Abstract
The carbon cycle is crucial for ecosystem regulation. Carbon sequestration services (CSS) stabilize and fix CO2 in ecosystems over the long term, which is crucial for mitigating global climate change and promoting sustainable development. This study quantified the supply and demand of CSS in the Yellow River Basin from 2001 to 2021 using the InVEST model and urban metabolism approach. Additionally, the advanced Optimal Parameter Geodetector (OPGD) model was employed to explore the carbon sequestration service demand-supply relationship (CSSDR) and its driving mechanisms. Results showed: (1) CSS supply increased to varying degrees, while demand fluctuated upwards, with higher demand in downstream and lower in upstream areas. (2) Spatial CSSDR imbalance was evident at the grid scale, with significant regional differences and a declining CSS supply-demand index at the provincial level. (3) CSS supply was mainly influenced by natural factors, while demand was driven by human activities and socio-economic development. Increasing population and GDP densities disrupted the balance, becoming key determinants of CSSDR. (4) Interactions between drivers exhibited dual-factor enhancement and non-linear amplification, with population density showing the most significant correlations (all q-values > 0.67). These findings underpin improved environmental protection and sustainable development strategies in the region.
Similar content being viewed by others
Introduction
In 2020, China announced its national objectives of attaining a carbon emissions peak by 2030 and achieving carbon neutrality by 2060. Carbon has once again ascended to prominence as a critical keyword in the domain of ecosystem services and climate change research1,2. CSS refer to the long-term stabilization and storage of carbon dioxide within ecosystems through management and conservation efforts. Consequently, reducing its atmospheric concentration can ameliorate the ramifications of global climate change3. The processes of carbon absorption, sequestration, preservation, and release constitute a crucial component of regulating services within ecosystem services4. CSS supply and CSS demand are defined as natural ecosystems with carbon sequestration capabilities and human socio-economic activities that emit significant carbon emissions, respectively5. Recent changes in land use patterns and global climate have altered ecosystem structures and functions, disrupting regional carbon cycle balances and giving rise to numerous ecological and environmental issues6,7,8. Balancing the supply and demand of CSS is crucial for mitigating global climate change and ensuring sustainable development.
Quantification methods for CSS can be broadly categorized into expert scoring9, total amount statistics10, and spatial mapping11,12. Scholars have conducted extensive research on the accounting and spatio-temporal distribution of CSS in typical ecosystems such as farmland, forests, grasslands, and oceans13,14,15,16. Common supply quantification models for CSS include the Carnegie Ames Stanford Approach model(CASA) and InVEST model. Vegetation being the primary carbon sequestration factor, the CASA model quantifies CSS supply by calculating net primary productivity, making it suitable for assessing single ecosystem types17,18. The InVEST model, which was collaboratively developed by Stanford University and several other esteemed institutions, utilizes its carbon storage module to calculate CSS supply, widely applied due to its satisfactory accuracy, ease of data and parameter acquisition. For instance, Vitor Matheus Bacani et al. Utilizing the InVEST model, this study delves into the temporal and spatial dynamics of carbon storage and sequestration within the Brazilian city with the largest eucalyptus plantation area19, while L. Yuan et al. assessed the spatio-temporal changes in CSS across the entire Tibetan Plateau, integrating the GMMOP-PLUS model to predict carbon storage trajectories under various development scenarios20.
The demand for CSS is typically quantified by measuring carbon emissions generated from human production and consumption, using methods such as the Intergovernmental Panel on Climate Change (IPCC) inventory approach and the urban carbon metabolism method21,22. The IPCC inventory approach, based on greenhouse gas types and emission factors reported by the United Nations Intergovernmental Panel on Climate Change, is internationally recognized and widely applicable across multiple scales23. The urban carbon metabolism method further spatially expresses urban carbon emissions based on the IPCC approach23.
Geographical detectors model are a suite of sophisticated statistical methodologies designed to identify and elucidate the underlying forces driving the CSS supply and demand relationship. They can identify the contribution rates of explanatory variables to the CSSDR, extracting useful spatial correlation rules from vast spatial databases24,25,26. By incorporating parameters into the traditional geographical detector model, the OPGD model optimizes the discretization of spatial data, enhancing the extraction of geographical features and information from explanatory variables. This model provides results for ecological detection, risk detection, interaction detection, and factor detection27,28,29. Its advantages include the discovery of both qualitative and quantitative data, interactions between explanatory variables, and the detection of spatial data scales and partitioning effects, contributing to improved research quality and accuracy. The OPGD model has been applied in fields such as geological hazards, ecosystems, diseases, and rural settlements30,31.
