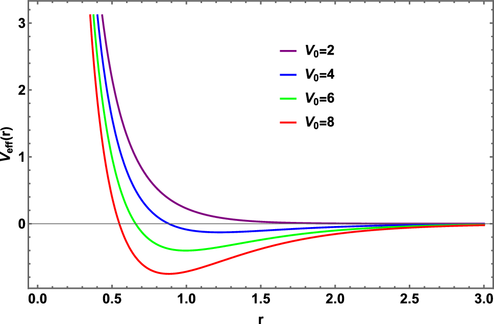
Fig. 2

The behavior of the effective potential (18) with r for different values of of the potential strength \(V_0\). Here, we set \(\delta = 0.2; M = 1; n = 1; m = 1; E= 0.5; \ell = 1; \beta = 0.9; \Phi = 0.5; q = 0.1\) in the natural units.

The behavior of the effective potential (18) with r for different values of of the potential strength \(V_0\). Here, we set \(\delta = 0.2; M = 1; n = 1; m = 1; E= 0.5; \ell = 1; \beta = 0.9; \Phi = 0.5; q = 0.1\) in the natural units.