Abstract
2,4-dichlorophenoxyacetic acid (2,4-D) is a chlorinated aromatic hydrocarbon herbicide and one of the most widely used herbicides globally. Due to the intensive use of 2,4-D, mainly in agriculture and horticulture, significant amounts of the compound and its metabolites are released into the environment, surface water and soil, posing a serious threat to human health. Scientific studies have shown a positive relationship between 2,4-D exposure and the risk of lymphatic system and prostate cancers. The harmful effects of pesticides and their metabolites on human health can be mitigated by consuming products rich in natural antioxidants, such as glutathione (GSH). This study aimed to elucidate the mechanisms underlying toxicity and genotoxicity of 2,4-D and evaluate the impact of GHS supplementation on mitigating these adverse effects. The toxicity of 2,4-D at the concentrations of 100, 10, 1, 0.1, and 0.01 mg/L was determined by antimicrobial activity against Enterobacter hormaechei and Candida albicans. In contrast, genotoxicity was determined by the level of induction of the genotoxin-sensitive recA promoter in E. coli RFM443 recA:luxCDABE biosensor strain. Synthesis of reactive oxygen species (ROS) in the E. coli strainleads to the oxidative stress response. Moreover, the estrogenic/androgenic effects of 2,4-D were evaluated by yeast estrogen (YES) and androgen (YAS) screen assay using the genetically modified S. cerevisiae strain at various concentrations (100, 10, 1, 0.1, 0.01, 0.001, 0.0001, and 0.00001 mg/L). Finally, the effect of 2,4-D mixtures with GSH at a concentration of 1 mg/L on mitigating its toxic and genotoxic activity was investigated. In the mixtures, the concentration of GSH was lower than the physiological concentration in the cells, and it was selected experimentally to obtain satisfactory results. The experiment was conducted in three independent series, with at least three repetitions of each result (n = 3). Results showed that 2,4-D in the range of applied concentrations exerted a toxic effect on E. homaechei and C. albicans strains and a genotoxic effect in E. coli recA:luxCDABE biosensor strain. Analysis of ROS synthesis values in the E. coli strain showed an increase in this parameter following exposure to the tested 2,4-D concentrations. In the YES and YAS bioassays performed for 2,4-D, we did not detect the ability to stimulate the estrogen/androgen receptor. In mixtures of 2,4-D, a significant (p = 0.05) reduction effect on the toxicity, above 7% for E. hormaechei and above 16% for C. albicans and genotoxicity, by more than 44% of the herbicide was detected after the addition of glutathione This indicating that GSH taken up with food or in the form of supplements can mitigate the adverse effects of 2,4-D in living cells and protect cells from cancer induction. The results confirmed the validity of the hypothesis that oxidative stress induction is a molecular mechanism of 2,4-D toxicity and genotoxicity. Given the significant environmental and food pollution from pesticides and the link between human exposure and cancer induction, proper dietary choice and consumption of foods rich in glutathione are essential in cancer prevention.
Similar content being viewed by others
Cancer is one of the leading causes of premature death in both men and women in the human population worldwide. According to the World Health Organization (WHO) cancer agency and the International Agency for Research on Cancer (IARC) statistical publications in 2022, there were an estimated 20 million new cancer cases and 9.7 million deaths. From the data collected, it was detected that the most common cancers included lung, breast and colorectal cancers1,2. Statistics from EU countries have shown that in 2021, cancer was the second leading cause of death in the EU, with 1.1 million deaths, which equated to 21.6% of the total number of deaths in the EU3.
Scientific studies have shown a positive relationship between pesticide exposure and cancer risk4,5. The main sources of transport of pesticides into the human body are food and water. In EU countries, among the primary documents overseeing the safety of food and feed of plant and animal origin regarding their possible pesticide contamination is Regulation (EC) No 396/2005 of the European Parliament and of the Council of 23 February 2005. This document clearly defines the maximum residue levels for pesticides. In contrast, the pesticide content of drinking water is regulated by the Drinking Water Directive (EU) 2020/2184, which allows a maximum pesticide content up to a limit of 0.1 µg/L6.
European Food Safety Authority’s (EFSA) latest report on pesticide residues in food in the European Union is worrying. In 2021, a total of 87,863 food samples from 12 food products such as aubergines, bananas, broccoli, cultivated mushrooms, grapefruit, melons, sweet peppers, table grapes, extra virgin olive oil, wheat, beef fat and hen eggs were tested for pesticides in EU countries. About 40% of the tested samples contained one or more residues at concentrations below or equal to the permitted levels. In contrast, more than 2% contained residues above permitted levels7. European surface and groundwater, often used as drinking water sources, also contain significant pesticides. According to the European Environment Agency (EEA) report, 25% of all reported monitoring sites in European surface waters in 2019 were found to exceed the pesticide limit of 0.1 µg /L. The main pesticides detected in water above the permitted limit included insecticide imidacloprid, herbicide metolachlor, atrazine and its metabolites and bentazone8. Pesticides are also present in Polish waters. A study by Kruć-Fijałkowska et al. (2022) detected significant concentrations of pesticides in the Warta River, ranging from 0.031 to 0.472 µg/L. The most frequently detected pesticides were isoproturon, nicosulfuron, imidacloprid, terbuthylazine, chlorotoluron, S-metalachlor, and prometryn9. In India, pesticide content in Ganga river waters reached values as high as 10.402 µg/L10.
2,4-dichlorophenoxyacetic acid (2,4-D) is a chlorinated aromatic hydrocarbon herbicide (CAH) (Fig. 1) that is one of the most applied worldwide, introduced on the market in the 1940s to control broad-leaved weeds such as wheat, soybean, corn, and other crops11,12. 2,4-D is a synthetic auxinic plant growth regulator that mimics the activity of natural plant auxins at lower concentrations, promoting cell division, differentiation, and elongation13. However, at higher concentrations, it significantly disrupts metabolic processes in plant cells, causing growth inhibition, abnormalities, chloroplast damage, and ultimately plant death13,14. 2,4-D owes its popularity in application to its physical and chemical properties such as selectivity, broad-spectrum application and low cost. In addition, a critical feature of this herbicide is its relatively good water solubility, which ensures good penetration into plant tissues and the root system, increasing the herbicide’s effectiveness. 2,4-D as an active ingredient is included in some 1,500 different herbicides, and the exemplary consumption of 2,4-D in the form of 2,4-D butyl ester in China reaches a value of 5,000–8,000 tonnes annually11,12.
The main transformation products of 2,4-D formed during environmental degradation in oxidation, reduction, photolysis, and hydrolysis reactions are 1,2,4-benzenetriol, 4-chlorophenol and 2,4-dichlorophenol12. A significant proportion of them show toxicity to living organisms. Due to the continuous increase in the consumption of 2,4-D, its residues are being detected in wastewater, surface and groundwater as potential drinking water intakes, in soils, and drinking water and process water used in the agri-food industry15,16,17. In 2021, more than 62,000 tonnes of 2,4-D were sold in Brazil. By contrast, this herbicide was found in approximately 600 agricultural and residential products in the United States. In Brazil, during the 2015–2016 monitoring of surface freshwater, 2,4-D was detected in 20% of the samples analysed at concentrations well above the limits set by the aquatic life protection criteria and reaching values even to 366 µg/L18. In Europe, 2,4-D was detected in drinking and surface water in Spain at a concentration of 207 ng/L. Even higher concentrations of 2,4-D up to 12 µg/L were detected in urban surface waters and sediments within the USA19. The highest recorded EPA and WHO concentrations of 2,4-D in drinking water are 0.07 mg/L and 30 µg/L, respectively20. 2,4-D is a persistent xenobiotic with an environmental half-life in water of up to 300 days19. Moreover, this herbicide has a low sorption potential into soil particles, resulting in the frequent occurrence of 2,4-D as a pollutant within Europe in lakes and rivers in concentrations, exceeding the European Union threshold (0.1 µg/L) for drinking water sources6,11. Earlier studies demonstrated the toxic effect of 2,4-D on aquatic biota, such as algae, chironomids, and fish21,22. In recent years, hepatotoxicity of 2,4-D, including liver cellular and tissue damage, has been confirmed using rodent and fish models19. In humans, exposure to 2,4-D has been linked to heightened risks of cancer, neurological diseases, reproductive issues, and immunotoxicity20.
2,4-D is incorporated into the food chain and can be detected in animal tissues, plants, and animal products such as eggs and milk. As the last link in the food chain, humans consume both contaminated foods of plant and animal origin. Once 2,4-D enters the human body, it is metabolised and excreted mainly in the urine, either unchanged or as biologically active and often toxic metabolites22,23. Scientific studies have shown that 2,4-D can induce oxidative stress in human cells. Moreover, this herbicide has been shown to strongly affect the human immune system by inducing immunosuppression. Both oxidative stress and immune response disorders contribute to the predisposition for cancer development in the human body24,25. Scientific studies have shown the existence of an increased risk of Non-Hodgkin’s lymphoma (NHL, lymphatic system cancers) and prostate cancer, especially in people directly exposed to 2,4-D like farmers or professional applicators26,27,28. Based on scientific results, the IARC classified 2,4-D as “possibly carcinogenic to humans” (Group 2B)2.
The harmful effects of pesticides and their metabolites on the human body can be mitigated by consuming products rich in natural antioxidants, such as glutathione (GSH). Glutathione is an organic chemical compound. It is a tripeptide consisting of three amino acids (glycine, L-cysteine and L-glutathione acid)29. The antioxidant properties of the glutathione molecule are related to the presence of a thiol group (-SH) in cysteine. It occurs in plant and animal organisms in two forms: reduced (GSH) and oxidized (GSSG). GSH is abundant in cruciferous vegetables, citrus fruits and animal products30,31,32,33,34. To support glutathione synthesis, which occurs primarily in the liver, it is crucial to include in the diet foods high in vitamin C, selenium, and amino acids such as cysteine and methionine30,32,35,36.