The Yellow River Basin encompasses diverse resources such as forests, wetlands, grasslands, mountains, and valleys, playing a pivotal role in sustaining regional ecological equilibrium and fostering sustainable development endeavors in China32,33. The basin spans multiple geographical units such as the Qinghai-Tibet Plateau, Loess Plateau and North China Plain, with an altitude drop exceeding 4,000 m, forming a vertical ecological gradient from alpine meadow permafrost carbon pools to alluvial plain farmland carbon sinks. Its carbon storage carriers like forests and soils show both type diversity and spatial heterogeneity: the upper source area, dominated by glacial wetlands, is a core high-altitude carbon sink but with significant ecological fragility; the middle Loess Plateau suffers soil carbon loss due to water and soil erosion, while vegetation carbon sink growth is promoted by the Grain for Green Project; the lower plain area, affected by intensive human activities, becomes an interlaced zone of agricultural carbon sources and artificial vegetation carbon sinks Regional ecosystem services relationships and their potential driving factors in the Yellow River Basin, China34,35.In recent years, research on CSS in the Yellow River Basin has primarily focused on evaluating supply volumes, with insufficient understanding of supply-demand relationships and driving mechanisms. As a crucial ecological barrier and key carbon cycling region in China, existing studies still have methodological limitations in analyzing the supply-demand matching mechanisms and driving factors of CSS in the basin.This study introduces the OPGD model to optimize the zoning schemes of eight driving factors, including altitude, NDVI, population density, and GDP density, through five discretization methods such as equal interval classification and natural breakpoint method, objectively quantifying the explanatory power of natural and socioeconomic factors on CSSDR. Meanwhile, a “grid-provincial” dual-scale evaluation framework is constructed to reveal the spatial differentiation characteristics of CSS at grid and provincial scales, providing a new perspective for uncovering the complex driving mechanisms and scale effects of CSS in the Yellow River Basin.This paper delves into the supply-demand relationship of CSS, taking the Yellow River Basin as the study area. By leveraging the InVEST and OPGD models, this study aims to quantify the CSSDR in the Yellow River Basin and explore the underlying mechanisms. It is anticipated that this research will effectively support studies on carbon cycle balance in the Yellow River Basin, Offering pivotal scientific evidence to underpin the construction of an ecological civilization system and the refinement of sustainable development strategies within this specific region.
Materials and methods
Study area
The Yellow River, China’s second longest river, originates from the northern foot of the Bayan Har Mountains on the Qinghai-Tibet Plateau and flows through nine provinces including Qinghai, Sichuan, Gansu, Ningxia, Inner Mongolia, Shanxi, Shaanxi, Henan and Shandong, with a total length of 5,464 km (Fig. 1). It serves as a vital ecological barrier and plays a crucial role in China’s socioeconomic development. Geographically positioned between 32°42′N and 96°119′E, the basin spans four major geomorphic units, with a west-to-east elevation gradient encompassing diverse landscapes such as mountains, plateaus and plains. In 2021, the basin had a total population of approximately 165 million, with population density higher in the middle-lower reaches and lower in the upper reaches—provinces like Henan and Shandong exceeding 600 persons/km². Vegetation coverage has improved, with forest coverage increasing from 12.4% in 2000 to 23.6% in 2020, though regional disparities persist—some areas of the Loess Plateau still have vegetation coverage below 30%, posing high risks of soil erosion. Human activities have significantly impacted the basin: urbanization rate exceeded 50% in 2021, urban expansion reduced high-quality farmland from 60% in 2001 to 45%, and transportation infrastructure land area increased by 150%. Socioeconomic development is highly uneven, with GDP in downstream Shandong and Henan reaching 8.3 trillion and 5.9 trillion yuan respectively in 2021, compared to only 0.35 trillion and 1.02 trillion yuan in upstream Qinghai and Gansu. Such intensive human activities and economic disparities have exacerbated the supply-demand conflicts of ecosystem services like carbon sequestration.
Data sources and preprocessing
In this study, the years 2001, 2011, and 2021 were selected as the research period, as they cover key nodes of China’s rapid urbanization and economic development over nearly 20 years. Multi-source data, including land use and meteorological data, were complete and continuous during this period, facilitating the identification of dynamic responses and evolutionary characteristics of CSS supply and demand driven by policies such as the Grain for Green Project. The study integrates multi-source data (Table 1), and their spatial resolutions are unified to 1 km×1 km through reclassification using ArcGIS(ArcGIS Desktop 10.8,URL:https://desktop.arcgis.com/).
Methods
Supply of carbon sequestration services
The carbon supply was calculated using the Carbon Storage and Sequestration module within the InVEST model. This module estimates the total carbon storage by mapping carbon densities from various carbon pools to different land cover types. The specific calculation formula can be found in the InVEST User’s Guide36. Carbon density functions as a critical input factor within the InVEST model, playing a fundamental role in precisely evaluating carbon sequestration.For the purposes of this research, the carbon density data pertaining to various land cover types were obtained from the National Ecosystem Observation and Research Network (CERN) Science Data Center (http://www.cnern.org.cn/) and complemented with references from several publications37,38,39.
