Abstract
Arid regions are mainly characterized by extreme environmental conditions, which strongly affect crop production and therefore, could not allow to satisfy the high food demand. During the past decades, chemicals fertilizers have been intensively used to increase crop yield. However, significant applications of chemical fertilizers have showed adverse effects on the environment in many previous works. Therefore, this study attempts to convert plant parts of dates palm (leaflet, petiole, and fruits) into biochar. Furthermore, this work also aims to determine the physiochemical composition of the biomaterial and its potentialities in improving plant growth of Ocimum basilicum at different levels including 0, 1.5, and 3% hydroponically. Based on our results, physiochemical parameters of the tested biochar revealed that 3% fruit biochar had the highest water drainage (42 ml), while petiole biochar at the same concentration without Hoagland had the highest pH (8.38) and EC (3452.66 µS/cm). Electrical properties, such as voltage (2.93 V) and current (0.14 mA), and plant metrics, including shoot and root growth, showed significant improvement, particularly with 3% of leaflet biochar and Hoagland application. Strong correlations between electrochemical properties (voltage, current) and plant growth were observed, with values ranging from 0.62 to 0.98. These findings suggest that biochar derived from date palm can be a valuable amendment for improving hydroponic crop production, particularly in arid regions.
Similar content being viewed by others
Introduction
In the past decades, soil was intensively used for agricultural purposes to satisfy the higher food demand and human population growth1. Intensive use of soil for crop production has been usually associated with excessive chemical fertilizers and pesticides applications2that in many cases it adversely affected the soil, plant, and ecosystem functioning3. Beyond soil degradation, chemical fertilizers have also been identified as key contributors to climate change4. Therefore, reducing their usage while maintaining or improving plant growth has become a major focus in sustainable agriculture. Biochar has gained attention for its potential benefits in enhancing soil properties and plant growth5. For instance, Schulz et al. found positive effects of biochar on plant growth of Avena sativa and its improvement on soil properties, which were further supported by Schulz and Glaser in their study6,7 .
Biochar possesses distinctive physical characteristics, including high porosity, water retention capacity, which are critical for the soil aeration and moisture availability. Its quality strongly depends on the waste materials, plant species and plant part, pyrolyzing processes including temperatures, and its chemical composition8,9,10. These properties make biochar an effective soil amendment, enhancing fertility while reducing nutrient leaching. Additionally, biochar provides environmental benefits by sequestering carbon, reducing greenhouse gas emissions, and enhancing soil microbial activity, thus contributing to long-term soil health and sustainability. As reported in a previous study11 biochar produced from maize contained higher nitrogen levels than biochar from meadow grass and wood mixtures. While previous studies have investigated the effects of electrical conductivity and voltage on plant growth12the research linking the electrochemical properties of biochar to plant development remains limited13,14,15,16.
Human population has adversely affected natural resources in many parts of the world and in recent decades this has been deteriorated with climate change17,18,19,20; such expansion in human population will inevitably have significant negative impacts on the natural resources. Therefore, with the main objective to increase food production, hydroponic systems and vertical farming have been introduced to address these issues and sustain food production. Hoagland solution is a widely used nutrient composition formulated to support plant growth in hydroponic systems by supplying essential macronutrients (e.g., nitrogen, phosphorus, potassium) and micronutrients (e.g., iron, zinc, manganese) in optimal proportion. Its flexibility allows nutrient concentrations to be adjusted based on plant species and growth stages, making it suitable for diverse experimental setups21. The applications of Hoagland solution extend beyond traditional hydroponics, as it is frequently used in plant nutrition studies, nutrient uptake experiments, and soil amendment research, particularly in evaluating alternative growing media such as biochar. As biochar is known to have stable and interesting properties for plant growth and environment health22considering biochar as media while implementing hydroponic systems for crops production could be more efficient in improving plant quality. However, only few studies have explored the use of biochar in the hydronic systems, leaving a critical research gap.
United Arab Emirates (UAE) is one of the world’s leading producers of date palm23. However, the large volume of agricultural waste generated from date palm cultivation is not efficiently utilized due to the slow and complex composting process24. As per this, converting this waste into biochar and integrating in the processes of crops production could be ecofriendly and more efficient. Previous studies have showed the importance of biochar for plant growth with not much interest correlating biochar voltage and current on the plant growth. Moreover, several materials have been identified as media for hydroponic systems, but those materials might not be efficient compared to the biochar for improving plant growth. Despite biochar’s established benefits for plant growth, only few studies have examined its electrical properties or its role as a hydroponic growing medium25,26.