Glutathione is a natural antioxidant synthesised in human cells30,35,36. 2,4-D, on the other hand, is a commonly used pesticide that enters the human body via inhalation (soil spraying), ingestion (along with food and water contaminated with this pesticide) and through the skin (direct contact)15,16,17,18,19,20. Hence, there is a high probability of interaction in human cells between 2,4-D and GSH. Investigating these interactions is a unique contribution to the knowledge of GSH activity in 2,4-D-treated cells.
Given the above, the objective of this study was to assess the toxicity and genotoxicity of 2,4-D and to determine whether glutathione (GSH), a key component of the antioxidant system, can mitigate the toxic and genotoxic effects of 2,4-D when present in mixtures with GSH. The toxicity potential was determined by antimicrobial activity against Enterobacter hormaechei LBM ATCC-700323 and Candida albicans ATCC-10231. Subsequently, the genotoxicity of 2,4-D was estimated by applying Escherichia coli RFM443 recA:luxCDABE biosensor strain with a genotoxin-sensitive recA promoter. To investigate oxidative stress as a potential mechanism of toxicity, we measured the levels of reactive oxygen species (ROS) in the E. coli ATCC-25922 strain. E. coli and C. albicans are part of the natural microbiota of the human body and are commonly found in environmental matrices such as sewage, waters and soils37,38. Additionally, to evaluate the binding affinity of 2,4-D to estrogen and androgen receptors, we performed yeast estrogen screen (YES) and yeast androgen screen (YAS) assays using a genetically modified strain of Saccharomyces cerevisiae.
Results
2,4-D, Nalidixic acid (NA) and their mixtures with GSH antimicrobial activity
The results showed that GSH, in the range of concentrations tested, modulated the toxicity of 2,4-D towards E. hormaechei LBM ATCC-700323 and C. albicans ATCC-10231 strains after 24 and 48 h of the microorganism’s incubation with pesticide and its mixtures with GSH (Figs. 2 and 3).
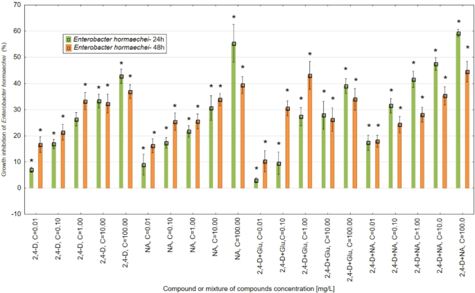
The antimicrobial activity of 2,4-D, NA (applied at the concentrations 0.01, 0.1, 1, 10 and 100 mg/L) and 2,4-D mixtures with NA and glutathione (Glu) used at the concentration of 1 mg/L against E. hormaechei LBM ATCC-700323 after 24 and 48 h incubation with the tested chemicals. The results obtained for mixtures with GSH were standardised against GSH. Note: *- statistically significant differences at p = 0.05 between the control sample (100%). The results are presented as mean ± SD (standard deviation). Error bars indicate the SD of the mean of three independent replicates (n = 3).
For E. hormaechei, after a 24-hour incubation with various concentrations of 2,4-D, the strongest inhibitory effects on bacterial culture growth were observed at the highest concentrations of 100, 10, and 1 mg/L, reducing growth by over 40%, 30%, and 25%, respectively, compared to the control. Lower concentrations of 2,4-D (0.1 and 0.01 mg/L) exhibited less antimicrobial activity, inhibiting culture growth by 16% and 7%, respectively. Compared to analogous concentrations of 2,4-D, the parallel test standard NA differed by more than 13% higher antimicrobial activity against E. hormaechei at the highest concentration of 100 mg/L after 24 h. At the other NA concentrations (10, 1, 0.1 and 0.01 mg/L), its toxic activity against the E. hormaechei strain was comparable to 2,4-D tested at the same concentrations. In mixtures of 2,4-D with glutathione (GSH), adding GSH at a concentration of 1 mg/L reduced the toxicity of 2,4-D applied at 100 mg/L by more than 3%. At a concentration of 10 mg/L of pesticide, GSH reduced toxicity by approximately 6%. Furthermore, at a concentration of 0.1 mg/L of 2,4-D, the toxicity was reduced by more than 7%, while at the lowest concentration of 0.01 mg/L, the reduction in toxicity exceeded 4%. The addition of NA standard at 1 mg/L in mixtures with 2,4-D tested at concentrations of 100,10,1,0,1 and 0.01 mg/L increased the toxicity of the pesticide to the E. hormaechei strain tested after 24 h. The highest antimicrobial activity enhancement values of about 17% for 2,4-D were detected when GSH at a concentration of 100 mg/L was added to the pesticide, compared to 2,4-D applied alone. For the remaining concentrations of 2,4-D (10.1,0.1 and 0.01 mg/L), the addition of GSH at 1 mg/L elevated the toxicity of the pesticide from more than 10% (for a concentration of 0.01 mg/L 2,4-D) to more than 15% for a concentration of 1 mg/L 2,4-D. Extending the incubation time of E. hormaechei cultures with 2,4-D and NA to 48 h enhanced their toxic effects, mainly at the lower concentrations tested (1, 0.1 and 0.01 mg/L) of both chemicals. For 2,4-D, the highest level of toxicity stimulation after 48 compared to 24 h of more than 9% was obtained at a concentration of 0.01 mg/L. In the case of NA over 8%, the difference in toxicity values between the analyzed incubation times (24 h and 48 h) was observed at a 0.1 mg/L concentration. In mixtures of 2,4-D (1, 0.1 mg/L) with GSH, extending the incubation time of the bacterial strain to 48 h causes an increase in the toxicity of the mixtures by about 10% compared to 2,4-D used alone. In the case of higher concentrations of 2,4-D and NA (100, 10 mg/L) and compared to 24 h, a decrease of about 6% (for 2,4-D) and 15% (for NA) in the toxicity of both tested chemical compounds was detected. In comparison to 24 h and at most of the tested 2,4-D concentrations, a decrease in the toxicity of 2,4-D with NA mixtures was also observed.
C. albicans ATCC-10231 applied at a concentration of 100 mg/L showed the most significant sensitivity to 2,4-D after 24 h and 48 h of incubation, respectively, up to 73.13% (24 h) and 76.40% (48 h) of growth inhibition in comparison to the control sample (Fig. 3).
The antimicrobial activity of 2,4-D, NA (applied at the concentrations 0.01, 0.1, 1, 10 and 100 mg/L) and 2,4-D mixtures with NA and glutathione (Glu) used at the concentration of 1 mg/L against C. albicans ATCC-10231 after 24 and 48 h incubation with tested chemicals. The results obtained for mixtures with GSH were standardised against GSH. Note: *- statistically significant differences at p = 0.05 between the control samples. The results are presented as mean ± SD (standard deviation). Error bars indicate the SD of the mean of three independent replicates (n = 3).
At concentrations of 1 and 0.1 mg/L 24 h, a slight stimulation of the growth of C. albicans cultures was detected by approximately 10% and 2.5%, respectively. The 24 h exposure of fungi cells to NA induced a toxic effect on culture growth inhibition of above 3% (0.1 and 0.01 mg/L) to above 76% (100 mg/L). For 2,4-D, extending the incubation of C. albicans to 48 h slightly increased its toxicity at all the concentrations tested. In contrast, in the case of the NA standard used, at most of the concentrations tested, extending its duration of action to 48 h induced a reduction in toxic potential against the fungus culture. After 24 h, in mixtures, GSH added to 2,4-D at a concentration of 100 mg/L reduces by 16.77% the toxicity of the pesticide. Increasing from 24 h to 48 h the duration of action of mixtures of 2,4-D with GHS on fungal cells at the highest pesticide concentration (100 mg/L) reduces the mixture’s toxicity by more than 6%. At the other concentrations (10, 1, 0.1 and 0.01 mg/L) of the pesticide, there is an increase in toxicity, even to about 16% in the mixture with 1 mg/L 2,4-D. After 48 h, GSH in mixtures with 2,4-D only at the highest tested concentration of 2,4-D (100 mg/L) reduces the toxicity of the pesticide by more than 26% compared to 2,4-D used alone. For the other concentrations of the pesticide in mixtures with GSH, the toxicity of 2,4-D increased from more than 1% (0.1 mg/L 2,4-D) to more than 6% (1 mg/L 2,4-D) was observed. A 48-h exposure of C. albicans compared to 24 h reduced the toxicity of 2,4-D mixtures with NA, especially at the highest 2,4-D concentrations of 100 and 10 mg/L by more than 40% and more than 20%, respectively. In these mixtures, both after 24 h and 48 h, an enhancement of the toxic potential against the fungus culture was detected compared to the toxicity of the individual components of the mixtures (2,4-D and NA). 24 h and 48 h exposure of E. hormaechei and C. albicans cultures to GSH alone at a concentration of 1 mg/L induced growth stimulation of cultures of both microorganisms by more than 9% (24 h E. hormaechei) and more than 5% (48 h E. hormaechei) by more than 10% (24 h C. albicans) and more than 5% (48 h C.albicans), respectively.
From the research carried out on the antimicrobial activity of 2,4-D, NA and its mixtures with GSH using the Enetrobacter hormaechei and Candida albicans strains, it was observed that the activity of the essential compounds and their mixtures contribute to the occurrence of statistically significant differences in the values of this indicator after 24 h and does not progress with an increase in exposure time to 48 h. This observation is driven by the results of the Tukey test for control samples, where statistically significant differences (p = 0.05) were observed between the control samples and the values observed after 24 h of incubation. Similarly, for the 48 h incubation, statistically significant differences were observed between the values obtained in the control samples. However, statistically significant differences in the microbial activity of individual compounds and their mixtures were not observed between samples after incubation times of 24 and 48 h.