Demand for carbon sequestration services
The evaluation method for carbon emission factors proposed by the IPCC is used to assess carbon demand, which is applicable to estimations at various scales. Based on energy statistics, the per capita carbon emissions are calculated and then allocated to spatial units according to population density. The conversion factor for standard coal and the carbon emission factor are compiled and revised in conjunction with relevant literature. The calculation formula is:
where, \(\:{C}_{e}\:\)represents the total carbon emissions (in tons) from human socio-economic activities, which corresponds to the demand for carbon storage services. \(\:\rho\:\left(x\right)\)denotes the population density (people per pixel) in grid \(\:\:x\). \(\:\phi\:\left(x\right)\)represents the per capita carbon emissions (in tons per person) in grid \(\:x\). n indicates the total number of grids in the study area. \(\:E\:\)represents the energy (in tons) after converting type-i coal to standard coal. \(\:{CEF}_{i}\) represents the carbon emission factor for type-i energy. P represents the population (in people).
Matching relationship between supply and demand
This study employs the carbon sequestration services demand-supply ratio (SDR−CSS) to quantitatively analyze the CSSDR. The formula is :
Where,\(\:{S}_{i}\)and\(\:{D}_{i}\)represent the CSS supply and CSS demand, respectively, while \(\:{S}_{imax}\:\text{a}\text{n}\text{d}{\:D}_{imax}\text{r}\text{e}\text{p}\text{r}\text{e}\text{s}\text{e}\text{n}\text{t}\:\text{t}\text{h}\text{e}\:\text{m}\text{a}\text{x}\text{i}\text{m}\text{u}\text{m}\:\text{s}\text{u}\text{p}\text{p}\text{l}\text{y}\:\text{a}\text{n}\text{d}\:\text{m}\text{a}\text{x}\text{i}\text{m}\text{u}\text{m}\:\text{d}\text{e}\text{m}\text{a}\text{n}\text{d}.\).
Optimal parameter-based geographical detectors model
Building on existing research29,40and considering the specific context of this study and preliminary pre-experiment results, this article employs the Optimal Parameter Geographical Detector (OPGD) model, integrating classification methods—such as equal interval, natural breaks, quantile, geometric interval, and standard deviation classification—to set 4 to 8 classification levels. The parameter combination with the maximum q-value is selected to achieve the discretization of spatial variables. This model is developed based on the traditional Geodetector model through a parameter automatic optimization process. For continuous explanatory variables, it uses algorithms to automatically select optimal discretization methods and parameter combinations. For example, when NDVI is divided into 6 categories using the natural breakpoint method, the q-value is significantly higher than other methods; when population density is divided into 5 categories using the quantile method, the q-value represents the optimal grouping.Based on this, the factor detection module of the geographical detector is used to systematically analyze the explanatory power of various driving factors affecting the CSSDR in the Yellow River Basin.
Result
Temporal and Spatial patterns of carbon sequestration services supply and demand
From 2001 to 2021, the provision of CSS in the Yellow River Basin demonstrated an upward trajectory with fluctuations, increasing from 5.123 billion tons to 6.493 billion tons (Fig. 2). This variation in CSS supply was primarily influenced by the area of forestland and grassland. Regions with higher CSS supply in question were primarily situated in lower mountainous and undulating terrains, where the ecosystems experienced minimal human interference and vegetation grew well. In contrast, Areas of low value were mostly concentrated in the desert zones of the Inner Mongolia Plateau, the glacier regions of the Tibetan Plateau, and economically developed plain areas where construction land occupied significant portions of ecological land.
CO2 emissions exhibited a rapid increase, growing from 134 million tons in 2001 to 778 million tons in 2021 (Fig. 3). From 2001 to 2021, the distribution pattern of CO2 emissions remained similar, with high-emission areas primarily concentrated in Shanxi, Shaanxi, Henan, and Shandong provinces in the middle and lower reaches of the Yellow River. This area is distinguished by a significant level of urban development, numerous industrial parks and energy production bases, frequent agricultural activities, and significant transportation volumes, all of which are critical factors contributing to high carbon emissions.
The spatial distribution pattern of the SDR−CSS is similar to that of the CSS demand, exhibiting distinct spatial variations(Fig. 4). Regions with higher SDR−CSS are located in the municipal districts of Shanxi, Shaanxi, Henan, and Shandong provinces in the middle and lower reaches of the Yellow River, where urbanization is high and ecological land is significantly occupied by construction land, leading to higher demand than supply. From a provincial perspective(Fig. 5), the CSSDR in the Yellow River Basin remained unbalanced and in a state of insufficient supply during the three periods. Although most areas showed a surplus state of supply exceeding demand at the grid scale, the high demand intensity in deficit areas resulted in a deficit status of CSSDR across provinces.