This study aims to produce biochar from different parts of the date palm tree (leaflets, petioles, and fruits) using a low-cost, sustainable method and evaluate its effects on the growth of Ocimum basilicum in the hydroponic system. Additionally, the study investigated the electrical properties (current and voltage) of date palm biochar and their potential influence on plant growth of O. basilicum. By addressing these aspects, this research contributes to the development of biochar-based hydroponic solutions for sustainable agriculture.
Materials and methods
Site study, biochar experimental design, and samples preparation
The present work was conducted in the Fujairah research Centre, United Arab Emirate (UAE) (25.1288° N, 56.3265° E) from November 2023 to March 2024. Plant specimens were collected from public land around Fujairah with permission obtained from the appropriate governing body. An authorization letter allowing sample collection has been submitted as supporting documentation. The collected dates palm trees plant parts were then grouped into three parts including two leaves parts (leaflet and petiole), and fruits (Fig. 1).
Dates palm tree (Phoenix dactylefera) (a), and the dates palm bunches (b).
These plant materials were used to prepare the biochar following the methods described in previous studies with some modifications27,28. Briefly, collected samples were cut into 10 cm lengths for both leaflet and petiole, and the fruits samples were uncut, and then sundried. Thereafter, 15 kg of each sundried samples were loaded into the drum manually for the pyrolyzing processes. In contrast to previously reported methods 24, our biochar drum had no perforations, and the plant samples were not directly exposed to the fire during the pyrolyzing processes29(Fig. 2). Then firewood collected from one of the most invasive plant species, Prosopis juliflora was used for the combustion at the button firing point of the drum. During the processes of pyrolyzing, plant materials were heated to a maximum 500–600 °C.
Different views of the biochar drum, whole biochar drum (a), top view (b), and side view (c).
After the pyrolyze process, the obtained biochars were physiochemically characterized for pH, electrical conductivity (EC), drained water, and total dissolved solids (TDS) using the established protocols30. Summarizing, 5 g of each biochar were transferred into a 150 ml beaker and, after adding 25 ml of distilled water, the mixture was shaken for 90 min, and the values of pH, EC, and TDS were recorded using Ohaus, Aquasearcher Instruments (Table 1). Water retention capacity of the biochar was assessed by oven-drying samples at 105 °C until a constant dry weight was achieved. Subsequently, 50 mL of distilled water was added to 5 g of dried biochar to measure drained water volume. Additionally, biochar samples were evaluated for their electrochemical properties including voltage and current. Experimental setups were designed and constructed to measure these parameters for each biochar type. (Fig. 3). Furthermore, the tested dates palm biochars were also analysed for minerals composition including calcium, potassium, magnesium, sodium, iron, copper, and zinc: The analyses of Na and K were performed according to the Association of Official Agricultural Chemist (AOAC 969.23) whereas, the analyses of calcium, potassium, magnesium, sodium, iron, copper, and zinc were conducted following the Official Agricultural Chemist (AOAC 2015.01).
Schematic illustration of the experimental systems to determine the current (a), and the voltage (b) of the different biochar.
Experimental design to test the effects of Biochar on Ocimum Basilicum plant growth
The methodology used in this study was adapted from a previously published protocol with some modifications16. This work was carried out using randomized block design, which consisted of 14 treatments of nutrients applications and 4 replicates per set. Seeds of Ocimum basilicum, (purchased from local market in Fujairah) were germinated in the plastic pots filled with a mixture of sand and peat moss and the seedlings were allowed to emerge inside the greenhouse. After germination, seedlings with two functional leaves were transferred to the hydroponic systems supplemented with the following treatments (Table 2).
The hydroponic system consisted of 50 mL Falcon tubes wrapped with aluminium foil (Fig. 4). Each tube was perforated with a 6 mm diameter hole, allowing plant roots to be hydroponically grown within the system.
Ocimum basilicum plants growing in the hydroponic system.