The genotoxicity determination of 2,4-D, NA and their mixtures with GSH
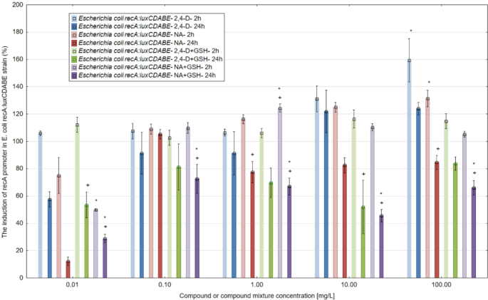
A two-hour incubation of E. coli RFM443 recA:luxCDABE with 2,4-D and NA at the tested concentrations of 100, 10, 1, 0.1 and 0.01 mg/L caused an induction of the recA promoter and an increase in luminescence, indicating a genotoxic effect of the tested chemicals (Fig. 4). For 2,4-D, the most potent genotoxic effect against bacteria was detected at the highest tested concentrations of 100 and 10 mg/L and was almost 160% and more than 130%, respectively, compared to the control (100%). In contrast, NA used at analogous concentrations induced the recA promoter in the E. coli strain to values of over 130% (100 mg/L NA) and 120% (10 mg/L NA).
In mixtures of 2,4-D and NA with GSH after 2 h, the addition of GSH at a concentration of 1 mg/L significantly reduced the genotoxic effects of both chemicals. In mixtures with 2,4-D, glutathione reduced the genotoxicity of the herbicide most intensively by more than 44% and 14% at concentrations of 100 and 10 mg/L, respectively. In mixtures of 2,4-D and NA with GSH after 2 h, the addition of GSH at a concentration of 1 mg/L significantly reduced the genotoxic effects of both chemicals. In mixtures with 2,4-D, glutathione reduced the genotoxicity of the herbicide most intensively by more than 44% and 14% at concentrations of 100 and 10 mg/L, respectively. In contrast, in mixtures of GSH with NA, the genotoxicity-reducing effect of glutathione was significantly less intense by more than 18% (100 mg/L NA) compared to mixtures with 2,4-D. In mixtures, glutathione reduced the genotoxicity of 2,4-D more strongly than the genotoxicity-reducing effect in mixtures with NA.
Prolonged incubation of E. coli strain RFM443 recA:luxCDABE with 2,4-D, NA and their mixtures with GSH up to 24 h resulted in a significant decrease, especially for NA and the mixtures, in genotoxicity. The genotoxicity-reducing effect of adding glutathione to the mixtures was also not detected.
Studies of the recA promoter induction in Escherichia coli strain RFM443 recA:luxCDABE show that, despite a toxic effect in most of the samples observed, statistically significant differences generally occur at incubation times of 24 h. This phenomenon was observed for NA, a mixture of 2,4-D and GSH and a mixture of NA and GSH at concentrations greater than or equal to 1.00 mg/L. In Fig. 5, the genotoxicity results were shown after normalization with the control sample.
In the presented toxicity and genotoxicity studies, we detected GSH’s paradoxical effects (protection vs. toxicity enhancement) - in mixtures containing 2,4-D at a concentration of 0.01 mg/L with GSH, an increase in 2,4-D toxicity (by approximately 6%) was observed. A similar GSH’s paradoxical effect was noticed in a mixture of GSH with NA applied at a concentration of 1 mg/L, with enhancement of more than 8% in the genotoxicity of NA compared to NA applied alone. The molecular mechanism of this phenomenon is described in more detail in the “Discussion” section of this article.
The genotoxic effect of 2,4-D, NA (applied at the concentrations 0.01, 0.1, 1, 10 and 100 mg/L) and their mixtures with glutathione (GSH) used at the concentration of 1 mg/L in Escherichia coli biosensor strain RFM443 recA:luxCDABE compared to time 0 and after 2 and 24 h incubation with tested chemicals. The results obtained for mixtures with GSH were standardised against GSH. Note: *- statistically significant differences at α = 0.05 standardized with time 0; + statistically significant differences at p = 0.05 between 2 and 24 h. The results are presented as mean ± SD (standard deviation). Error bars indicate the SD of the mean of three independent replicates (n = 3).
The genotoxicity results normalized with the control sample. The graph shows the results of ≥ 20% induction compared to the control sample Note: *- statistically significant differences at p = 0.05 compared to the control sample. Note: *- statistically significant differences at p = 0.05 standardized with control sample.
Yeast Estrogen screen (YES) and androgen screen (YAS) bioassays
The potential endocrine-disrupting activity of 2,4-D was assessed using the in vitro YES and YAS bioassays following 48 h of exposure. At the tested chemical concentrations, ranging from 100 to 7.0 × 10−6 µg/mL, no inhibition of yeast cell growth was observed, confirming that the obtained results were not affected by changes in yeast growth or chemical toxicity. The results showed that 2,4-D did not exhibit any agonist activity toward human estrogenic (hERα) and androgenic (hAR) receptors across the entire range of tested concentrations (Figs. 6 and 7).
Oxidative stress determination
ROS synthesis
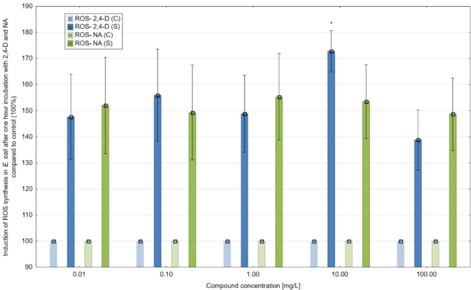
Hourly exposure of E. coli culture to 2,4-D and NA at concentrations of 100, 10, 1, 0.1 and 0.01 mg/L intensively induced ROS synthesis compared to the control (100%) (Fig. 8). The strongest stimulation of ROS generation in E. coli to more than 170% was detected at a concentration of 10 mg/L and for 2,4-D. This herbicide increased ROS synthesis from almost 140% to over 155% at the other concentrations tested (100, 1, 0.1 and 0.01 mg/L). NA tested at a concentration of 1 mg/L induced ROS synthesis most strongly to over 155% in E. coli cultures. For the other NA concentrations tested (100, 10, 0.1 and 0.01 mg/L), the values for the increase in ROS generation in E. coli ranged from more than 148% to more than 153%. Comparing the pro-oxidant potential of 2,4-D with NA, it was found that the levels of induction of ROS synthesis in E. coli exposed to these compounds differed. The most significant differences between 2,4-D and NA were detected at 10 mg/L concentrations. Herbicide 2,4-D tested at 10 mg/L compared to an equivalent concentration of NA showed a stronger pro-oxidant effect and an almost 20% more intense synthesis of ROS.
In the results obtained, a concentration of 10 mg/L had maximum effects, leading to the highest levels of ROS synthesis (up to more than 170% compared to the control). It is likely that at this concentration, the 2,4-D acting on E. coli cells moves most intensively into the cell interior. In contrast, at the higher tested concentration of 2,4-D of 100 mg/L having a toxic effect on E. coli cells (as shown for a concentration of 100 mg/L in the 2,4-D antimicrobial activity assay), membrane permeability is impaired and respiratory chain enzymes are down-regulated, resulting in a decrease in ROS synthesis compared to a concentration of 10 mg/L. 2,4-D is detected in water at ng/L or µg/L concentrations. In contrast, in the study presented here, the most intense levels of oxidative stress (ROS synthesis) were detected at concentrations significantly higher than the concentrations of 2,4-D detected in the environment. Compared to real-world exposure scenarios, there are situations, e.g. agricultural runoff, when pesticides in higher concentrations enter waters and can affect living organisms by causing oxidative stress.
ROS synthesis (%) in E. coli ATCC-25922 after a one-hour exposure to 2,4-D and NA. Note: *- statistically significant difference at p = 0.05 between control samples. The results are presented as mean ± SD (standard deviation). Error bars indicate the SD of the mean of three independent replicates (n = 3).
For ROS synthesis, only one statistically significant difference was observed, which occurred in the studies conducted on the effect of 2,4-D at a concentration of 10.00 mg/L. In the other samples, no statistically significant differences were observed between the control and studied samples, even though the ROS values for the individual study samples showed an apparent increase comparable to the control sample. For 2,4-D concentrations 100, 1, 0.1 and 0.01 mg/l, no statistically significant differences were detected (p = 0.05), which may suggest, the level of ROS synthesis in the cell is strictly dependent on the concentration of 2,4-D acting on the cell. Similarly, and for NA, no statistical significance was found in ROS synthesis between control and test samples.
The results obtained in this paper are specific only to the E. coli and C. albicans strains analysed. These results may not generalise to other microbes or eukaryotic cells.
Discussion
This study determined the antimicrobial activity 2,4-D against E. hormaechei LBM ATCC-700323 and C. albicans ATCC-10231 strains in the 100, 10, 1, 0.1 and 0.01 mg/L concentration range. The results we obtained regarding the toxicity of 2,4-D are consistent with the results of experiments performed by previous researchers in which the antimicrobial activity of 2,4-D against bacteria and fungi was established39. While many studies focus on the effects of 2,4-D on soil microbial community structures and functions, there are fewer that extensively describe the antimicrobial activity of 2,4-D against microorganisms from laboratory collections.