Optimal parametric-based geographical model identification driver factors
Ecosystem effectiveness is governed by a multitude of factors, including climate, landform characteristics, land-use patterns, and socioeconomic activities. This study, referencing previous research and based on principles of comprehensiveness, scientificity, and data availability, selected eight variables within a 5 km grid range as independent variables: elevation, slope, aspect, annual mean temperature, annual mean precipitation, NDVI, population density, and GDP density. Taking the supply, demand, and SDR−CSS in the Yellow River Basin in 2021 as dependent variables, The study employed the factor detection tool of the OPGD model to ascertain the primary determinants underlying the spatial disparities in the supply-to-demand ratio of carbon sequestration services within the Yellow River Basin, enhancing the analytical rigor and reducing redundancy in.
Factor detection analysis
Factor detection analysis revealed that all variables attained statistical significance at the grid scale, indicating that the identified determinants exhibit significant explanatory power for the spatial patterns of CSSDR. The extent of each driver’s influence on the spatial pattern of ecosystem services is depicted (Fig. 6; Table 2). In terms of supply, aspect has the weakest explanatory power for service supply, with q-values consistently below 0.01. Among the factors, the NDVI emerges as the primary driver influencing carbon sequestration service supply, followed by slope and annual precipitation. Population density and GDP density emerge as the foremost factors influencing service demand and rank first in their explanatory power for the SDR-CSS. Conversely, the explanatory strength of factors such as elevation, aspect, annual mean temperature, and NDVI factors does not exceed 0.1, indicating limited influence.
Interaction detection analysis
To identify the influence of interactions between any two driving forces on the spatial differentiation of SDR-CSS, interactions among any two factors were derived based on the five types of interactions within the interaction detector(Fig. 7). The study revealed that the interplay among any pair of driving factors was predominantly marked by bifactorial augmentation and nonlinear enhancement, devoid of any discernible standalone interactions. Notably, the q-values associated with bifactorial interactions consistently surpassed those pertaining to unifactorial interactions. A bidirectional enhancement phenomenon was observed in the interactions between all pairs of factors, encompassing elevation, slope, aspect, annual mean temperature, annual precipitation, NDVI, population density, and GDP density. Notably, the interactions involving population density were the strongest, with q-values for explanatory power exceeding 0.67. GDP interactions ranked second, with q-values greater than 0.48. Specifically, the order of interaction strength was as follows: Population Density ∩ GDP (q = 77.58%) > Population Density ∩ Aspect (q = 74.38%) > Population Density ∩ Annual Mean Temperature (q = 72.16%) > Population Density ∩ Annual Precipitation (q = 71.14%) > Population Density ∩ NDVI (q = 68.93%) > Population Density ∩ Slope (q = 67.76%) > Population Density ∩ DEM (q = 67.32%) > GDP ∩ Aspect (q = 49.93%) > GDP ∩ Annual Mean Temperature (q = 48.83%) > GDP ∩ DEM (q = 47.73%) > GDP ∩ NDVI (q = 45.81%) > GDP ∩ Annual Precipitation (q = 45.58%) > GDP ∩ Slope (q = 45.35%).
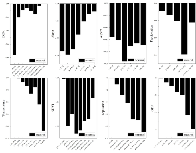
Risk detection analysis
To investigate the impact of driving factors on carbon balance, the types and ranges of driving factors influencing the spatial differentiation of the supply and demand for CSS were calculated, and the average SDR-CSS changes were accurately classified into distinct levels. The results indicate (Fig. 8) that socioeconomic factors such as GDP and population density exert the strongest driving force on the SDR-CSS. As GDP and population density gradually increase, a more pronounced supply-demand deficit becomes evident. In terms of topographic distribution, regions with unfavorable supply-demand relationships are primarily concentrated in low-elevation, low-slope areas. Conversely, high-elevation regions and steep slopes favor vegetation growth, leading to enhanced carbon sequestration service functions. On the other hand, low-lying hills and valleys, where human activities are dense, primarily involve urban development and agricultural production, resulting in higher carbon emissions. Precipitation and temperature serve as meteorological factors affecting carbon sequestration. Specifically, when the annual mean temperature ranges from 1 °C to 24.4 °C and the annual mean precipitation falls between 898 mm and 1170 mm, a larger supply-demand deficit is observed. The study further elaborated that, within the specific range of annual mean temperature varying from 1 °C to 24.4 °C and annual mean precipitation spanning from 898 mm to 1170 mm, a more pronounced imbalance between supply and demand is discernible. Notably, this observation underscores the intricate ecological dynamics influenced by these climatic factors.
Discussions
Temporal and spatial patterns of carbon sequestration services supply and demand
CSS supply is heavily influenced by natural factors, with NDVI being the primary driver of CSS supply. Areas with high vegetation cover exhibit enhanced carbon sequestration capacity due to a combination of factors such as increased photosynthesis, soil carbon storage accumulation, soil and water conservation, and enhanced ecosystem stability. In tackling the pressing issue of global climate change and advancing the pursuit of carbon neutrality, the augmentation of vegetation cover and the implementation of prudent land use planning emerge as fundamental and indispensable strategies within the realm of ecological science41.