After 30 days of greenhouse growth, the following plant growth parameters were measured: shoot and root length, number of leaves, longest leaf length, leaf width, shoot and root dry weights, and chlorophyll content using an SPAD meter.
Determination of the leaf chlorophyll using SPAD (Soil plant analysis Development), and plant dry weight measurements
The measurements of chlorophyll were performed according to protocol mentioned in previous studies31. To do this, one fully expanded leaf was selected for the recordings, always on the middle of one side of the leaf blade. The recordings were done on the third leaf from the apical bud using the SPAD CM-402 chlorophyll meter, Acculab, USA. For the plant dry weight, the tested plants were delicately pooled out from the hydroponic system, washed with running tap water, and then rinsed with distilled water. Afterward, plant shoots were separated from the root, dried on the bench on a piece of tissue roll, and then allowed to dry in the oven adjusted at 70 °C until constant weight.
Data analysis
Three replicates were considered for the physiochemical properties of the tested biochars, while four replicated were emphasized for the other assessments. One-way ANOVA (analyses of variance) was conducted to test the effects of dates palm plant parts on the physiochemical parameters of the biochars. Furthermore, two-way ANOVA was performed to evaluate the impacts of dates palm plant parts biochar and the concentrations on the chemical analyses of the tested solutions, plant growth attributes, and total chlorophyll content. Moreover, scatterplot analyses were performed to test the levels and the types of associations between voltage, current, SPAD readings and the growth parameters. Tukey test (Honestly significant differences, HSD at p < 0.05) was used to identify significant difference between the means. All the data were analysed through SYSTAT version 13.0.
Results
Physiochemical analysis of the tested dates palm biochar (leaflet, petiole, and fruits)
Statically, dates palm plant parts had significant (p < 0.001) effects on the physiochemical analysis of the obtained biochar (Fig. 5. and Table 3). Overall, calcium and potassium were found to be greater in the dates palm leaflet (18538 ppm) and petiole biochar (19664.67 ppm) respectively than the other elements. The values of drained water were significantly higher in the dates palm fruits (42 ml) compared with the other types of biochar. The tested biochars were also investigated for copper and zinc analyses but these chemical elements were not detectable.
Physiochemical analysis of the tested dates palm biochar (leaflet, petiole, and fruits).
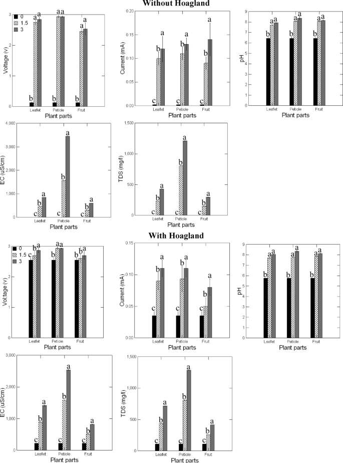
Impacts of the dates palm parts (leaflet, petiole, and fruits), and Biochars concentrations on the chemical and electrical parameters of the biochar of Phoenix dactylifera in the absence or presence of hoagland
Biochar produced from plant parts of Phoenix dactyliflera (leaflet, petiole, and fruits) has been shown in Fig. 6. Moreover, plant parts, Hoagland solution, concentrations of the biochar, and their interactions had significant effects on the values of voltage, current, pH, EC, and TDS (Fig. 7, and Table 4). 3% of the petiole biochar non-treated with Hoagland exhibited significantly higher values of pH (8.38), EC (3452.66 µS/cm) than the two controls and the other groups. The values of the voltage of the solutions treated with the petiole biochar regardless of the presence or absence of the Hoagland was slightly similar (2.93 v) and greater than the two controls and the other treatments. The recordings on the values of current (0.14 mA) and the TDS (1285.33 mg/l) were more important in the solutions treated with 3% of the fruit and petiole biochar with or without the addition of Hoagland respectively.
Pieces of leaflet (a), leaflet biochar (b), leaflet biochar powder (c), pieces of petiole (d), petiole biochar (e), petiole biochar powder (f), fruits (g), fruits biochar (h), and fruits biochar powder (i) from the dates palm tree plant. Different letters indicate significant differences according to Tukey test at p < 0.05.