Tyler (2022) reported a decrease in the growth of culturable bacteria in soils up to 15 days after 2,4-D high-dose spraying40. The toxic effect of this herbicide was detected in common soil bacteria such as Azospirillum brasilense and some Rhizobium sp. A completely different effect of 2,4-D was encountered in the case of soil fungi, the population size of which was stimulated under the influence of this herbicide’s high concentrations. A wide variety of effects 2,4-D on soil nutrient-cycling activities and the enzymatic activity of soil microorganisms were also found. In studies on nitrogenase activity in soil microorganisms, an inhibitory effect of 2,4-D on the activity of this enzyme was found in Klebsiella pneumoniae and Nostoc muscorum. In contrast, for Enterobacter agglomerans, an increase in the activity of this enzyme was observed. A similar pattern of 2,4-D reactivity was observed in soil nitrifiers, with autotrophic nitrifiers inhibited under 2,4-D and heterotrophic ones stimulated40,41.
The studies carried out in this work demonstrated the differential sensitivity of E. hormaechei and C. albicans to the same concentrations of 2,4-D. At the highest tested concentration of 100 mg/L, 2,4-D inhibited the growth of C. albicans more intensively compared to E. hormaechei. In contrast, lower concentrations of 2,4-D inhibited the growth of E. hormaechei cultures more intensively than C. albicans. In studies of the effects of pesticides on the activity of soil microorganisms, strains of both bacteria and fungi have so far been detected that exhibit the ability to biodegrade pesticides, including 2,4-D, and among these are Sphingomonas, Pseudomonas, Cupriavidus, Achromobacter, Ochrobactrum, Mortierella, and Umbelopsis. In addition, some enzymes and genes responsible for the biodegradation of 2,4-D have been identified and could be used to genetically engineer new microorganisms with the ability to biodegrade this herbicide42. Subsequent work by Itoh et al. (2013) described research conducted on a collection of fungi isolated from the soil. From this collection, 20 strains were selected that degraded 2,4-D, of which Aspergillus penicilloides and Mortierella isabellina strains demonstrated the highest herbicide degradation efficiency36.
The results of ROS synthesis in E. coli obtained in our experiments after exposure to 2,4-D at concentrations of 100, 10, 1, 0.1, and 0.01 mg/L indicate that oxidative stress is the mechanism of herbicide toxicity. 2,4-D at all concentrations tested induced an increase in ROS generation compared to the control. This herbicide most intensively induced ROS synthesis in bacterial cells at 10 mg/L (up to over 170%) and 0.1 mg/L (up to over 150%). Our results are consistent with the data from the work of previous authors Bukowska et al. (2016) and Sharifi Pasandi et al. (2017), in which a significant cytotoxic effect and oxidative stress generation, resulting in damage to DNA, proteins and lipids, in the tested human or animal cell lines such as cerebellar granule cells (CGC), breast cancer cell line, normal and cancerous lung cells, human peripheral blood mononuclear cells (PBMCs), human umbilical vein endothelial cells (HUVECs) and human gingival fibroblasts (HGF2) was demonstrated under the influence of 2,4-D43,44. The main mechanisms of 2,4-D toxicity have been identified as oxidative stress and destruction of cellular structures and important molecules such as DNA, RNA, proteins and lipids, depletion of antioxidants, and induction of apoptosis44,45. During the cellular defense response to oxidative stress conditions and disruption of cellular antioxidant activity, the HSF (Heat shock factor) activation and the organized networks of heat shock proteins (HSPs) biosynthesis may occur46. One of the main functions of HSPs is their chaperoning activities and cellular protein protection (proper protein folding and repair, degrading irreparable peptides) from the damaging effects of oxidative stress47,48. It is imperative to protect enzymes belonging to the antioxidant system46. Increased ROS levels in the cell can lead to DNA damage and gene deactivation (genotoxic effect). The results of the 2,4-D genotoxicity studies obtained in our work using the biosensor strain E. coli recA: luxCDABE indicate the genotoxic potential of 2,4-D. The highest levels of genotoxicity, up to almost 160%, were detected for 2,4-D after 2 and 24 h at the highest herbicide concentrations tested of 100 and 10 mg/L. Our findings agree with the results of Lerro et al. (2017) work in which the genotoxic potential of 2,4-D has been documented49. The authors of this study tested 225 urine samples from farmers in contact with 2,4-D during agricultural work for oxidative stress markers. In most of the samples tested, the authors detected elevated levels of 8-OHdG – a biomarker of DNA oxidation damage- and 8-isoPGF, a leading product of lipoprotein peroxidation. The results showed that the primary mechanism of the genotoxic effect of 2,4-D is oxidative DNA damage. They concluded that oxidative stress induced by exposure to 2,4-D can lead to the development of cancer and a range of chronic illnesses42,49.
Regarding 2,4-D exposure to 2,4-D has been linked with the induction of carcinogenesis, including prostate cancer28,50,51,52. As highlighted, 2,4-D can potentially induce oxidative stress by increasing ROS (reactive oxygen species) synthesis. Elevated ROS levels can cause DNA fragmentation, resulting in genotoxic effects, and damage RNA, proteins, and cellular lipids. This leads to lipid peroxidation, protein degradation, and the inactivation of essential cellular enzymes. Elevated ROS levels can alter the expression of transcription factors and suppressor genes; if these changes are not repaired by the cellular repair mechanisms, they can promote cancer proliferation, including prostate cancer46,47. Finally, oxidative stress affects miRNA activity, which can regulate the expression of many genes, including proto-oncogenes and tumour suppressor genes28,42,53,54,55,56,57,58.
In the studies presented, it was shown that 2,4-D has toxic and genotoxic effects and generates ROS synthesis and oxidative stress. Considering the huge amount of this herbicide, as it is used worldwide, 2,4-D poses a serious threat to human health. Elevated synthesis of ROS above physiological levels induces oxidative stress, which is the primary mechanism leading to the development of many cardiovascular diseases, diabetes and cancer. Enhanced ROS synthesis and oxidative DNA damage following exposure of cells to 2,4-D can lead to inhibition of the expression of cell-survival-essential genes such as p53 and genes of the organized networks of heat shock proteins (HSPs), leading to a significant decrease in the cell’s protective and repair potential and endocrine disruption. Following it, 2,4-D may affect numerous cells by changing the activity of heat shock proteins. Pesticides induce oxidative stress, leading to the dysfunction of cellular proteins, including HSPs, or impairment of their functions. Impairing their protective function towards the p53 protein may lead to partial or complete deactivation of the p53 protein47,48. Finally, without a well-functioning “guardian of the genome”, the complete dysregulation of genome stability, cell homeostasis and induction of cancer development may occur. That genotoxicity network can consequently lead to genome instability and cancer induction or cell death. In the cell, dysregulated levels of gene expression, or their inhibition, can lead to destabilised genome-wide activity, gene mutations and impaired cell signal transduction and cancer initiation. It’s like a ball that hits a goal, the whole goal shakes under its impact.
There is a link between the effects of pesticides on the expression levels of genes involved in estrogenic cell signal transduction pathways and the induction of breast cancer (BC). The main molecular mechanism of tumour induction is the mutagenic and non-mutagenic activity of pesticides as carcinogens. Another mechanism concerns the indirect activity of pesticides in the cell as biochemical modifiers and hormonal deregulators50,51,52,53,61.
The mechanisms mentioned above explain the involvement of 2,4-D in cancer development47,53,59,60,61,62. Studies have shown that GSH, as a major component of the human antioxidant system, has the potential to reduce the harmful effects of 2,4-D on the human body. We can maintain proper levels of GSH in our cells by leading a healthy lifestyle, eating foods rich in GSH and other antioxidants such as, vitamins A, C and E as well as selenium and polyphenols.
In our research, an in vitro experiment using the YES/YAS bioassay was conducted to detect the estrogenic and androgenic activities of 2,4-D as a potential EDC. Our findings indicated that 2,4-D did not exhibit any EDC activity in vitro. Considering that endocrine-disrupting chemicals (EDCs) can act at very low doses and exhibit non-monotonic dose-response relationships, we tested eight concentrations of 2,4-D (100, 10, 1, 0.1, 0.01, 0.001, 0.0001, and 0.00001 mg/L). The assessment of its estrogenic and androgenic activity showed no effect on hERα or hAR receptors at any of the tested concentrations. These results are consistent with findings by Orton et al. (2009)63Coady et al. (2014)64and Neal et al. (2017)65who also reported no evidence of interaction between 2,4-D and estrogen or androgen receptors in vitro. Moreover, a lack of in vivo endocrine effects in animal studies, including fish, amphibians and rats, has been reported by Coady et al. (2013)66 and Marty et al. (2013)67. The lack of estrogenic and androgenic 2,4-D activity observed in our study should be interpreted carefully, as in vitro models do not fully replicate the complexity of in vivo conditions. In vivo xenobiotics like 2,4-D can undergo biotransformation in the liver, resulting in metabolites with different biological activities, including potentially endocrine-disrupting ones, not detected in the original compound during YES/YAS testing81. Therefore, the negative results observed in the YES/YAS assay for 2,4-D do not definitively exclude endocrine potential in vivo. Nonetheless, our results indicate that the crucial mechanism of 2,4-D cancerogenesis is the induction of ROS, which can activate a number of oncogenes.
The results of our study demonstrated that, in the tested mixtures of 2,4-D and NA with GSH, depending on the herbicide and antibiotic concentration used, the addition of GSH has a bidirectional effect, reducing the toxicity and genotoxicity of 2,4-D and NA and enhancing the values of these parameters. GSH, as a non-enzymatic antioxidant, plays a protective role against free radicals and pro-oxidants and as a cofactor for antioxidant and detoxification enzymes such as glutathione peroxidases, glutathione S-transferases, and glyoxalases68. Glutathione is a known regulator of cellular redox homeostasis69. The antioxidant action of glutathione is associated with detoxifying hydrogen peroxide, organic peroxides and other reactive oxygen species, exo- and endogenous electrophilic compounds, and its ability to chelate dangerous metal ions. Glutathione is also involved in restoring damaged cell components, mainly proteins and lipids of cell membranes and DNA. In addition, the compound maintains the standard redox potential of cells, which is essential in regulating intracellular metabolism, cell growth and differentiation processes and apoptosis68,70. The toxicity- and genotoxicity-reducing effects of GSH in mixtures with 2,4-D obtained in our experiments can be explained based on the above-mentioned molecular mechanisms of action of GSH as one of the most important cellular antioxidants.