CSS demand are primarily affected by human activities and socioeconomic development. Economically developed regions, with their urban expansion and industrialization, not only intensify energy consumption, Moreover, alterations in land use patterns, such as deforestation and land degradation, result in a decline in the carbon sequestration capacity of natural ecosystems while simultaneously augmenting carbon emissions42,43. The contrasting spatial distribution trends of supply and demand have exacerbated the gradual deterioration of the CSSDR within the Yellow River Basin. in recent years, thereby posing significant challenges to ecological sustainability and necessitating advanced research and intervention strategies within the realm of ecology. particularly pronounced in the midstream and downstream regions like Henan and Shandong. In contrast, upstream areas like Qinghai and Sichuan experience a relatively moderate supply-demand balance for CSS. The detection of driving factors reveals that population size and socioeconomic factors significantly impact carbon balance, as population growth and economic expansion drive carbon energy consumption, thereby altering the CSSDR. However, geographical constraints, such as high-altitude regions and steep slopes, limit human activities44mitigating pressure on the demand side of ecosystem services to some extent.
SDR-CSS exhibits distinct distribution patterns at grid and provincial scales. At the grid scale, most areas exhibit a surplus of supply over demand. Conversely, at the provincial scale, all provinces within the Yellow River Basin consistently exhibit an imbalanced state of demand exceeding supply across three periods. This discrepancy arises because the provincial scale tends to reflect overall conditions within a larger region, obscuring subtle differences within the region. It also highlights that the high demand in grid areas with insufficient supply, heavily influenced by human activities, directly impacts the overall balance of CSS16.
Driver factors
This study employs the OPGD model to deeply dissect the prominent spatial differentiation of CSSDR and identify its underlying primary driving factors. Single-factor detection results indicate notable disparities in the impacts of various driving factors on supply volume, demand volume, and ESDR. For supply volume, NDVI (q = 0.1575) stands as the most core driving factor, illustrating the pivotal role of vegetation coverage in CSS functions; slope (q = 0.0900) and annual average precipitation (q = 0.0811) serve as secondary factors, respectively reflecting the influence of topographic conditions and hydrothermal status on vegetation growth; although topographic, climatic, and socioeconomic factors such as DEM (q = 0.0528), annual average temperature (q = 0.0537), and GDP density (q = 0.0592) also contribute, their impacts are relatively limited. In terms of demand, population density (q = 0.1878) and GDP density (q = 0.1725) are the most core socioeconomic driving factors, with comparable contributions, fully demonstrating the significant impact of human activities on oxygen consumption and carbon emissions; in contrast, all natural factors exhibit weak impacts on demand, with q-values all below 0.05. For ESDR, population density (q = 0.7232) and GDP density (q = 0.4234) become absolutely dominant driving factors, with explanatory power far exceeding other factors, highlighting the decisive influence of human activity intensity on regional carbon-oxygen balance; the influence of various natural factors is nearly negligible, with q-values all below 0.05. Two-factor interaction analysis reveals the interaction between any two factors. Among them, the interaction between population density and other factors is the strongest, with explanatory efficiency q-values all greater than 0.67; the interaction between GDP density and other factors follows, with explanatory efficiency q-values all greater than 0.48. Within human factors, the interaction between population density and GDP density (q = 77.58%) shows a extremely strong synergistic effect, indicating that economic development and population aggregation jointly constitute the core driving force affecting carbon balance. Although the overall influence of natural factors is weak, there is still a certain synergistic enhancement effect between NDVI and topographic/climatic factors, such as the combination of NDVI and precipitation, reflecting the dependence of vegetation growth on hydrothermal conditions. The interaction between human and natural factors is also significant: the interaction effect between population density and natural factors is generally strong, especially with aspect (q = 74.38%) and annual average temperature (q = 72.16%), suggesting that under specific topographic and climatic backgrounds, human activities significantly amplify the impact on carbon-oxygen balance—population aggregation in warm areas with sunny aspects leads to more intense carbon emissions and oxygen consumption. The interaction between GDP density and natural factors (such as aspect, q = 49.93%; annual average temperature, q = 48.83%) also shows obvious spatial dependence, indicating that the impact of economic development on the ecological environment is significantly modulated by natural conditions. Based on this, for western regions, whose high carbon sequestration capacity stems from unique alpine ecosystems, it is recommended to implement the strictest ecological protection system, expand the scope of the Sanjiangyuan National Park to the core area of the Ruoergai Wetland, and establish cross-provincial alpine wetland protection alliances; carry out spruce forest tending and renewal projects on the northern slope of the Qilian Mountains to improve forest quality through artificial promotion of natural regeneration; and strictly control mineral development activities while implementing ecological restoration in existing mining areas. Governance in eastern regions with supply-demand imbalance should focus on alleviating human-land conflicts, enhancing farmland soil carbon pools, transforming high-energy-consuming industries, constructing urban ventilation corridors, and strengthening urban carbon sink functions. In areas with high population and GDP density, a satellite remote-sensing-based real-time carbon emission monitoring network can be established, and carbon budget management can be implemented for key industrial parks.