Impacts of the dates palm tree part (leaflet, petiole, and fruits) and biochars concentrations on the chemical parameters of the biochar of Phoenix dactyliflera in the absence or presence of the Hoagland.
Impact of biochar concentrations on the growth and phytochemical parameters of Ocimum Basilicum in the absence or presence of hoagland
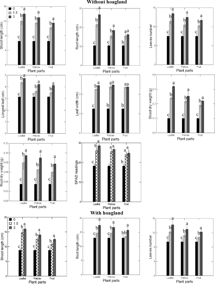
Dates palm biochar, and Hoagland, and their interactions had significant effects on the plant growth and total chlorophyll content of Ocimum basilicum (Fig. 8; Table 5). Overall, O. basilicum plants treated with dates palm biochar revealed significant higher growth than the two controls (Fig. 9). In sum, treated plants with Hoagland and leaflet biochar at 3% revealed greater values of shoot length (16 cm), leaves number (14.25), longest leaf (4.79 cm), leaf width (2.48 cm), shoot dry weight (0.34 g), root dry weight (0.105 g), and SPAD values (31.52) than the other treatments and the two controls. Reversely, plant root length (26.75 cm) was found to be much higher when exposed to 3% of leaflet biochar in the group non-treated with Hoagland.
Impacts of Phoenix dactyliflera plant parts biochar (leaflet, petiole, and fruits) and biochars concentrations (0, 1.5 and 3%) on plant growth and phytochemical analyses of Ocimum basilicum in the absence or presence of Hoagland. Different letters indicate significant difference as per Tukey test at p < 0.05.
Control negative and positive (a + b), treated with 1.5 and 3% of leaflet biochar (c + d), treated with 1.5 + 3% petiole biochar (e + f), treated with 1.5 + 3% fruits biochar (g + h), treated with 1.5 + 3% leaflet biochar + Hoagland (i + j), treated with 1.5 + 3% petiole biochar (k + l), and treated with 1.5 + 3% of fruits biochar (m + n) plant of Ocimum basilicum.
Correlation between the Biochar voltage and plant growth parameters of Ocimum Basilicum
The voltage of the biochar was strongly correlated with the plant growth of Ocimum basilicum regardless the different treatments and the effects were significant (P < 0.01 and P < 0.001) (Fig. 10; Table 6). The values of the coefficients of correlation ranging from 0.77 to 0.98 with higher values recorded in the leaf width when the tested plant was not exposed to Hoagland; and from 0.62 to 0.76 when the tested plants were exposed to Hoagland with higher values observed with shoot dry weight.
Correlation between the biochar voltages and plant growth parameters of Ocimum basilicum.
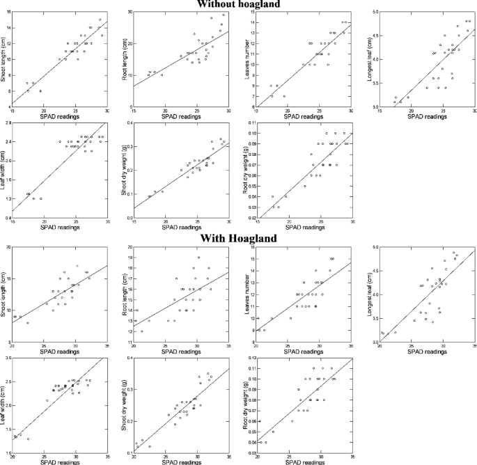
Correlation between the SPAD readings and the plant growth parameters of Ocimum Basilicum
Leaves SPAD values were found to be strongly correlated with plant growth parameters of Ocimum basilicum and the effects were significant (P < 0.001) (Fig. 11; Table 7). The correlation values ranging from 0.85 to 0.96 for the plant non-treated with Hoagland, and the higher values were recorded with shoot dry weight; and from 0.74 to 0.94 for those exposed to Hoagland and the higher values were observed with leaf width and shoot dry weight.
Correlation between the SPAD readings and plant growth parameters of Ocimum basilicum.
Correlation between the current of the Biochar and plant growth parameters of Ocimum Basilicum
Current values of the biochar were observed to be strongly correlated with plant growth of Ocimum basilicum and the effects were significant (P < 0.001) (Fig. 12; Table 8). The correlation coefficients values ranging from 0.73 to 0.95 when plants were not exposed to Hoagland with higher values found with leaf width; and from 0.778 to 0.91 when tested plants were exposed to Hoagland with higher values noticeable in the shoot length.
