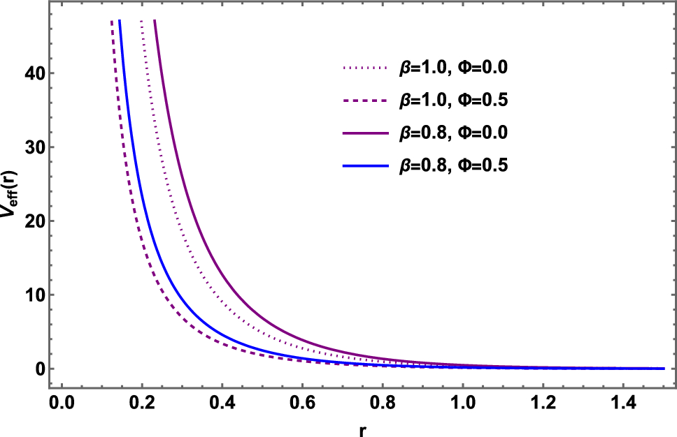
Fig. 3

A comparison of the effective potential (18) with r in different scenario. Here, \(V_0 = 0.1, \delta = 0.2, M = 1, n = 1, m = 1, E = 0.5, \ell =1, \text{ and }\, q=0.1\) in the natural units \(\hbar =1=c=G\).

A comparison of the effective potential (18) with r in different scenario. Here, \(V_0 = 0.1, \delta = 0.2, M = 1, n = 1, m = 1, E = 0.5, \ell =1, \text{ and }\, q=0.1\) in the natural units \(\hbar =1=c=G\).