Shortcomings and prospects
In this study, the OPGD model was applied to analyze the driving mechanisms of the CSSDR in the Yellow River Basin. However, several limitations were identified: insufficient dynamic coupling in the quantification of supply and demand, a need to deepen the understanding of cross-scale interaction mechanisms of driving factors, and limited application of forward-looking technical methods. In the future, it is necessary to construct a dynamic supply-demand assessment and scenario simulation framework, deepen research on the regional heterogeneity of driving factors, and promote model integration and intelligent technological innovation, thereby enhancing the scientific support for ecological protection and high-quality development in the basin.
During the research, the OPGD model was used to optimize the parameters of the best partition combinations of eight driving factors using five discretization methods at a spatial scale of 5 km. This approach revealed the truest underlying mechanisms between the supply-demand relationship of carbon sequestration services and driving factors. The scientific validity and reliability of the parameter optimization of the OPGD model have been verified by the research results of some scholars27,30,45,46.Compared with previous studies47,48, the OPGD model has the advantage of using objective methods to optimize parameters such as the spatial scale of data, discretization methods, and the combination of breakpoints, and to determine the explanatory power of driving factors on vegetation changes. This method is more scientific and precise in revealing the characteristics of geographical information and spatial data, and supports the exploration of the spatial patterns and heterogeneity of geographical information.
Conclusions
This study utilized multi-source datasets from 2001, 2011, and 2021, employing the InVEST model and ArcGIS software to compute and analyze CSSDR in the Yellow River Basin from 2001 to 2021. Additionally, it explored the scale optimization and partitioning effects of spatial data using the OPGD model through programming languages, revealing the potential driving factors of CSSDR. The main conclusions are as follows:
-
1)
Between 2001 and 2021, the CSS supply within Yellow River Basin exhibited varying degrees of increasing trends, whereas the demand oscillated upwards, exhibiting a distinctive spatial distribution pattern characterized by elevated demand in downstream regions and comparatively lower demand in upstream headwater areas.
-
2)
The spatial distribution of CSS within the Yellow River Basin, analyzed at the grid scale, exhibited an imbalanced CSSDR with significant regional disparities. From a provincial perspective, the supply-demand index for CSS continuously declined, indicating a worsening supply-demand relationship.
-
3)
Using the OPGD model to dissect the driving forces behind changes in CSS, it was found that the CSS supply is significantly influenced by natural factors, while the CSS demand is primarily influenced by anthropogenic activities and socio-economic advancements. Population density and GDP density have increased the demand for CSS, inhibiting the balance between supply and demand, and thereby emerging as the principal determinants of the CSSDR.
-
4)
Interactions between driving factors predominantly exhibited two-factor enhancement and non-linear amplification, with no evidence of independent effects. The q-values associated with interactions involving two factors consistently exceed those associated with single-factor interactions. In particular, the correlation between population density and other variables is the most pronounced, with all q-values exceeding 0.67. Closely behind, the interaction between GDP and other factors ranks second in terms of strength, with all corresponding q-values exceeding 0.48.
Data availability
All data included in this study are available upon request by contact with the corresponding author.
References
Piao, S., He, Y., Wang, X. & Chen, F. Estimation of china’s terrestrial ecosystem carbon sink: methods, progress and prospects. Sci. China Earth Sci. 65, 641–651 (2022).
Zhao, X., Ma, X., Chen, B., Shang, Y. & Song, M. Challenges toward carbon neutrality in china: strategies and countermeasures. Resour. Conserv. Recycl. 176, 105959 (2022).
Tubiello, F. N. et al. Agriculture, forestry and other land use emissions by sources and removals by sinks. FAO Statistics Division, Working Paper Series. ESS/14-02 (2014).
Millennium ecosystem assessment, M. E. A. Ecosystems and Human well-beingVol. 5 (Island press Washington, 2005).
Zheng, H. et al. A wavelet coherence approach to zoning supply-demand matching of carbon sequestration service. Sci. Total Environ. 901, 165641 (2023).
Hasan, S. S., Zhen, L., Miah, M. G., Ahamed, T. & Samie, A. Impact of land use change on ecosystem services: A review. Environ. Dev. 34, 100527 (2020).
Yee, S. H. et al. Projecting effects of land use change on human well-being through changes in ecosystem services. Ecol. Model. 440, 109358 (2021).
Sannigrahi, S. et al. Examining effects of climate change and land use dynamic on biophysical and economic values of ecosystem services of a natural reserve region. J. Clean. Prod. 257, 120424 (2020).
Burkhard, B., Kroll, F., Nedkov, S. & Müller, F. Mapping ecosystem service supply, demand and budgets. Ecol. Ind. 21, 17–29 (2012).
Baró, F., Haase, D., Gómez-Baggethun, E. & Frantzeskaki, N. Mismatches between ecosystem services supply and demand in urban areas: A quantitative assessment in five European cities. Ecol. Ind. 55, 146–158 (2015).