Correlation between the biochar current and plant growth parameters of Ocimum basilicum.
Discussion
The present work examines the potential use of dates palm trees parts (leaflet, petiole, and fruits) to prepare the biochar and then use the obtained biochar at different levels (0, 1.5 and 3%) to improve plant growth of Ocimum basilicum hydroponically in combination with Hoagland. Physiochemical analyses of the tested biochar revealed important variations between the different plant parts of the dates palm tree. In addition, combining Hoagland and biochar showed significant variations on the analysed parameters compared with the two controls groups. Overall, the obtained leaflet and petiole biochars revealed higher values of calcium and potassium compared with the other elements. Furthermore, biochar water retention was found to be higher in the petiole than the leaflet and the fruits. These observations in the physiochemical analyses of the tested biochar induced significant changes in the experimental solutions compared to the non-treated. It was found that increasing the levels of biochar in the solution significantly affected the tested chemical parameters. 3% of the petiole and leaflet biochars had more impacts on the values of pH, EC, TDS, current, and voltages than the fruits biochar and the two controls. The chemical analysis values of the biochar obtained in the present study were higher than those reported in previous studies32,33. Notably, to the best of our knowledge, no prior research has evaluated the electrical current and voltage characteristics of biochar derived from date palm residues.
The variations observed between the tested biochar in this work may be attributed to the dates palm tree part used. Previous studies on the chemical analyses of the biochar reported that, varied proportions of hemicellulose, lignin, and cellulose levels in the tested materials greatly affect the conversion of the residue into biochar28. It has been reported that the leaflets of the date palm tree contain higher amounts of extractives, including cellulose, hemicellulose, and lignin, compared to other plant parts34. Therefore, the observable variations obtained in the present work on the current and the voltage values of the biochar could be associated to the chemical composition of the tested plant parts and the presence of Hoagland in the solutions. Moreover, petiole and leaflet biochars exhibited higher values of water retention than the fruits. The capacity of the biochars to fix water is very important for the chemical reactions, and nutrients availability. This would mean that, biochar with higher water retention would fix more particles than the other, which could importantly affect the electrical properties of the tested solution.
Plant attributes of Ocimum basilicum tested in this work were positively and significantly affected by the different treatments than the two controls. O. basilicum plants growing with the combination of Hoagland and biochar were more affected than those without Hoagland and the two controls, with highest plant performance observed at 3% of leaflet biochar. The values of SPAD were also greater in the groups treated with the combination of biochar and Hoagland than the non-treated, and the controls. Plant attributes of O. basilicum were found to be strongly and positively correlated with the current, the voltage, pH, TDS, and the SPAD values for all the tested biochar. A previous study observed that combining palm kernel biochar with hydroton significantly enhanced the growth of red lettuce compared to using palm kernel biochar alone16. Similar trends have also been reported in cabbage and lettuce plants32. The values of EC were greatly correlated with plant growth of O. basilicum, and these values increased with the increase of biochar levels and Hoagland application. Electrical conductivity is considered as an indicator for nutrients availability in the media. Therefore, the augmentation of the EC levels in the growing media will inevitably raise up the negative charges and therefore, allowing the retention of the positive charges which could provide more nutrients to the plant. It has been observed that increasing the EC of the nutrient solution led to a significant rise in nitrogen, phosphorus, potassium, and calcium content in lettuce plants35. Based on our study, leaflet and petiole biochars had greater values of physiochemical analyses. Calcium and magnesium were significantly higher in these two types of dates palm biochar than the other. Macro elements are essential and indispensable for plant growth and development, and any deficiencies could have adverse effects on the plants. For example, calcium is actively involved in the movements of stomata and many other physiological processes, while magnesium is involved in the chlorophyll synthesis, enzyme activation, and protein synthesis. As per this, this much growth observed in the O. basilicum plants could be attributed to the chemical elements of the tested biochars. Furthermore, water retention vales were seen to be greater in the same dates palm biochar parts. Water retention plays critical role in the nutrient availability and cation exchange capacity. As per this, leaflet and petiole biochars could have the capacity to fix more nutrients and make it available for the tested plant than the fruits biochar and the two controls.
