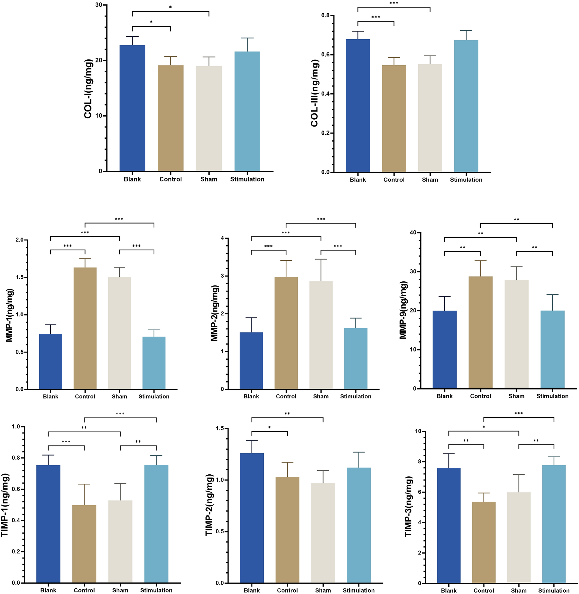
Fig. 6

Protein expression of collagen I, collagen III, MMP-1, MMP-2, MMP-9, TIMP-1, TIMP-2 and TIMP-3 was measured by ELISA in pelvic floor muscle. *P < 0.05; **P < 0.01; ***P < 0.001, n = 6/group.

Protein expression of collagen I, collagen III, MMP-1, MMP-2, MMP-9, TIMP-1, TIMP-2 and TIMP-3 was measured by ELISA in pelvic floor muscle. *P < 0.05; **P < 0.01; ***P < 0.001, n = 6/group.