In mixtures containing 2,4-D at a concentration of 0.01 mg/L with GSH, a slight increase in 2,4-D toxicity (by approximately 6%) was observed when GSH was added compared to the application of 2,4-D alone. A similar effect of GSH was detected in a mixture with NA applied at a concentration of 1 mg/L, where the addition of GSH induced an enhancement of more than 8% in the genotoxicity of NA compared to NA applied alone. According to the scientific literature, GSH’s paradoxical effects (toxicity enhancement) are explained that, under enabling conditions, the reduced form of GSH (GSSG) acts as a pro-oxidant. Moreover, Rebrin and Sohan (2008) showed that exposure of cells to toxic chemicals (e.g. ethanol) leads to a depletion of mitochondrial GSH71. In living cells, the primary determinant of the cellular redox state is the GSH/GSSG ratio and the efficiency of de novo GSH biosynthesis. First, 2,4-D may affect the activity of enzymes belonging to the cellular oxidative system, such as selenium-dependent glutathione peroxidase (Se-GSH-px), glutathione reductase (GSSG-rx) and glutathione transferase (GST). Secondly, 2,4-D showing pro-oxidant activity in living cells can interfere with the proper functioning of enzymes responsible for optimal regulation of GSH biosynthesis, GSH/GSSG ratio and cellular redox homeostasis, which may lead to a significant weakening of the cell’s antioxidant potential and a deepening of the toxic and genotoxic effects of 2,4-D69,72.
It is known that GSH has a “Janus-faced” role, meaning it exhibits both beneficial and detrimental effects depending on the context. In healthy, normally functioning cells, GSH is an antioxidant and its concentration depends on many parameters, including cellular oxygenation, extracellular pH and redox balance. In cells under oxidative stress and in cancer cells, redox balance, cellular hypoxia and pH changes occur. Moreover, in cancer cells, elevated GSH levels can contribute to drug resistance and tumour progression80. In the light of the above, the toxic effects of 2,4-D on the cell can induce shifts in the redox balance, which disrupts normal GSH synthesis and activity, leading to pro-oxidative effects of GSH in the mixtures with low concentrations of 2,4-D. In our experiments, the obtained pro-oxidative activity of GSH can support the hypothesized Janus-faced character of the redox axis.
Conclusions
This study determined the toxicity and genotoxicity of 2,4-D, a widely used herbicide, and its mixtures with GSH on various microorganisms. Results showed significant antimicrobial and genotoxic activity of 2,4-D towards E. homaechei and C. albicans. Based on the analysis of ROS synthesis levels in E. coli, we also detected that oxidative stress is the mechanism of 2,4-D toxicity and genotoxicity. Considering the literature data and the results obtained in this work, which indicate the potential for toxic effects on living organisms, including the impact of possible cancer induction, 2,4-D can be classified as an environmental micropollutant dangerous to humans. Consequently, the use of this herbicide must be approached very rationally. Above all, developing more effective methods for removing 2,4-D from wastewater and surface waters as potential drinking water sources is crucial. To protect our bodies from the harmful effects of 2,4-D, we can follow a diet rich in natural antioxidants, including GSH. This is confirmed by the results we obtained and described in this paper. In our results, in mixtures with 2,4-D, depending on the concentration of herbicide used, the addition of GSH at a concentration of 1 mg/L significantly modulates the toxicity and genotoxicity of the herbicide, leading to the reduction of the values for these parameters. It indicates that GSH taken with food or supplements can reduce the adverse effects of 2,4-D in living cells and protect cells from cancer induction. From the point of view of cellular oxidative protection and cancer prevention, it is also essential to provide the body with other active antioxidants, such as vitamins C, A, E, D and selenium, among others.
Materials and methods
Chemical compounds and analysis
2,4-D, GSH and nalidixic acid (NA) were purchased from Sigma-Aldrich (Sigma-Aldrich, UK) and used without further purification. All the chemical compounds tested were dissolved in dimethyl sulfoxide (DMSO). To reduce the effect of DMSO on living cells, its solutions were diluted in 0.86% NaCl in a ratio of 1:9 (100 µL DMSO and 900 µL 0.86% NaCl). It is known that DMSO affects gene expression levels and cell metabolism, so 10% DMSO, which is non-toxic to cells was used. The standard used in the study was NA. 2,4-D and NA were tested at 0.01, 0.1, 1, 10 and 100 mg/L concentrations. In contrast, GSH and NA in mixtures with all concentrations of 2,4-D and GSH in mixtures with NA were tested at 1 mg/L. Concentrations of 2,4-D were selected for the experiments that were within the range of the maximum concentration of this herbicide (50 µg/L) set by the United States Environmental Protection Agency (USEPA) for drinking water (USEPA, Cai et al., 2023). Moreover, concentrations (0.01 mg/L) corresponding to the concentrations of pesticides detected in surface waters were selected for analysis. In contrast, higher concentrations of the pesticide, up to 100 mg/L, were used to investigate whether the molecular mechanism of toxicity of 2,4-D is concentration-dependent. Then, in the mixtures, the concentration of 1 mg/L of GSH was used. According to the scientific literature, the concentration of GSH in cells depends on their type and ranges from 5 to 10 mM, while the level of GSH in the serum is much lower (20 µM)29,31,32,33,34,35. In experiment, a lower concentration than physiologically was used – 1 mg/L. This is the concentration that was selected experimentally. For higher (10 mg/L) as well as lower concentrations (0.1; 0.01 and 0.001 mg/L), we obtained unsatisfactory results. Analyses of a given parameter were performed in at least three independent series with at least 3 repetitions of each result (n = 3) in a single series.
2,4-D and its mixtures with GSH and NA antimicrobial activity
The microorganisms used
The antimicrobial activity of 2,4-D, NA, GSH and their mixtures with NA and GSH was estimated using E. homaechei LBM ATCC-700323 and C. albicans ATCC-10231, representing bacteria and fungi. The microorganisms were purchased from ATCC (American Type Culture Collection, USA). The two strains E. hormaechei and C. albicans were selected as a model for Gram-negative bacteria and opportunistic fungi.
The Estimation of the antimicrobial activity of chemicals tested and their mixtures
The antimicrobial activity of chemicals tested and their mixtures was estimated based on the growth inhibition effect of E. homaechei and C. albicans cultures. The microorganisms were cultured overnight at 37 °C on Luria Bertani broth (LB) (casein peptone 10 g/L; yeast extract 5 g/L and NaCl 10 g/L, pH 7.0). Then, the cultures were diluted with fresh LB broth and incubated in a shaking water bath (130 rpm) at 37 °C to the logarithmic growth phase (OD600 = 0.2). After that, the samples were prepared in 96-well plates by adding 100 µl of microorganism cultures to the 100 µl of appropriate concentrations of 2,4-D, NA, GSH and their mixtures with NA and GSH. The samples were mixed and incubated at 37 °C for 24 and 48 h. The control sample did not contain any chemicals. The growth inhibition effect of the tested microorganism culture after 2,4-D, NA, GSH and their mixtures with NA and GSH treatment was determined based on Optical Density (OD) values, measured at 600 nm with the use of a GloMax® microplate reader (Promega, MA, USA). The obtained results were presented as a percentage of growth inhibition/stimulation of the tested microorganism culture compared to the control sample. Experiments were done in triplicate.
The Estimation of the antimicrobial activity of chemicals tested and their mixtures
To date, some research papers have used an E. coli microbial biosensor strain with a plasmid-based transcriptional fusion of the genotoxin-sensitive recA promoter with the lux gene as a reporter to determine the genotoxicity of drugs and their metabolites, pesticides, metals, polychlorinated biphenyls (PCBs), organic pollutants, chromium, arsenic, lead and petroleum hydrocarbons in surface water, wastewaters and soils38,73. The genotoxin-sensitive recA promoter is part of the stress response (SOS) pathway, consisting of an inducible network of genes involved in DNA repair74,75. For genotoxicity assessment of 2,4-D, NA, GSH and their mixtures with NA and GSH, the E. coli RFM443 recA:luxCDABE bacterial biosensor with plasmid construct containing genotoxin inducible-recA promoter transcriptionally fused to the luxCDABE reporter gene was used. The chemicals and their mixtures were applied at 0.01, 0.1, 1, 10 and 100 mg/L concentrations. In this assay, the genotoxic potential of the test chemicals and their mixtures is directly proportional to the level of induction of the recA promoter and luminescence emission. To obtain E. coli recA:luxCDABE cells in the logarithmic growth phase, a 24 h culture of the bacterial strain, conducted at 37 °C on LB broth, was refreshed by dilution with LB broth and placed for 2.5 h (OD600 = 0.2) in a shaking (130 rpm) water bath at 37 °C. On a 96-well white plate, the appropriate solutions of 2,4-D, NA, GSH and their mixtures with NA and GSH were added to the LB broth cultures of E. coli recA:luxCDABE and incubated for 2 and 24 h at 37 °C. To standardize the luminescence response of the E. coli recA:luxCDABE culture for all test samples and the control samples, the OD at 600 nm was spectrophotometrically determined. Luminescence was measured (using a GloMax® microplate reader, Promega, MA, USA) for all tested and control samples and according to the method described by Melamed et al. (2012)76. To account for cell density variations the luminescence data were normalised according to the formula: Lf=L/OD600, where: Lf – final luminescence; L– the luminescence values read from spectroluminometer; OD600 – the optical density of E. coli culture, that showed the bacteria concentration. The results were read after 2 and 24 h. The results are presented as the percentage (%) of induction/inhibition of recA promoter and luminescence compared to the control sample. The experiment was performed in triplicate.