Hou, W. et al. Matching ecosystem services supply and demand in china’s urban agglomerations for multiple-scale management. J. Clean. Prod. 420, 138351 (2023).
Sun, X. et al. Spatiotemporal patterns and drivers of ecosystem service supply and demand across the conterminous united states: A multiscale analysis. Sci. Total Environ. 703, 135005 (2020).
Guo, F. et al. Improving food security and farmland carbon sequestration in China through enhanced rock weathering: field evidence and potential assessment in different humid regions. Sci. Total Environ. 903, 166118 (2023).
Cheng, J., Huang, C., Gan, X., Peng, C. & Deng, L. Can forest carbon sequestration offset industrial CO2 emissions? A case study of Hubei province, China. J. Clean. Prod. 426, 139147 (2023).
Amézquita, M. C., Buurman, P. & Ibrahim, M. A. Carbon Sequestration in Tropical Grassland Ecosystems (BRILL, 2023).
Nowicki, M., DeVries, T. & Siegel, D. A. Quantifying the carbon export and sequestration pathways of the ocean’s biological carbon pump. Global Biogeochemical Cycles 36, e2021GB007083 (2022).
Bao, G. et al. Variations and climate constraints of terrestrial net primary productivity over Mongolia. Quatern. Int. 537, 112–125 (2020).
Liu, X. et al. Global urban expansion offsets climate-driven increases in terrestrial net primary productivity. Nat. Commun. 10, 5558 (2019).
Bacani, V. M. et al. Carbon storage and sequestration in a Eucalyptus productive zone in the Brazilian cerrado, using the Ca-Markov/Random forest and invest models. J. Clean. Prod. 444, 141291 (2024).
Yuan, L., Xu, J. & Feng, B. Evaluation and prediction of carbon storage in the Qinghai-Tibet plateau by coupling the GMMOP and PLUS models. Sustainability 16, 5776 (2024).
Pedersen, J. S. T. et al. An assessment of the performance of scenarios against historical global emissions for IPCC reports. Glob. Environ. Change. 66, 102199 (2021).
Maranghi, S. et al. Integrating urban metabolism and life cycle assessment to analyse urban sustainability. Ecol. Ind. 112, 106074 (2020).
Li, Y., Qin, Y., Yang, L., Li, Z. & Lu, L. Estimation and analysis of carbon emissions from the large-and medium-sized reservoirs in the upper reaches of Changjiang River: On the basis of the IPCC National Greenhouse Gas Inventory [J]. Lake Science, 35 (01): 131 145 (2023). (2023).
Ren, D. & Cao, A. Analysis of the heterogeneity of landscape risk evolution and driving factors based on a combined geoda and geodetector model. Ecol. Ind. 144, 109568 (2022).
Cao, F., Ge, Y. & Wang, J. F. Optimal discretization for geographical detectors-based risk assessment. GIScience Remote Sens. 50, 78–92 (2013).
Yang, Y., Yang, X., He, M. & Christakos, G. Beyond Mere pollution source identification: determination of land covers emitting soil heavy metals by combining PCA/APCS, geodetector and GIS analysis. Catena 185, 104297 (2020).
Song, Y., Wang, J., Ge, Y. & Xu, C. An optimal parameters-based geographical detector model enhances geographic characteristics of explanatory variables for Spatial heterogeneity analysis: cases with different types of Spatial data. Giscience Remote Sens. 57, 593–610. https://doi.org/10.1080/15481603.2020.1760434 (2020).
Chen, Z., Feng, H., Liu, X., Wang, H. & Hao, C. Analysis of the influence of driving factors on vegetation changes based on the Optimal-Parameter-Based geographical detector model in the Yima mining area. Forests 15, 1573 (2024).
Yang, L. et al. A comprehensive framework for assessing the Spatial drivers of flood disasters using an optimal Parameter-based geographical Detector–machine learning coupled model. Geosci. Front. 15, 101889 (2024).
Zhao, X., Tan, S., Li, Y., Wu, H. & Wu, R. Quantitative analysis of fractional vegetation cover in Southern Sichuan urban agglomeration using optimal parameter geographic detector model, China. Ecol. Ind. 158, 111529 (2024).
Zhang, M. et al. Application of the optimal parameter geographic detector model in the identification of influencing factors of ecological quality in guangzhou, China. Land 11, 1303 (2022).
Wohlfart, C., Kuenzer, C., Chen, C. & Liu, G. Social–ecological challenges in the yellow river basin (China): a review. Environ. Earth Sci. 75, 1–20 (2016).
Yong, X. U. & Chuansheng, W. Ecological protection and high-quality development in the yellow river basin: framework, path, and countermeasure. Bull. Chin. Acad. Sci. (Chinese Version). 35, 875–883 (2020).
