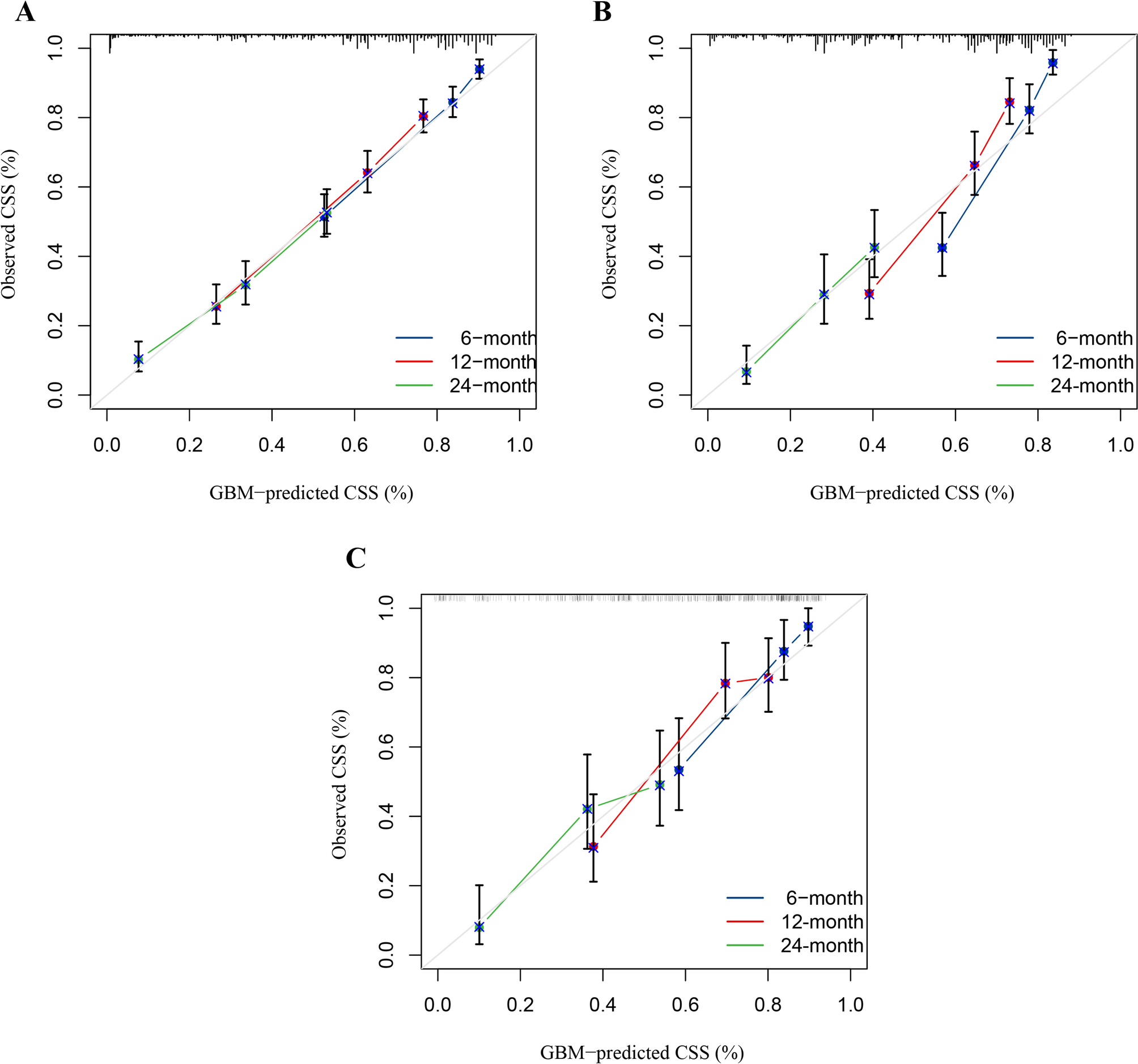
Fig. 7

Calibration curves of 6-month, 12-month, and 24-month CSS prediction in the training (A), validation (B), and test (C) set.

Calibration curves of 6-month, 12-month, and 24-month CSS prediction in the training (A), validation (B), and test (C) set.