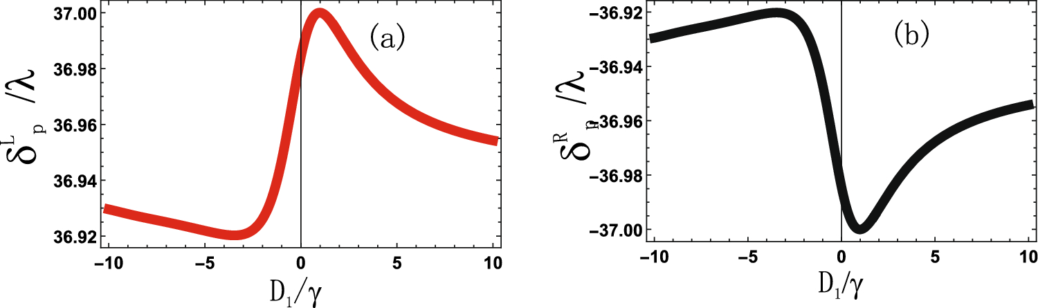
Figure 2
From: Manipulation of the photonic spin hall shift using the four levels atomic system

Spin hall shift \(\delta ^{L,R}_{p}\) against control field detuning \(D_{1}/\gamma\), \(D_{2}=20\gamma\), \(D_{p}=0\gamma\), \(|R_1|=4\gamma\), \(|R_2|=5\gamma\), \(\phi _1=\pi /6\), \(\phi _2=\pi /2\), \(\theta _i=\pi /6\), \(\Gamma _{31,32,41,42}=2\gamma\).