Based on our findings, current, voltage, and TDS values of the tested biochar were strongly and greatly correlated with plant growth of Ocimum basilicum. Voltage is considered as electromotive force or the sum of energy transfer to the solution, while current is the rate of the electrical charges flow and TDS, the measure of dissolved solids in the solution. In the present study, there was a net increase in current, voltage and TDS values with the increase of the levels of biochar in the media. Therefore, significant levels of biochar in the solution could have potentially exerted significant pressure in the solution and the resultant could be observed on the movement of the particles present in the media. Justifiably, such phenomena would have increased the biochar buffer and therefore facilitated cations exchange capacity (CEC), which would have obviously promoted plant growth. Correlating cation exchange capacity and plant growth, previous studies observed that media emended with biochar had both higher values of CEC and plant biomass than the control36. Moreover, the tested properties of the dates palm biochar could have provided more effects on the current and voltage values. These two electrical parameters are much influenced by the quantity and the quality of the salt in the solution. Higher values of calcium and magnesium could have increased the movements of the particles in the solution, which could have improved nutrients up take by the tested plant.
The Ocimum basilicum plants exposed to biochar combined with Hoagland exhibited significant values of SPAD than the other group and the control. Furthermore, SPAD values were strongly and positively correlated with plant growth of O. basilicum. Although higher EC can alter plant physiology, important EC in the media means more nutrients. In our work, we found greater values of EC in the groups treated with biochar than the controls. Earlier study on the mineral composition of the biochar of dates palm tree and other biochar types showed that, this latter contained essential minerals including calcium, potassium, nitrogen, and sodium32,37. These essential minerals are known to play significant role in plant photosynthesis38.
Conclusion
In this study, the three testing factors showed significant effects on the physiochemical analyses of the tested biochar. Calcium contents, and higher water retention were observed in the leaflet biochar, while potassium levels, voltage, pH, TDS, and EC values were importantly higher in the petiole biochar than the control groups. Contrastingly, the values of current were greater in the fruits biochar than the other treatments. Furthermore, combining Hoagland with biochar showed significantly higher and positive effects on the plant growth attributes of Ocimum basilicum than the other treatments and the non-treated plants. The interaction between biochar concentration and nutrient solution revealed notable effects on both biochar chemical composition and plant development. Moreover, strong correlations were observed between biochar electrical properties and plant health. Future research should explore optimizing biochar compositions and application methods to enhance plant growth and sustainability.
Data availability
All data supporting the findings of this study are available within the paper and its Supplementary data file.
References
Savci, S. Investigation of effect of chemical fertilizers on environment. APCBEE 1, 287–292 (2012).
Najarian, A., Souri, M. K. & Nabigol, A. Influence of humic substance on vegetative growth, flowering and leaf mineral elements of pelargonium x hortorum. J. Plant. Nutri. 45 (1), 107–112 (2022).
Serri, F., Souri, M. K. & Rezapanah, M. Growth, biochemical quality and antioxidant capacity of coriander leaves under organic and inorganic fertilization programs. Chem. Biol. Technol Agric. 8, 1–8 (2021). (2021).
Bisht, N. & Chauhan, P. S. Excessive and disproportionate use of chemicals cause soil contamination and nutritional stress. SCTSS 1–10 (2020).
Ebrahimi, M., Souri, M. K., Mousavi, A. & Sahebani, N. Biochar and vermicompost improve growth and physiological traits of eggplant (Solanum melongena L.) under deficit irrigation. Chem. Biol. Technol. Agric. 8 (1), 1–14 (2021).
Schulz, H., Dunst, G. & Glaser, B. Positive effects of composted Biochar on plant growth and soil fertility. ASD 33, 817–827 (2013).
Schulz, H. & Glaser, B. Effects of Biochar compared to organic and inorganic fertilizers on soil quality and plant growth in a greenhouse experiment. JPNSS 175, 410–422 (2012).
Ippolito, J. A. et al. Biochar elemental composition and factors influencing nutrient retention. BEM 139–163 (2015).
Leng, L. & Huang, H. An overview of the effect of pyrolysis process parameters on Biochar stability. Bioresour. Technol. 270, 627–642 (2018).