Yeast Estrogen screen (YES) and androgen screen (YAS) bioassays for 2,4-D
A solution of 2,4-D was prepared in ethyl acetate to achieve a final concentration of 100 µg/mL. A volume of 150 µL of this solution was dispensed into a 96-well polypropylene plate. Serial dilutions were performed in a 1:3 ratio using ethyl acetate. E2 and DHT were used as positive controls for the YES and YAS bioassay, respectively, with ethyl acetate serving as the blank control. The assay detects estrogenic activity at ≥ 4.2 × 10⁻¹² M for 17β-estradiol and androgenic activity at ≥ 2.1 × 10⁻¹⁰ M for dihydrotestosterone (limit of detection for reference compounds). The tested concentrations of 2,4-D were 0.00001, 0.0001, 0.001, 0.01, 0.1, 1, 10, and 100 mg/L. The samples were left to evaporate at room temperature overnight. For the YES and YAS assays, Saccharomyces cerevisiae strain (Tigret Poland) was cultured in YPG medium (BLT, Poland) containing streptomycin (0.5 mg/mL) and ampicillin (0.5 mg/mL). The yeast was incubated overnight at 28°C. After incubation, the culture was centrifuged at 10,000 × g for 10 min, and the cells were resuspended in fresh medium to reach an OD690 of 0.4. Endocrine activity was measured following the protocol of Średnicka et al. (2024)77. Evaporated test samples were reconstituted with 120 µL of 1% DMSO and mixed with 60 µL of the yeast suspension. The mixtures were incubated overnight at 28°C in a humidified plastic chamber. After incubation, growth was monitored by measuring optical density at 690 nm. To terminate the cultures, 20 µL of 0.1% Triton X-100 and 30 µL of lyticase (1 mg/mL in 0.1 M phosphate buffer, pH 7.5, containing 50 mM mercaptoethanol) were added, and the plates were incubated for 1 h at 35°C. Subsequently, 50 µL of chlorophenol red-β-D-galactopyranoside (CPRG) solution (1.0 mg/mL in phosphate buffer, pH 7.5) was added. CPRG hydrolysis was measured at 570 nm after 15 min of incubation at 35°C in the dark using the Gen5™ software on a Biotek Synergy H1 plate reader (Gen5™ software Data Acquisition Module, SoftMax® Pro, version 1. 3. 0, URL link: https://help.bioassay.de/framework/topics/biotek_gen5_dam.html). Agonist activities targeting hERα and hAR receptors were determined based on the collected data, and dose-response curves were plotted to illustrate the results.
Oxidative stress determination
To test whether oxidative stress could be a potential mechanism of 2,4-D toxicity, the level of ROS synthesis was determined in the E. coli ATCC-25922 strain incubated with this herbicide.
ROS generation
Oxidative stress (OS) is a condition in which an imbalance occurs in the synthesis of ROS and the activity of the antioxidant system in a living cell. OS causes damage to cellular macromolecules, DNA, RNA, proteins and lipids and ultimately contributes to cellular dysfunction and death. Also, many environmental factors, such as radiation and chemicals, including pesticides, can generate excessive ROS and oxidative stress78,79.
In this study, the level of intracellular ROS generated by E. coli ATCC-25922 strain exposition to 2,4-D was presented. Nalidixic acid was used as a standard, whereas 7′-dichlorofluoresceindiacetate (DCFH-DA) (Sigma-Aldrich, UK) was applied to assess the potential for ROS synthesis induction in E. coli treated with 2,4-D at concentrations of 0.01, 0.1, 1, 10 and 100 mg/L, according to the method described in our earlier works38. After the overnight incubation of the E. coli strain at 37°C in LB broth, the culture was refreshed with LB broth, and the bacterial culture was grown in a water bath at 37°C with shaking (130 rpm) to reach the log phase (OD600 = 0.2). Afterwards, appropriate concentrations of 2,4-D and DCFH-DA at a final concentration of 5 µM were added to the E. coli culture and incubated at 37°C for 1 h. No 2,4-D was added to the control sample. Next, the DCF fluorescence intensity was measured using a GloMax® microplate reader (Promega, MA, USA) at the excitation wavelength of 485 nm and the emission wavelength of 535 nm. In this method, the level of ROS synthesis in E. coli cells is directly proportional to the 2,4-D-treated samples’ fluorescence intensity. Simultaneously with the fluorescence intensity measurements for all samples, including the control, the optical density (OD) value measured at 600 nm was monitored. The obtained results were presented as a percent (%) of ROS synthesis increase compared to the non-treated control culture (100%). The experiment was repeated three times.
Statistical analysis
The results of the laboratory studies were subjected to statistical analysis using the Tukey test for equilateral samples. The results of the statistical analysis were verified for changes in individual indicator values (growth inhibition, induction of promoter recA and ROS synthesis) for the compounds under consideration and their mixtures at concentrations of 0.01, 0.10, 1, 10, 100 mg/L and incubation times resulting from the conditions described in the analytical methodology. The level of statistical significance was taken as α = 0.05. In addition, before selecting a statistical test to verify the occurrence of the least significant differences, the data set was subjected to the Bartlett test to verify homogeneity of variance and the Shapiro-Wilk test to determine the normality of the distribution of the variables adopted for analysis.
Data Availability
The datasets used and analysed during the current study are available from the corresponding author on reasonable request. All data generated or analysed during this study are included in this published article.
References
IARC. Monographs on the evaluation of carcinogenicity risks to humans. Overall evaluations of carcinogenicity: An updating of IARC monographs vols. 1–42. International Agency for Research on Cancer, Lyon, France (Supp. 7). (1987). http://monographs.iarc.fr/
WHO. (2024). https://www.who.int/news/item/01-02-2024-global-cancer-burden-growing-amidst-mounting - need-for-services.
Eurostat. (2022). https://ec.europa.eu/eurostat/statisticsexplained/index.php?title=Cancer_statistics#Deaths_from_cancer
Rizqi, H. D., Purnomo, A. S. & Ulfi, A. The effect of bacteria addition on DDT biodegradation by BROWN-ROT fungus Gloeophyllum trabeum. Heliyon 9, e18216. https://doi.org/10.1016/j.heliyon.2023.e18216 (2023).
Xie, P. P., Zong, Z. Q., Qiao, J. C., Li, Z. Y. & Hu, C. Y. Exposure to pesticides and risk of colorectal cancer: A systematic review and meta-analysis. Environm Pollut. 345, 123530. https://doi.org/10.1016/j.envpol.2024.123530 (2024).
Directive, E. U. 2020/2184 of the European Parliament and of the Council of 16 December 2020 on the quality of water intended for human consumption.
EFSA. The 2021 European Union report on pesticide residues in food. (2023). https://www.efsa.europa.eu/en/efsajournal/pub/7939
EEA. (2021). https://www.eea.europa.eu/en/analysis/indicators/pesticides-in-rivers-lakes-and
Kruć-Fijałkowska, R., Dragon, K., Drożdżyński, D. & Górski, J. Seasonal variation of pesticides in surface water and drinking water wells in the annual cycle in Western poland, and potential health risk assessment. Scient Rep. 12, 3317. https://doi.org/10.1038/s41598-022-07385-z (2022).
Behera, B. C., Patel, A. K., Udgata, S. K. & Behera, B. A review on pesticide contamination in Indian water bodies. Internat. J. Chem. Stud. 12 (2), 37–46 (2024).
Sun, Y. et al. Spatial variation of 2,4-D and MCPA in tap water and groundwater from China and their fate in source, treated, and tap water from wuhan, central China. Sci. Tot Environm. 727, 138691. https://doi.org/10.1016/j.scitotenv.2020.138691 (2020).
Goulart, B. V. et al. Fate and toxicity of 2,4-D and fipronil in mesocosm systems. Chemosphere 346, 140569. https://doi.org/10.1016/j.chemosphere.2023.140569 (2024).
Zuanazzi, N. R., De Castilhos Ghisi, N. & Oliveira, E. C. Analysis of global trends and gaps for studies about 2,4-D herbicide toxicity: A scientometric review. Chemosphere 241, 125016. https://doi.org/10.1016/j.chemosphere.2019.125016 (2020).
Chen, S. F. et al. Ch. Microorganism-driven 2,4-D biodegradation: current status and emerging opportunities. Molecules 29, 3869. https://doi.org/10.3390/molecules29163869 (2024).
Silva, V. et al. Distribution of glyphosate and aminomethylphosphonic acid (AMPA) in agricultural topsoils of the European union. Sci. Total Environ. 621, 1352–1359. https://doi.org/10.1016/j.scitotenv.2017.10.093 (2018).
Silva, L. C. M. et al. Acute and chronic toxicity of 2,4-D and fipronil formulations (individually and in mixture) to the Neotropical cladoceran, ceriodaphnia silvestrii. Ecotoxicology 29, 1462–1475. https://doi.org/10.1007/s10646-020-02275-4 (2020).
Triques, M. C., Oliveira, D., Goulart, B. V., Montagner, C. C. & Espíndola, E. L. G. De Menezes- oliveira, V.B. Assessing single effects of sugarcane pesticides fipronil and 2,4-D on plants and soil organisms. Ecotoxicol. Environ. Saf. 208, 111622. https://doi.org/10.1016/j.ecoenv.2020.111622 (2021).
