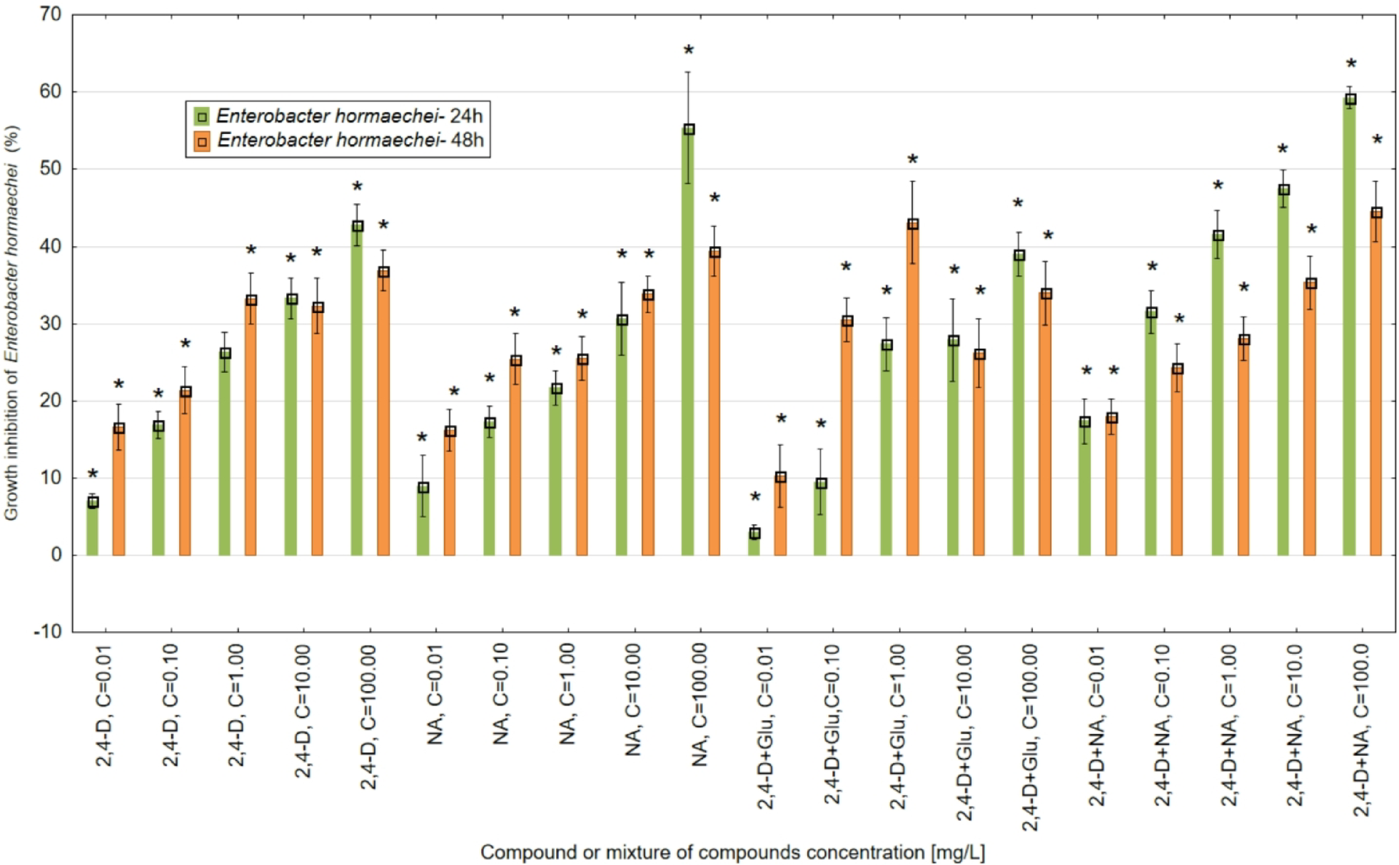
Fig. 2
From: Modulating effect of glutathione (GSH) on 2,4-dichlorophenoxyacetic acid (2,4-D) toxicity

The antimicrobial activity of 2,4-D, NA (applied at the concentrations 0.01, 0.1, 1, 10 and 100 mg/L) and 2,4-D mixtures with NA and glutathione (Glu) used at the concentration of 1 mg/L against E. hormaechei LBM ATCC-700323 after 24 and 48 h incubation with the tested chemicals. The results obtained for mixtures with GSH were standardised against GSH. Note: *- statistically significant differences at p = 0.05 between the control sample (100%). The results are presented as mean ± SD (standard deviation). Error bars indicate the SD of the mean of three independent replicates (n = 3).