Khan, T. F., Salma, M. U. & Hossain, S. A. Impacts of different sources of biochar on plant growth characteristics. Am. J. Plant Sci. 9, 1922–1934 (2018). (2018).
Břendová, K., Tlustoš, P., Száková, J. & Habart, J. Biochar properties from different materials of plant origin. Eur. Chem. Bull. 1, 535–539 (2012).
Dannehl, D. Effects of electricity on plant responses. Sci. Hortic. 234, 382–392 (2018).
Li, M., Wu, Y., Zhang, M. & Zhu, J. High-voltage electrostatic fields increase nitrogen uptake and improve growth of tomato seedlings. Can. J. Plant. Sci. 98, 93–106 (2017).
Lee, S. & Oh, M. M. Electric stimulation promotes growth, mineral uptake, and antioxidant accumulation in Kale (Brassica Oleracea var. acephala). Bioelectrochemistry 138, 107727 (2021).
Chacón, F. J., Cayuela, M. L., Roig, A. & Sánchez-Monedero, M. A. Understanding, measuring and tuning the electrochemical properties of Biochar for environmental applications. Environ. Sci. Biotechnol. 16, 695–715 (2017).
Kolganova, A., Lal, R. & Firkins, J. Biochar’s electrochemical properties impact on methanogenesis: ruminal vs. Soil. Processes JACE. 12, 28–43 (2023).
Cohen, J. E. World population in 2050: assessing the projections. FRBB 46, 83–113 (2001).
Souri, M. K. & Hatamian, M. Aminochelates in plant nutrition: a review. J. Plant. Nutr. 42 (1), 67–78 (2019).
Souri, M. K., Hatamian, M. & Tesfamariam, T. Plant growth stage influences heavy metal accumulation in leafy vegetables of garden Cress and sweet Basil. Chem. Biol. Technol. Agric. 6 (1), 25 (2019).
Ahmadi, M. & Souri, M. K. Growth characteristics and fruit quality of Chili pepper under higher electrical conductivity of nutrient solution induced by various salts. Agrivita J. Agric. Sci. 42 (1), 143–152 (2020).
Rosli, N. S. M., Abdullah, R., Yaacob, J. S. & Razali, R. B. R. Effect of Biochar as a hydroponic substrate on growth, colour and nutritional content of red lettuce (Lactuca sativa L). Bragantia 82, e20220177 (2023).
Chrysargyris, A., Prasad, M., Kavanagh, A. & Tzortzakis, N. Biochar type, ratio, and nutrient levels in growing media affects seedling production and plant performance. Agron 10, 1421 (2020).
Tahir, A. H. F., Al-Obaidy, A. H. M. J. & Mohammed, F. H. Biochar from date palm waste, production, characteristics and use in the treatment of pollutants. Mater. Sci. Eng. 737, 012171 (2020).
Badawi, M. A. Co-Composting date palm tree wastes and its effects on soil fertility. KEM 925, 73–83 (2022).
Dunlop, S. J., Arbestain, M. C., Bishop, P. A. & Wargent, J. J. Closing the loop: use of Biochar produced from tomato crop green waste as a substrate for soilless, hydroponic tomato production. Hortic. Sci. 50, 1572–1581 (2015).
Mosa, A., El-Banna, M. F. & Gao, B. Biochar filters reduced the toxic effects of nickel on tomato (Lycopersicon esculentum L.) grown in nutrient film technique hydroponic system. Chemosphere 149, 254–262 (2016).
Wijitkosum, S. & Jiwnok, P. Elemental composition of biochar obtained from agricultural waste for soil amendment and carbon sequestration. Appl. Sci. 9, 3980 (2019). (2019).
Nataraja, K. et al. Biochar production through drum method and characterization for soil amendment qualities. Pharma Innov. 10, 544–551 (2021).
Santos, J. A. et al. Characterization, water retention and availability of different types of Biochar from animal and plant origin. Res. Soc. Dev. 11, 1–16 (2022).
Mielke, M. S., Schaffer, B. & Li, C. Use of a SPAD meter to estimate chlorophyll content in Eugenia Uniflora L. leaves as affected by contrasting light environments and soil flooding. Photosynthetica 48, 332–338 (2010).