CETESB. Diagn´ostico da contaminaç˜ao de ´aguas superficiais, subterrˆaneas e sedimentos por agrot´oxicos. Companhia Ambiental do Estado de S˜ao Paulo, S˜ao Paulo. (2021). https://cetesb.sp.gov.br/wp-content/uploads/2021/10/Diagnostico-da-Contaminacao-deAguas-Superficiais-Subterraneas-e-Sedimentos-por-Agrotoxicos_.pdf
Martins, R. X. et al. 2,4-D Herbicide-induced hepatotoxicity: unveiling disrupted liver functions and associated biomarkers. Toxics 12, 35. https://doi.org/10.3390/toxics12010035 (2024).
Mohammadnia, M., Heydari, R. & Sohrabia, M. R. Determination of 2,4-dichlorophenoxyacetic acid in food and water samples using a modified graphene oxide sorbent and high-performance liquid chromatography. J. Environm Scien Health Part. B. 2, 1–8. https://doi.org/10.1080/03601234.2019.1692613 (2019).
Da Silva Pinto, T. J. et al. Toxicity of fipronil and 2,4-D formulations (alone and in a mixture) to the tropical amphipod hyalella meinerti. Environm. Scien Pollut Res. 21, 11356–11369. https://doi.org/10.1007/s11356-021-13296-9 (2021).
Moreira, R. A. et al. Fipronil and 2,4-D effects on tropical fish: could avoidance response be explained by changes in swimming behavior and neurotransmission impairments? Chemosphere 263, 127972. https://doi.org/10.1016/j.chemosphere.2020.127972 (2021).
Moreira, R. A. et al. L. G. Exposure to environmental concentrations of fipronil and 2,4-D mixtures causes physiological, morphological and biochemical changes in Raphidocelis subcapitata. Ecotoxicol. Environ. Saf. 206, 111180. https://doi.org/10.1016/j.ecoenv.2020.111180 (2020).
Klaunig, J. E. Oxidative stress and cancer. Cur Pharmaceut Desig. 24, 4771–4778. https://doi.org/10.2174/1381612825666190215121712 (2018).
Caliri, A. W., Tommasi, S. & Besaratinia, A. Relationships among smoking, oxidative stress, inflammation, macromolecular damage, and cancer. Mutat. Res. 787, 108365. https://doi.org/10.1016/j.mrrev.2021.108365 (2021).
Smith, A. M., Smith, M. T., Merrill, L., Liaw, M. A., Steinmaus, C. & J. & 2,4-dichlorophenoxyacetic acid (2,4-D) and risk of non-Hodgkin lymphoma: a meta-analysis accounting for exposure levels. Annal Epidemiol. 27, 281–289e4. https://doi.org/10.1016/j.annepidem.2017.03.003 (2017).
Xie, S. et al. Elevated 2,4-dichlorophenoxyacetic acid (2,4-D) herbicide concentrations in the household dust of farmers with recent occupational use. J. Occup. Environm Hyg. 20, 5–6. https://doi.org/10.1080/15459624.2023.2198588 (2023).
Glover, F. et al. Ch. Exposure to the herbicide 2,4-dichlorophenoxyacetic acid and prostate cancer among U.S. Adult men. World J. Urol. 42 (1), 611. https://doi.org/10.1007/s00345-024-05336-z (2024).
Brodzka, S. et al. The role of glutathione in age-related macular degeneration (AMD). Int. J. Mol. Sci. 25, 4158. https://doi.org/10.3390/ijms25084158 (2024).
Al-Temimi, A. A. et al. Glutathione for Food and Health Applications with Emphasis on Extraction, Identification, and Quantification Methods: A Review. Metabolites, 13(4), 465. (1989). https://www.mdpi.com/2218-/13/4/465 (2023).
He, M., Openo, K., McCullough, M. & Jones, D. P. Total equivalent of reactive chemicals in 142 human food items is highly variable within and between major food groups. J. Nutr. 134 (5), 1114–1119. https://doi.org/10.1093/jn/134.5.1114 (2004).
Minich, D. M. & Brown, B. I. A Review of dietary (phyto) nutrients for glutathione support. Nutrients 11(9), (2073). https://www.mdpi.com/2072-6643/11/9/2073 (2019).
Rodrigues, C. & Percival, S. S. Immunomodulatory effects of glutathione, Garlic derivatives, and hydrogen sulfide. Nutrients 11 (2), 295 (2019). https://www.mdpi.com/2072-6643/11/2/295
Thaipratum, R. Glutathione levels in the five healthy fruits for skin care. Proceedings of the. International Academic Research Conference, Milan, Italy, (2016). (2016).
Giustarini, D., Milzani, A., Dalle-Donne, I. & Rossi, R. How to increase cellular glutathione. Antioxidants, 12(5), 1094. https://www.mdpi.com/2076-3921/12/5/1094
Gould, R. L. & Pazdro, R. Impact of supplementary amino acids, micronutrients, and overall diet on glutathione homeostasis. Nutrients 11(5), 1056. (2019). https://www.mdpi.com/2072-6643/11/5/1056 (2019).
Aggarwal, N. et al. Microbiome and human health: current understanding, engineering, and enabling technologies. Chem. Rev. 123 (1), 31–72. https://doi.org/10.1021/acs.chemrev.2c00431 (2023).
Matejczyk, M. et al. Biological effects of vanillic acid, iso-vanillic acid, and orto-vanillic acid as environmental pollutants. Ecotoxicol. Environm Saf. 277, 116383. https://doi.org/10.1016/j.ecoenv.2024.116383 (2024).
Itoh, K., Kinoshita, M., Morishita, S., Chida, M. & Suyama, K. Characterization of 2,4-dichlorophenoxyacetic acid and 2,4,5-trichlorophenoxyacetic acid-degrading fungi in Vietnamese soils. FEMS Microbiol. Ecol. 84, 1574–6941. https://doi.org/10.1007/s13213-013-0731-9 (2013).
Tyler, H. L. Impact of 2,4-D and glyphosate on soil enzyme activities in a resistant maize cropping system. Agronomy 20, 12, 2747. https://doi.org/10.3390/agronomy12112747 (2022).
Sachu, M., Kynshi, B. L. & Syiem, M. B. A biochemical, physiological and molecular evaluation of how the herbicide 2, 4-dichlorophenoxyacetic acid intercedes photosynthesis and diazotrophy in the Cyanobacterium Nostoc muscorum Meg 1. Environ. Sci. Pollut Res. Int. 29 (24), 36684–36698. https://doi.org/10.1007/s11356-021-18000-5 (2022).
Cai, Y. et al. Complete mineralization of 2,4-dichlorophenoxyacetic acid in a reduction and oxidation synergistic platform (ROSP). Chem Engineer J. 472, 144988. https://doi.org/10.1016/j.cej.2023.144988 (2023).
Bukowska, B., Wieteska, P., Kwiatkowska, M., Sicinska, P. & Michałowicz, J. Evaluation of the effect of 2,4-dichlorophenol on oxidative parameters and viability of human blood mononuclear cells (in vitro). Hum. Exp. Toxicol. 35, 775–784. https://doi.org/10.1177/0960327115606789 (2016).
Sharifi Pasandi, M. et al. Epi/perineural and Schwann cells as well as perineural sheath integrity are affected following 2,4-D exposure. Neurotox. Res. 32, 624–638. https://doi.org/10.3233/ADR-230046 (2017).
Islam, F. et al. Potential impact of the herbicide 2,4-dichlorophenoxyacetic acid on human and ecosystems. Environ. Int. 111, 332–351. https://doi.org/10.1016/j.envint.2017.10.020 (2018a).
Szyller, J. & Bill-Lula, I. Heat shock proteins in oxidative stress and ischemia/reperfusion injury and benefits from physical exercises: a review to the current knowledge. Oxid. Med. Cell. Longev. 31, 2021–6678457. https://doi.org/10.1155/2021/6678457 (2021).
Wawrzynow, B., Żylicz, A. & Żylicz, M. Chaperoning the guardian of the genome. The two-faced role of molecular chaperones in p53 tumor suppressor action. Biochim. Biophys. Acta (BBA)-Rev. Cancer 1869, 161–174. https://doi.org/10.1016/j.bbcan.2017.12.004 (2018).
Klimczak, M., Biecek, P., Żylicz, A. & Żylicz, M. Heat shock proteins create a signature to predict the clinical outcome in breast cancer. Scient Rep. 9, 7507. https://doi.org/10.1038/s41598-019-43556-1 (2019).
Lerro, C. C. et al. A longitudinal study of atrazine and 2,4-D exposure and oxidative stress markers among Iowa corn farmers. Environ. Mol. Mutagen. 58, 30–38. https://doi.org/10.1002/em.22069 (2017).
Kumar, V., Yadav, C. S. & Banerjee, B. D. Xeno-Estrogenic pesticides and the risk of related human cancers. J. Xenobiot. 12 (4), 344–355. https://doi.org/10.3390/jox12040024 (2022).
New-Aaron, M., Naveed, Z. & Rogan, E. G. Estrogen disrupting pesticides in Nebraska groundwater: trends between Pesticide-contaminated water and Estrogen-related cancers in an ecological observational study. Water 13, 790. https://doi.org/10.3390/w13060790 (2021).
Mesnage, R., Brandsma, I., Moelijker, N., Zhang, G. & Antoniou, M. N. Genotoxicity evaluation of 2,4-D, Dicamba and glyphosate alone or in combination with cell reporter assays for DNA damage, oxidative stress and unfolded protein response. Food Chem. Toxicol. 157, 112601. https://doi.org/10.1016/j.fct.2021.112601 (2021).
Liu, Y., Sul, Z., Tavanal, O. & Gul, W. Understanding the complexity of p53 in a new era of tumor suppression. Cancer Cell. 42 (6), 946–967. https://doi.org/10.1016/j.ccell.2024.04.009 (2024).
