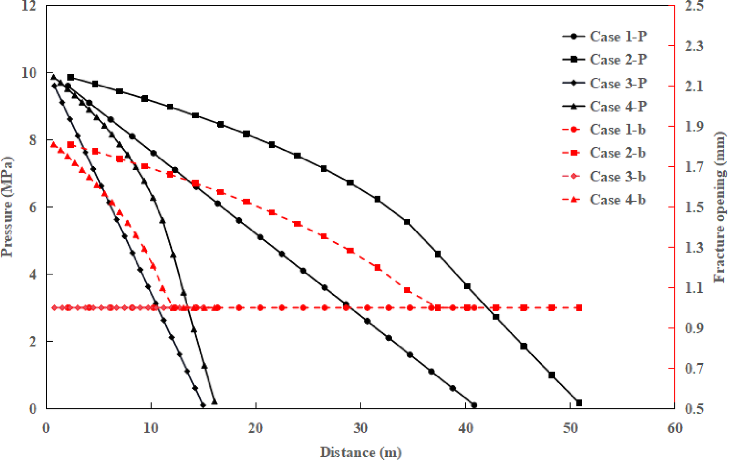
Fig. 12

Under different conditions, the pressure distribution of water in the fracture and the aperture distribution of the fracture.

Under different conditions, the pressure distribution of water in the fracture and the aperture distribution of the fracture.