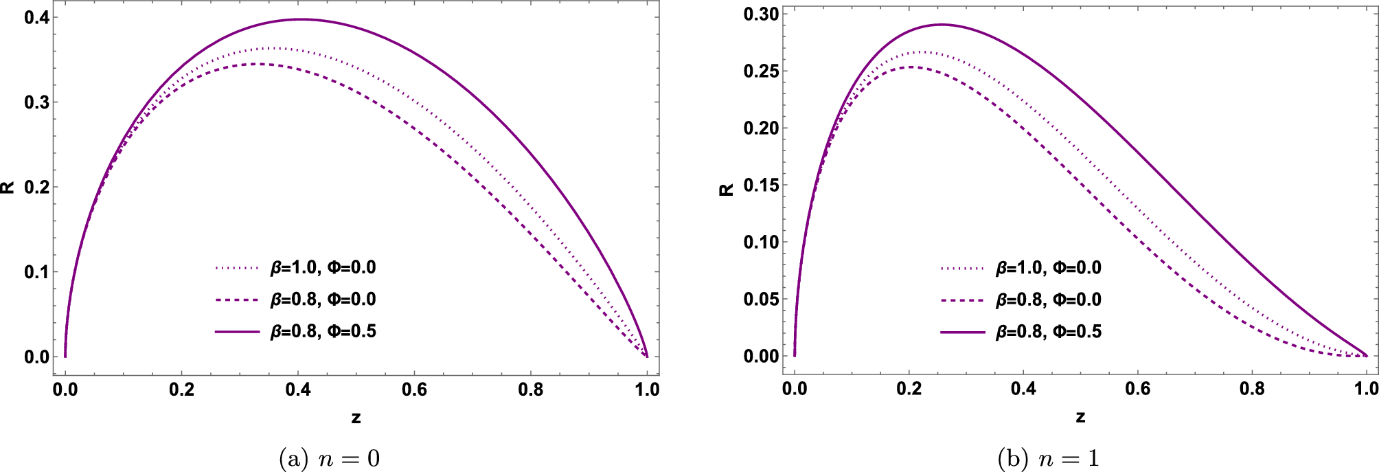
Fig. 6

A comparison of the Radial wave function R(z) plotted as a function of z under different scenario: flat space \(\beta =1, \Phi =0\); cosmic string effects alone \(\beta \ne 1, \Phi =0\); and both the cosmic string and quantum flux effects \(\beta \ne 1, \Phi \ne 0\). Here, we set \(V = 1,\, \delta = 0.2,\, M = 1,\, E = 0.5,\, q = 1\).