Rusin, M. The p53 protein – not only the guardian of the genome. Adv. Biochem. 70, 71–87. https://doi.org/10.18388/pb.2021_518 (2024).
Haverinen, E., Fernandez, M., Mustieles, V. & Tolonen, H. M. Syndrome and endocrine disrupting chemicals: an overview of exposure and health effects. Int. J. Environ. Res. Public. Health. 18 (24), 13047. https://doi.org/10.3390/ijerph182413047 (2021).
Stragierowicz, J. et al. An assessment of the estrogenic and androgenic properties of tetra- and hexachloronaphthalene by YES/YAS in vitro assays. Chemosphere 263, 128006. https://doi.org/10.1016/j.chemosphere.2020.128006 (2021).
Leemans, M., Couderq, S., Demeneix, B. & Fini, J-B. Pesticides with potential thyroid Hormone-Disrupting effects: A review of recent data. Front. Endocrinol. 10, 743. https://doi.org/10.3389/fendo.2019.00743 (2019).
Wang, L. H., Chen, L. R. & Chen, K. H. In vitro and vivo identification, metabolism and action of xenoestrogens: an overview. Int. J. Mol. Sci. 22, 4013. https://doi.org/10.3390/ijms22084013 (2021).
Knapke, E. T., Magalhaes, D. P., Dalvie, M. A., Mandrioli, D. & Perry, M. J. Environmental and occupational pesticide exposure and human sperm parameters: A navigation guide review. Toxicology 465, 153017 (2022).
Cohn, B. A. et al. DDT exposure in utero and breast cancer. J. Clin Endocrinol. Metab. 100 (8), 2865–2872. https://doi.org/10.1210/jc.2015-1841 (2015).
Panis, C. & Lemos, B. Pesticide exposure and increased breast cancer risk in women population studies. Scien Tot Environm. 933, 172988 (2024).
Pizzatti, L. et al. Toxicoproteomics disclose pesticides as downregulators of TNF-_, IL-1_ and estrogen receptor pathways in breast cancer women chronically exposed. Front. Oncol. 10, 1698. (2020). (2020) https://doi.org/10.3389/fonc.2020.01698. eCollection.
Orton, F., Lutz, I., Kloas, W. & Routledge, E. J. Endocrine disrupting effects of herbicides and pentachlorophenol: in vitro and in vivo evidence. Environ. Sci. Technol. 43 (6), 2144–2150. https://doi.org/10.1021/es8028928 (2009).
Coady, K. K. et al. Evaluation of the potential endocrine activity of 2,4-dichlorophenoxyacetic acid using in vitro assays. Toxicol. Vitro. 28 (5), 1018–1025. https://doi.org/10.1016/j.tiv.2014.04.006 (2014).
Neal, B. H. et al. Weight-of-the-evidence evaluation of 2,4-D potential for interactions with the estrogen, androgen and thyroid pathways and steroidogenesis. Crit. Rev. Toxicol. 47 (5), 352–408. https://doi.org/10.1080/10408444.2016.1272094 (2017).
Coady, K. et al. An evaluation of 2,4-dichlorophenoxyacetic acid in the amphibian metamorphosis assay and the fish Short-Term reproduction assay. Ecotoxicol. Environ. Saf. 90, 143–150. https://doi.org/10.1016/j.ecoenv.2012.12.025 (2013).
Marty, M. S. et al. Lamb 4thj.C., hammond, L. An F1-extended one-generation reproductive toxicity study in crl: CD(SD) rats with 2,4-dichlorophenoxyacetic acid. Toxicol. Sci. 136 (2), 527. https://doi.org/10.1093/toxsci/kft213 (2013).
Averill-Bates, D. A. The antioxidant glutathione. Vitam. Horm. 121, 109–141. https://doi.org/10.1016/bs.vh.2022.09.002 (2023).
Dzah, C. S., Zhang, H., Gobe, V., Asante-Donyinah, D. & Duan, Y. Anti- and pro-oxidant properties of polyphenols and their role in modulating glutathione synthesis, activity and cellular redox potential: potential synergies for disease management. Adv. Redox Res. 11, 100099. https://doi.org/10.1016/j.arres.2024.100099 (2024).
Bilska, A., Kryczyk, A. & Włodek, L. Different faces of the biological role of glutathione. Adv. Hyg. Exp. Med. 61, 438–453 (2007).
Rebrin, I. & Sohal, R. S. Pro-oxidant shift in glutathione redox state during aging. Adv. Drug Deliv Rev. 60 (13–14), 1545–1552. https://doi.org/10.1016/j.addr.2008.06.001 (2008).
Gasmi, A. et al. Peana M. An update on glutathione’s biosynthesis, metabolism, functions, and medicinal purposes. Cur Med. Chem. 31 (29), 4579–4601. https://doi.org/10.2174/0109298673251025230919105818 (2024).
Łaska, G., Matejczyk, M. & Dauksza, U. The expression of different gene constructs in Escherichia coli SM Lux biosensor after exposure to drugs. Scient Rep. 14, 31899. https://doi.org/10.1038/s41598-024-83190-0 (2024).
Mo, C. Y., Birdwell, L. D. & Kohli, R. M. Specificity determinants for autoproteolysis of lexa, a key regulator of bacterial SOS mutagenesis. Biochemistry 53, 3158–3168. https://doi.org/10.1021/bi500026e (2014).
Chen, J. X. et al. Redesign of ultrasensitive and robust RecA gene circuit to sense DNA damage. Microb. Biotechnol. 14 (6), 2481–2496. https://doi.org/10.1111/1751-7915.13767 (2021).
Melamed, S. et al. A bacterial reporter panel for the detection and classification of antibiotic substances: detection and classification of antibiotics. Microbiol. Biotechnol. 5, 536–548. https://doi.org/10.1111/j.1751-7915.2012.00333.x (2012).
Średnicka, P. et al. Influence of bisphenol A and its analogues on human gut microbiota composition and metabolic activity: insights from an in vitro model. Science Tot Environm 956, 177323. https://doi.org/10.1016/j.scitotenv.2024.177323
Wu, Z., Qu, J., Zhang, W. & Liu, G. H. Stress, epigenetics, and aging: unraveling the intricate crosstalk. Molec Cell. 84, 34–54. https://doi.org/10.1016/j.molcel.2023.10.006 (2024).
Yoshikawa, T. & You, F. Oxidative stress and bio-regulation. Int. J. Mol. Sci. 25, 3360. https://doi.org/10.3390/ijms25063360 (2024).
Khramtsov, V. V. & Gillies, R. J. Janus-Faced tumor microenvironment and redox. Antiox Redox Signal. 21 (5), 723–729. https://doi.org/10.1089/ars.2014.5864 (2014).
Charles, G. D., Tornesi, G. C., Kan, B. & Zacharewski, H. L. Analysis of the interaction of phytoestrogens and synthetic chemicals: an in vitro/in vivo comparison. Toxicol. Appl. Pharmacol. 218 (3), 280–288. https://doi.org/10.1016/j.taap.2006.11.029 (2007).
Acknowledgements
This work was supported by project number 2020/39/B/NZ9/01894 from the National Science Centre (NCN), Poland and by the project number WZ/WB-IIŚ/2/2023 from the Ministry of Science and Higher Education.The authors are very grateful to Professor Shimshon Belkin, Dr Tal Elad, Dr Liat Moscovici and Dr Sharon Yagur-Kroll, Institute of Life Sciences, The Hebrew University of Jerusalem, Jerusalem, Israel for providing bacteria strains.
Author information
Authors and Affiliations
Contributions
M.M. supervised the project, conceptualization, methodology, investigation and data collection, writing – original draft; E.J.-K. supervised the part of YES, YAS analysis - performed and writing the part of work YES and YAS assay - methodology, investigation, data collection, writing – original draft, review and editing; P.Ś. – methodology, investigation, visualisation, data collection, formal analysis, P.O. carried out statistical analysis of the data and described the statistics; K.K. performed visualization, validation, formal analysis; K.K.K. performed visualization, validation, formal analysis; G.Ł. performed visualization, validation, formal analysis; R.O. performed visualization, validation, formal analysis; J.W. performed visualization, validation, formal analysis; P.K produced an graphical abstract and wtote the part of Introduction; M.K. supervised the project and obtained funding. All authors reviewed the manuscript.
Corresponding author
Ethics declarations
Competing interests
The authors declare no competing interests.
Additional information
Publisher’s note
Springer Nature remains neutral with regard to jurisdictional claims in published maps and institutional affiliations.
Rights and permissions
Open Access This article is licensed under a Creative Commons Attribution 4.0 International License, which permits use, sharing, adaptation, distribution and reproduction in any medium or format, as long as you give appropriate credit to the original author(s) and the source, provide a link to the Creative Commons licence, and indicate if changes were made. The images or other third party material in this article are included in the article’s Creative Commons licence, unless indicated otherwise in a credit line to the material. If material is not included in the article’s Creative Commons licence and your intended use is not permitted by statutory regulation or exceeds the permitted use, you will need to obtain permission directly from the copyright holder. To view a copy of this licence, visit http://creativecommons.org/licenses/by/4.0/.
About this article
Cite this article
Matejczyk, M., Juszczuk-Kubiak, E., Średnicka, P. et al. Modulating effect of glutathione (GSH) on 2,4-dichlorophenoxyacetic acid (2,4-D) toxicity. Sci Rep 15, 29718 (2025). https://doi.org/10.1038/s41598-025-15616-2
Received:
Accepted:
Published:
Version of record:
DOI: https://doi.org/10.1038/s41598-025-15616-2