Wang, S. Y., Liu, J. S. & Ma, T. B. Dynamics and changes in Spatial patterns of land use in yellow river basin, China. J. L U P. 27, 313–323 (2010).
Shao, Y., Liu, Y., Li, Y. & Yuan, X. J. Regional ecosystem services relationships and their potential driving factors in the yellow river basin, China. J. O G S. 33, 863–884 (2023).
Sharp, R. & Ricketts, T. H. T. T,. in Natural Capital Project (2022).
Yu, Y., Guo, Z., Wu, H., Kahmann, J. A. & Oldfield, F. Spatial changes in soil organic carbon density and storage of cultivated soils in China from 1980 to 2000. Global Biogeochem. Cycles 23(2), 2021–2030 (2009).
Wang, S., Xu, L., Zhuang, Q. & He, N. Investigating the spatio-temporal variability of soil organic carbon stocks in different ecosystems of China. Sci. Total Environ. 758, 143644 (2021).
Wang, J. et al. The Spatiotemporal evolution and prediction of carbon storage in the yellow river basin based on the major function-oriented zone planning. Sustainability 14, 7963 (2022).
Wang, G., Peng, W., Zhang, L. & Zhang, J. Quantifying the impacts of natural and human factors on changes in NPP using an optimal parameters-based geographical detector. Ecol. Ind. 155, 111018 (2023).
Sha, Z. et al. The global carbon sink potential of terrestrial vegetation can be increased substantially by optimal land management. Commun. Earth Environ. 3, 8 (2022).
Zhuang, Q. et al. Impact of global urban expansion on the terrestrial vegetation carbon sequestration capacity. Sci. Total Environ. 879, 163074 (2023).
Liang, D. et al. Population density regulation May mitigate the imbalance between anthropogenic carbon emissions and vegetation carbon sequestration. Sustainable Cities Soc. 92, 104502 (2023).
Chen, S., Ma, M., Wu, S., Tang, Q. & Wen, Z. Topography intensifies variations in the effect of human activities on forest NPP across altitude and slope gradients. Environ. Dev. 45, 100826 (2023).
Wang, H. et al. Study on the multi-type drought propagation process and driving factors on the Tibetan plateau. J. Hydrol. 645, 132162 (2024).
Du, Y. et al. Investigation into the Temporal impacts of drought on vegetation dynamics in China during 2000 to 2022. Sci. Rep. 15, 6351 (2025).
Yang, Y. et al. Large-scale ecosystem carbon stocks and their driving factors across loess plateau. Carbon Res. 2, 5 (2023).
Buczko, U. et al. Soil and vegetation factors affecting carbon storage in a coastal forest in NE Germany. Geoderma Reg. 33, e00629 (2023).
Acknowledgements
The authors would like to express their sincere gratitude to the reviewers for their constructive comments and useful suggestions that help us improve this study.
Funding
The project was financially supported by the National Natural Science Foundation of the People’s Republic of China (U2443203and52279014), Major agricultural science and technology projects (NK202319020506).
Author information
Authors and Affiliations
Contributions
Author contributionsH.Z.: Data Curation, Writing - Original Draft; Y.Y.G.: Conceptualization, Methodology, Software, Investigation, Formal Analysis, Writing - Original Draft; F.Q.W.: Visualization, Funding Acquisition, Investigation; L.B.C.: Resources, Supervision; H.Y.: Software, Validation; L.T.: Visualization, Writing - Review & Editing; Y.T.D.: Conceptualization, Resources, Supervision, Writing - Review & Editing;H.W.: Software, Writing - Review & Editing.
Corresponding author
Ethics declarations
Competing interests
The authors declare no competing interests.
Additional information
Publisher’s note
Springer Nature remains neutral with regard to jurisdictional claims in published maps and institutional affiliations.
Rights and permissions
Open Access This article is licensed under a Creative Commons Attribution-NonCommercial-NoDerivatives 4.0 International License, which permits any non-commercial use, sharing, distribution and reproduction in any medium or format, as long as you give appropriate credit to the original author(s) and the source, provide a link to the Creative Commons licence, and indicate if you modified the licensed material. You do not have permission under this licence to share adapted material derived from this article or parts of it. The images or other third party material in this article are included in the article’s Creative Commons licence, unless indicated otherwise in a credit line to the material. If material is not included in the article’s Creative Commons licence and your intended use is not permitted by statutory regulation or exceeds the permitted use, you will need to obtain permission directly from the copyright holder. To view a copy of this licence, visit http://creativecommons.org/licenses/by-nc-nd/4.0/.
About this article
Cite this article
Zhao, H., Gai, Y., Wang, F. et al. Investigation into the supply-demand relationship of carbon sequestration in the yellow river basin using the optimal parameter geographical detector model. Sci Rep 15, 29079 (2025). https://doi.org/10.1038/s41598-025-15298-w
Received:
Accepted:
Published:
Version of record:
DOI: https://doi.org/10.1038/s41598-025-15298-w










