MPa (105% higher than OPC) and a permeability coefficient of 1.94 × 10− 8 m/s, demonstrating a 90% reduction compared to OPC.
-
2.
Each material in the SWC mixture contributes distinctly to the solidification process based on regression and microstructural analysis. GGBS contributes significantly to the strength and permeability development through sustained pozzolanic reactions, leading to abundant formation of C-A-H and C-(A)-S-H gels. SS exhibits a more pronounced contribution to early-age strength, with a stronger effect at 7 d that diminishes at 28 d. DG promotes rapid AFt nucleation and early strength gain. However, excessive DG leads to oversized AFt crystals, causing structural heterogeneity and limiting further pore refinement. Balanced formulations are thus essential for optimizing macro-performance.
-
3.
The SWC solidified soil exhibited a more refined pore structure, as evidenced by a reduced threshold pore diameter of 0.9 μm compared to 1.6 μm in the OPC sample. Furthermore, the proportion of detrimental macropores was significantly lower in the SWC matrix (approximately 3%) than in OPC (15%). This pore structure refinement is primarily attributed to the synergistic formation of AFt and C-(A)-S-H, which effectively seal interconnected pores and help limit fluid movement, thereby improving the permeability characteristics.
Data availability
The data that support this study will be shared upon reasonable request to the corresponding author.
References
Chen, Y-H. et al. Field in-situ stabilization of bored pile mud: engineering properties and application for pavement. Constr. Build. Mater. 165, 541–547 (2018).
Yuan, B. et al. Sustainable utilization of clay minerals-rich engineering muck via alkali activation: optimization of pore structure by thermal treatment. Appl. Clay Sci. 258, 107491 (2024).
Wang, Q. et al. Study on mechanical properties and microstructure of metakaolin-slag-calcium carbide residue synergistic solidifying waste engineering mud. Constr. Build. Mater. 438, 137135 (2024).
Yuan, B. et al. Eco-efficient recycling of engineering muck for manufacturing low-carbon geopolymers assessed through LCA: exploring the impact of synthesis conditions on performance. Acta Geotech.. 1–21 (2024).
Zhang, S. et al. Quantitative human risk analysis of 2015 Shenzhen dump failure considering influence of urbanization. J. Mt. Sci. 18(6), 1439–1457 (2021).
Gong, X. et al. Solidification of Nansha soft clay using cement-based composite curing agents. Adv. Cem. Res. 32(2), 66–77 (2020).
Xiang, J. et al. Characterization and role analysis of bacteria types in self-healing behaviour of cemented paste backfill. J. Building Eng. 75, 106964 (2023).
Yuan, B. et al. Optimized reinforcement of granite residual soil using a cement and alkaline solution: A coupling effect. J. Rock Mech. Geotech. Eng. 17(1), 509–523 (2025).
Xu, D. et al. On the future of Chinese cement industry. Cem. Concr. Res. 78, 2–13 (2015).
Deng, J. et al. Developing sustainable steel slag-based aerated concrete: effects of accelerated carbonation on performance and carbon emissions. J. Building Eng. 98, 111051 (2024).
Guan, X-G. et al. Dynamic evaluation and sensitivity analysis of China’s industrial solid waste management efficiency based on ecological environment cycle perspective. Front. Environ. Sci. 12, 1462975 (2024).
Li, Y., Qiao, C. & Ni, W. Green concrete with ground granulated blast-furnace slag activated by desulfurization gypsum and electric Arc furnace reducing slag. J. Clean. Prod. 269, 122212 (2020).
Zhang, B. et al. Effects of pretreated recycled powder substitution on mechanical properties and microstructures of alkali-activated cement. Constr. Build. Mater. 406, 133360 (2023).
Horpibulsuk, S. et al. Strength development in silty clay stabilized with calcium carbide residue and fly ash. Soils Found. 53(4), 477–486 (2013).
Shen, J. et al. Study on the stabilization of a new type of waste solidifying agent for soft soil. Materials 12(5), 826 (2019).
Sargent, P., Hughes, P. & Rouainia, M. A new low carbon cementitious binder for stabilising weak ground conditions through deep soil mixing. Soils Found. 56(6), 1021–1034 (2016).
He, J. et al. Strength properties of dredged soil at high water content treated with soda residue, carbide slag, and ground granulated blast furnace slag. Constr. Build. Mater. 242, 118126 (2020).
Yu, J. et al. Development of steel slag-based solidification/stabilization materials for high moisture content soil. J. Renew. Mater. 10(3), 735 (2022).
Aldaeef, A. & Rayhani, M. T. Hydraulic performance of compacted clay liners (CCLs) under combined temperature and leachate exposures. Waste Manage. 34(12), 2548–2560 (2014).