Carter, S. et al. The impact of Biochar application on soil properties and plant growth of pot grown lettuce (Lactuca sativa) and cabbage (Brassica chin.). Agron 3, 404–418 (2013).
Munir, M. et al. Effects of date palm Biochar on growth, yield and photosynthetic capacity of cucumber (Cucumis sativus L.) under glasshouse conditions. PJLSS 18, (2020).
Nasser, R. A. et al. Chemical analysis of different parts of date palm (Phoenix dactylifera L.) using ultimate, proximate and thermo-gravimetric techniques for energy production. Energies 9, 374 (2016).
Samarakoon, U. C., Weerasinghe, P. A. & Weerakkody, W. A. P. Effect of electrical conductivity (EC) of the nutrient solution on nutrient uptake, growth and yield of leaf lettuce (Lactuca sativa L.) in stationary culture. Trop. Agric. Res. 18, 13 (2006).
Thapa, R. B., Coupal, R. H., Dangi, M. B. & Stahl, P. D. An assessment of plant growth and soil properties using coal Char and Biochar as a soil amendment. Agron 14, 320 (2024).
Makkawi, Y. et al. Fast pyrolysis of date palm (Phoenix dactylifera) waste in a bubbling fluidized bed reactor. Renew. Energy. 143, 719–730 (2019).
Vijayaraghavan, K. The importance of mineral ingredients in Biochar production, properties and applications. Environ. Sci. Technol. 51, 113–139 (2021).
Yousaf, M. et al. Role of nitrogen and magnesium for growth, yield and nutritional quality of radish. Saudi J. Biol. Sci. 28, 3021–3030 (2021).
Author information
Authors and Affiliations
Contributions
Conceptualization, Francois Tsombou, Shaher Bano and Fouad Ridouane; Data curation, Francois Tsombou and Ahmed Alhmoudi; Formal analysis, Francois Tsombou; Shaher Bano Investigation, Francois Tsombou; Aishah Al Dhanhani and Maryam Alhmoudi, Shaher Bano ; Methodology, Francois Tsombou, Aishah Al Dhanhani, Melwin Engracial and Shaher Bano; Project administration, Fouad Ridouane; Resources, Aishah Al Dhanhani, Maryam Alhmoudi, Ahmed Alhmoudi and Fouad Ridouane; Software, Francois Tsombou, Shaher Bano ; Supervision, Fouad Ridouane; Validation, Shaher Bano, Melwin Engracial and Fouad Ridouane; Visualization, Francois Tsombou Maryam Alhmoudi and Ahmed Alhmoudi; Writing – original draft, Francois Tsombou and Aishah Al Dhanhani; Writing – review & editing, Shaher Bano.
Corresponding authors
Ethics declarations
Competing interests
The authors declare no competing interests.
Additional information
Publisher’s note
Springer Nature remains neutral with regard to jurisdictional claims in published maps and institutional affiliations.
Supplementary Information
Below is the link to the electronic supplementary material.
Rights and permissions
Open Access This article is licensed under a Creative Commons Attribution-NonCommercial-NoDerivatives 4.0 International License, which permits any non-commercial use, sharing, distribution and reproduction in any medium or format, as long as you give appropriate credit to the original author(s) and the source, provide a link to the Creative Commons licence, and indicate if you modified the licensed material. You do not have permission under this licence to share adapted material derived from this article or parts of it. The images or other third party material in this article are included in the article’s Creative Commons licence, unless indicated otherwise in a credit line to the material. If material is not included in the article’s Creative Commons licence and your intended use is not permitted by statutory regulation or exceeds the permitted use, you will need to obtain permission directly from the copyright holder. To view a copy of this licence, visit http://creativecommons.org/licenses/by-nc-nd/4.0/.
About this article
Cite this article
Tsombou, F.M., Saeed Ali Alhmoudi, A.M., Saeed Sulaiman Jemei Al Dhanhani, A. et al. Biochar from date palm enhances hydroponic growth of Ocimum Basilicum under arid conditions of Fujairah. Sci Rep 15, 34238 (2025). https://doi.org/10.1038/s41598-025-16249-1
Received:
Accepted:
Published:
Version of record:
DOI: https://doi.org/10.1038/s41598-025-16249-1