Zhang, Z. et al. Investigation on structural evolution and permeability of cr (VI) contaminated sand-bentonite upon loading. Constr. Build. Mater. 439, 137318 (2024).
Vilarrasa, V. et al. A methodology for characterizing the hydraulic effectiveness of an annular low-permeability barrier. Eng. Geol. 120(1–4), 68–80 (2011).
Li, W. et al. Increase in volume stability of RO phases in steel slag by combined treatment of alkali and dry carbonation. Constr. Build. Mater. 396, 132345 (2023).
Xu, C. et al. Activation mechanisms of three types of industrial by-product gypsums on steel slag–granulated blast furnace slag-based binders. Constr. Build. Mater. 288, 123111 (2021).
JTG 3441 – 2024. Test method of materials stabilized with inorganic binders for highway engineering (in Chinese). (2024).
JTG 3430 – 2020. Test methods of soils for highway engineering (in Chinese). (2020).
Kabay, N., Miyan, N. & Özkan, H. Basic oxygen furnace and ground granulated blast furnace slag based alkali-activated pastes: characterization and optimization. J. Clean. Prod. 327, 129483 (2021).
Zhao, J. et al. Hydration superposition effect and mechanism of steel slag powder and granulated blast furnace slag powder. Constr. Build. Mater. 366, 130101 (2023).
Mo, L. et al. Preparation, microstructure and property of carbonated artificial steel slag aggregate used in concrete. Cem. Concr. Compos., 113(1). (2020).
Wu, Y., Yang, J. & Chang, R. The design of ternary all-solid-waste binder for solidified soil and the mechanical properties, mechanism and environmental benefits of CGF solidified soil. J. Clean. Prod. 429, 139439 (2023).
Han, F., Zhou, Y. & Zhang, Z. Effect of gypsum on the properties of composite binder containing high-volume slag and iron tailing powder. Constr. Build. Mater. 252, 119023 (2020).
Wan, Y. et al. Utilization of flue gas desulfurization gypsum to produce green binder for dredged soil solidification: strength, durability, and planting performance. J. Clean. Prod. 367, 133076 (2022).
Consoli, N. C. et al. Variables controlling stiffness and strength of lime-stabilized soils. J. Geotech. GeoEnviron. Eng. 137(6), 628–632 (2011).
Shang, Y. et al. Strength and microscopic mechanism of cement–fly ash–slag–desulfurization gypsum solidified mica schist weathered soil. Materials 16(21), 6957 (2023).
Shi, C., Roy, D. & Krivenko, P. Alkali-activated Cements and Concretes (CRC, 2003).
Wang, X. et al. Carbonation of steel slag and gypsum for Building materials and associated reaction mechanisms. Cem. Concr. Res., 125. (2019).
Zhang, S. et al. Effect of recycled phosphogypsum and calcium aluminate cement on the strength behavior optimization of cement-treated dredged soil: A co-utilization of solid wastes. J. Environ. Manage. 353, 120020 (2024).
Yum, W. S. et al. Strength enhancement of CaO-activated slag system through addition of calcium formate as a new auxiliary activator. Cem. Concr. Compos. 109, 103572 (2020).
Zhang, S. et al. Production of cleaner high-strength cementing material using steel slag under elevated-temperature carbonation. J. Clean. Prod. 342, 130948 (2022).
Cheng, Z. et al. Properties and hydration mechanism of slow-setting and expansive cement based on CFB ash and slag. J. Building Eng. 96, 110631 (2024).
Li, Z. et al. Optimization of proportions and solidification mechanism of all-solid waste cementitious materials based on Circulating fluidized bed fly ash, calcium carbide slag, and red mud. Case Stud. Constr. Mater. 20, e03333 (2024).
Feng, S., Zhang, G. & Ren, Y. Properties and microstructure of soil solidified by titanium slag-flue gas desulfurized gypsum-Portland cement composites as solidifiers. Constr. Build. Mater. 438, 137061 (2024).
Ji, G. et al. Volume deformation and hydration behavior of ordinary Portland cement/calcium sulfoaluminate cement blends. Materials 16(7), 2652 (2023).
De Oliveira, A. M. et al. Study of the development of hydration of ternary cement pastes using X-ray computed microtomography, XRD-Rietveld method, TG/DTG, DSC, calorimetry and FTIR techniques. J. Building Eng. 64, 105616 (2023).
Deju, R. et al. Thermal characterization of kaolinitic clay. Rom J. Phys. 66, 1–8 (2021).
Al-Ostaz, A. et al. A molecular dynamics and microporomechanics study on the mechanical properties of major constituents of hydrated cement. Compos. Part. B: Eng. 41(7), 543–549 (2010).
Cai, W. et al. Chloride binding behavior of synthesized reaction products in alkali-activated slag. Compos. Part. B: Eng. 238, 109919 (2022).
Wang, F., Pan, H. & Xu, J. Evaluation of red mud based binder for the immobilization of copper, lead and zinc. Environ. Pollut. 263, 114416 (2020).
Zhang, S. et al. Study on the evolution of mechanical properties of backfill body under the combined action of sulfate erosion and load. Case Stud. Constr. Mater. 21, e03977 (2024).
Bentz, D. P. & Garboczi, E. J. Percolation of phases in a three-dimensional cement paste microstructural model. Cem. Concr. Res. 21(2–3), 325 –344 (1991).
Bai, S. et al. Study on the long-term chloride permeability of nano-silica modified cement pastes cured at negative temperature. J. Building Eng. 57, 104854 (2022).
Sakai, Y. Relationship between pore structure and chloride diffusion in cementitious materials. Constr. Build. Mater. 229, 116868 (2019).
Han, Y. et al. The influence mechanism of ettringite crystals and microstructure characteristics on the strength of calcium-based stabilized soil. Materials 14(6), 1359 (2021).
Hao, J. et al. Synergistic mechanisms of steel slag, granulated blast furnace slag, and desulfurization gypsum in high-content steel slag-based cementitious backfill materials. Int. J. Min. Sci. Technol.(2025).
Song, Y. et al. Pore structure characterization of hardened cement paste by multiple methods. Adv. Mater. Sci. Eng. 2019(1), 3726953 (2019).
Suo, C. et al. Influence and microscopic mechanism of the solid waste-mixture on solidification of Cu2+-contaminated soil. Constr. Build. Mater. 305, 124651 (2021).
Metha, P. K. & Monteiro, P. J. Concrete: Microstructure, Properties, and Materials (MaGraw-Hill, 2006).
Bellmann, F. & Stark, J. Activation of blast furnace slag by a new method. Cem. Concr. Res. 39(8), 644–650 (2009).
Acknowledgements
The authors acknowledge the following institutions for providing facilities and the financial support: Changzhou Leading Innovative Talents Introduction and Cultivation Project (No. CQ20230043), Basic Research Program of Jiangsu (Natural Science Foundation) Youth Fund Project (No. BK20240344), and Innovative and Entrepreneurial Talent Program of Jiangsu Province (No. JSSCRC2024495).
Author information
Authors and Affiliations
Contributions
Jiaxin Deng: Conceptualization, Methodology, Investigation, Formal analysis, Visualization, Writing—original draft, Writing - review & editing. Dong Zhang: Formal analysis, Writing - review & editing. Huihui Yuan: Investigation, Formal analysis, Writing - review & editing. Lei Gu: Visualization, Resources, Project administration, Writing - review & editing, Validation. Xiaoxiang Zhang: Investigation, Formal analysis. Shuang Han: Investigation, Formal analysis.
Corresponding author
Ethics declarations
Competing interests
The authors declare no competing interests.
Additional information
Publisher’s note
Springer Nature remains neutral with regard to jurisdictional claims in published maps and institutional affiliations.
Rights and permissions
Open Access This article is licensed under a Creative Commons Attribution-NonCommercial-NoDerivatives 4.0 International License, which permits any non-commercial use, sharing, distribution and reproduction in any medium or format, as long as you give appropriate credit to the original author(s) and the source, provide a link to the Creative Commons licence, and indicate if you modified the licensed material. You do not have permission under this licence to share adapted material derived from this article or parts of it. The images or other third party material in this article are included in the article’s Creative Commons licence, unless indicated otherwise in a credit line to the material. If material is not included in the article’s Creative Commons licence and your intended use is not permitted by statutory regulation or exceeds the permitted use, you will need to obtain permission directly from the copyright holder. To view a copy of this licence, visit http://creativecommons.org/licenses/by-nc-nd/4.0/.
About this article
Cite this article
Deng, J., Zhang, D., Yuan, H. et al. Strength and permeability performance of excavated waste mud stabilized with ternary industrial byproducts. Sci Rep 15, 29441 (2025). https://doi.org/10.1038/s41598-025-15197-0
Received:
Accepted:
Published:
Version of record:
DOI: https://doi.org/10.1038/s41598-025-15197-0
Keywords
This article is cited by
-
Recycled Soil for Reservoir Embankments: Effects of Paper Sludge Ash Treatment and Compaction Energy
Geotechnical and Geological Engineering (2025)















